学生自我评价在英语学生第二语言毅力、动机和沟通意愿之间的中介作用。

IF 3 3区 心理学 Q1 PSYCHOLOGY, MULTIDISCIPLINARY
Mohsen Shahrokhi, Fatemeh Jahangiri Dehaghani
{"title":"学生自我评价在英语学生第二语言毅力、动机和沟通意愿之间的中介作用。","authors":"Mohsen Shahrokhi, Fatemeh Jahangiri Dehaghani","doi":"10.1186/s40359-025-03414-4","DOIUrl":null,"url":null,"abstract":"<p><strong>Background: </strong>L2 grit, self-assessment, motivation, and willingness to communicate (WTC) are essential psychological and affective factors influencing English as a Foreign Language (EFL) learners' success. Previous research has examined these factors individually; however, the complex interrelationships among them, particularly the mediating role of self-assessment, remain underexplored. Using a quantitative research design, this study employed structural equation modeling (SEM) to analyze how L2 grit associates with motivation and WTC, with self-assessment serving as a mediating variable.</p><p><strong>Methods: </strong>Data were collected from 356 Iranian EFL learners at intermediate and advanced levels using four validated scales: the L2 Grit Scale, Motivation Questionnaire, Core Self-Evaluation Scale, and WTC Scale. SEM was employed to analyze the direct and indirect associations involving L2 grit, motivation, and WTC, while exploring the potential mediating role of self-assessment.</p><p><strong>Results: </strong>The SEM analysis indicated a positive association between L2 grit and motivation (β = 0.55, p < 0.001), with partial mediation by self-assessment observed in this association (β = 0.09, p = 0.03). Furthermore, a significant positive relationship was observed between motivation and WTC (β = 0.54, p < 0.001).</p><p><strong>Conclusions: </strong>These findings contribute to the theoretical frameworks of self-determination theory (SDT), control-value theory (CVT), and grit theory (GT), emphasizing the role of psychological resilience and self-regulation in language learning. The study suggests that incorporating self-assessment practices into EFL curricula could enhance both motivation and communication skills, thereby improving language acquisition outcomes.</p>","PeriodicalId":37867,"journal":{"name":"BMC Psychology","volume":"13 1","pages":"1052"},"PeriodicalIF":3.0000,"publicationDate":"2025-09-26","publicationTypes":"Journal Article","fieldsOfStudy":null,"isOpenAccess":false,"openAccessPdf":"https://www.ncbi.nlm.nih.gov/pmc/articles/PMC12465461/pdf/","citationCount":"0","resultStr":"{\"title\":\"Mediating role of students' self-assessment in the relationships among EFL students' L2 grit, motivation, and willingness to communicate.\",\"authors\":\"Mohsen Shahrokhi, Fatemeh Jahangiri Dehaghani\",\"doi\":\"10.1186/s40359-025-03414-4\",\"DOIUrl\":null,\"url\":null,\"abstract\":\"<p><strong>Background: </strong>L2 grit, self-assessment, motivation, and willingness to communicate (WTC) are essential psychological and affective factors influencing English as a Foreign Language (EFL) learners' success. Previous research has examined these factors individually; however, the complex interrelationships among them, particularly the mediating role of self-assessment, remain underexplored. Using a quantitative research design, this study employed structural equation modeling (SEM) to analyze how L2 grit associates with motivation and WTC, with self-assessment serving as a mediating variable.</p><p><strong>Methods: </strong>Data were collected from 356 Iranian EFL learners at intermediate and advanced levels using four validated scales: the L2 Grit Scale, Motivation Questionnaire, Core Self-Evaluation Scale, and WTC Scale. SEM was employed to analyze the direct and indirect associations involving L2 grit, motivation, and WTC, while exploring the potential mediating role of self-assessment.</p><p><strong>Results: </strong>The SEM analysis indicated a positive association between L2 grit and motivation (β = 0.55, p < 0.001), with partial mediation by self-assessment observed in this association (β = 0.09, p = 0.03). Furthermore, a significant positive relationship was observed between motivation and WTC (β = 0.54, p < 0.001).</p><p><strong>Conclusions: </strong>These findings contribute to the theoretical frameworks of self-determination theory (SDT), control-value theory (CVT), and grit theory (GT), emphasizing the role of psychological resilience and self-regulation in language learning. The study suggests that incorporating self-assessment practices into EFL curricula could enhance both motivation and communication skills, thereby improving language acquisition outcomes.</p>\",\"PeriodicalId\":37867,\"journal\":{\"name\":\"BMC Psychology\",\"volume\":\"13 1\",\"pages\":\"1052\"},\"PeriodicalIF\":3.0000,\"publicationDate\":\"2025-09-26\",\"publicationTypes\":\"Journal Article\",\"fieldsOfStudy\":null,\"isOpenAccess\":false,\"openAccessPdf\":\"https://www.ncbi.nlm.nih.gov/pmc/articles/PMC12465461/pdf/\",\"citationCount\":\"0\",\"resultStr\":null,\"platform\":\"Semanticscholar\",\"paperid\":null,\"PeriodicalName\":\"BMC Psychology\",\"FirstCategoryId\":\"102\",\"ListUrlMain\":\"https://doi.org/10.1186/s40359-025-03414-4\",\"RegionNum\":3,\"RegionCategory\":\"心理学\",\"ArticlePicture\":[],\"TitleCN\":null,\"AbstractTextCN\":null,\"PMCID\":null,\"EPubDate\":\"\",\"PubModel\":\"\",\"JCR\":\"Q1\",\"JCRName\":\"PSYCHOLOGY, MULTIDISCIPLINARY\",\"Score\":null,\"Total\":0}","platform":"Semanticscholar","paperid":null,"PeriodicalName":"BMC Psychology","FirstCategoryId":"102","ListUrlMain":"https://doi.org/10.1186/s40359-025-03414-4","RegionNum":3,"RegionCategory":"心理学","ArticlePicture":[],"TitleCN":null,"AbstractTextCN":null,"PMCID":null,"EPubDate":"","PubModel":"","JCR":"Q1","JCRName":"PSYCHOLOGY, MULTIDISCIPLINARY","Score":null,"Total":0}
引用次数: 0

