COVID-19对接种者粘膜免疫和抗体应答的影响

IF 5.2 3区 医学 Q1 IMMUNOLOGY
Vaccines Pub Date : 2025-09-12 DOI:10.3390/vaccines13090967
Priya Kannian, Muruganantham Lillimary Eniya, Pasuvaraj Mahanathi, Arul Gracemary, Nagalingeswaran Kumarasamy, Stephen J Challacombe
{"title":"COVID-19对接种者粘膜免疫和抗体应答的影响","authors":"Priya Kannian, Muruganantham Lillimary Eniya, Pasuvaraj Mahanathi, Arul Gracemary, Nagalingeswaran Kumarasamy, Stephen J Challacombe","doi":"10.3390/vaccines13090967","DOIUrl":null,"url":null,"abstract":"<p><p><b>Background and Objectives</b>: SARS-CoV-2 infection initiates at mucosal surfaces, and mucosal immunity may influence the nature and severity of infection. Little is known about the induction of mucosal immunity by vaccination in COVID-19 convalescents. <b>Methods</b>: Sera from 205 healthcare workers were collected one month after the first Covishield vaccination and 1/3/6 months after the second vaccination, while paired sera and stimulated whole-mouth fluid (SWMF) was collected 1/3/6 months after the third vaccination (N = 10) and at 0/30/90 days after a COVID-19 episode (N = 8). Anti-SARS-CoV-2 spike antibody detection by ECLIA/ELISA and cytokine detection by ELISA/CBA were performed. <b>Results</b>: One month post-second vaccination, serum antibodies had increased significantly (6-fold) in the COVID-19-naïve group (CNG) but declined (1.5-fold) in the previously COVID-19-exposed group (CEG), who already had high antibody titres. The serum regulatory cytokine IL-10 levels were higher after three antigen exposures (<i>p</i> = 0.0002). New infections (breakthrough infections-BTIs) or reinfections (RIs) with asymptomatic