摘要

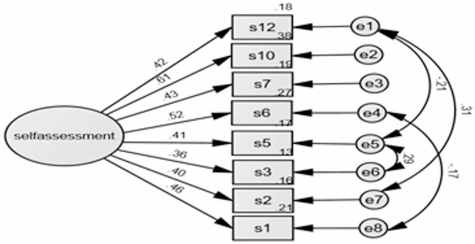
背景:二语毅力、自我评价、动机和沟通意愿是影响外语学习者成功的重要心理和情感因素。之前的研究已经单独考察了这些因素;然而,它们之间复杂的相互关系,特别是自我评价的中介作用,仍未得到充分探讨。本研究采用定量研究设计,以自我评价为中介变量,采用结构方程模型(SEM)分析第二语言砂砾与动机和WTC之间的关系。方法:以356名伊朗中高级英语学习者为研究对象,采用四种有效的量表:L2砂砾量表、动机问卷、核心自我评价量表和WTC量表。采用扫描电镜分析第二语言勇气、动机和WTC之间的直接和间接关联,同时探索自我评价的潜在中介作用。结果:SEM分析显示第二语言砂砾与动机之间存在显著正相关(β = 0.55, p)。结论:这些发现有助于建立自我决定理论(SDT)、控制价值理论(CVT)和砂砾理论(GT)的理论框架,强调心理弹性和自我调节在语言学习中的作用。该研究表明,将自我评估实践纳入英语课程可以提高动机和沟通技巧,从而改善语言习得结果。
本文章由计算机程序翻译,如有差异,请以英文原文为准。

Mediating role of students' self-assessment in the relationships among EFL students' L2 grit, motivation, and willingness to communicate.

Mediating role of students' self-assessment in the relationships among EFL students' L2 grit, motivation, and willingness to communicate.

Mediating role of students' self-assessment in the relationships among EFL students' L2 grit, motivation, and willingness to communicate.

Mediating role of students' self-assessment in the relationships among EFL students' L2 grit, motivation, and willingness to communicate.

Background: L2 grit, self-assessment, motivation, and willingness to communicate (WTC) are essential psychological and affective factors influencing English as a Foreign Language (EFL) learners' success. Previous research has examined these factors individually; however, the complex interrelationships among them, particularly the mediating role of self-assessment, remain underexplored. Using a quantitative research design, this study employed structural equation modeling (SEM) to analyze how L2 grit associates with motivation and WTC, with self-assessment serving as a mediating variable.

Methods: Data were collected from 356 Iranian EFL learners at intermediate and advanced levels using four validated scales: the L2 Grit Scale, Motivation Questionnaire, Core Self-Evaluation Scale, and WTC Scale. SEM was employed to analyze the direct and indirect associations involving L2 grit, motivation, and WTC, while exploring the potential mediating role of self-assessment.

Results: The SEM analysis indicated a positive association between L2 grit and motivation (β = 0.55, p < 0.001), with partial mediation by self-assessment observed in this association (β = 0.09, p = 0.03). Furthermore, a significant positive relationship was observed between motivation and WTC (β = 0.54, p < 0.001).

Conclusions: These findings contribute to the theoretical frameworks of self-determination theory (SDT), control-value theory (CVT), and grit theory (GT), emphasizing the role of psychological resilience and self-regulation in language learning. The study suggests that incorporating self-assessment practices into EFL curricula could enhance both motivation and communication skills, thereby improving language acquisition outcomes.

求助全文
通过发布文献求助,成功后即可免费获取论文全文。 去求助
来源期刊
BMC Psychology
BMC Psychology Psychology-Psychology (all)
CiteScore
3.90
自引率
2.80%
发文量
265
审稿时长
24 weeks
期刊介绍: BMC Psychology is an open access, peer-reviewed journal that considers manuscripts on all aspects of psychology, human behavior and the mind, including developmental, clinical, cognitive, experimental, health and social psychology, as well as personality and individual differences. The journal welcomes quantitative and qualitative research methods, including animal studies.
×
引用
GB/T 7714-2015
复制
MLA
复制
APA
复制
导出至
BibTeX EndNote RefMan NoteFirst NoteExpress
×
提示
您的信息不完整,为了账户安全,请先补充。
现在去补充
×
提示
您因"违规操作"
具体请查看互助需知
我知道了
×
提示
确定
请完成安全验证×
copy
已复制链接
快去分享给好友吧!
我知道了
右上角分享
点击右上角分享
0
联系我们:info@booksci.cn Book学术提供免费学术资源搜索服务,方便国内外学者检索中英文文献。致力于提供最便捷和优质的服务体验。 Copyright © 2023 布克学术 All rights reserved.
京ICP备2023020795号-1
ghs 京公网安备 11010802042870号
Book学术文献互助
Book学术文献互助群
群 号:604180095
Book学术官方微信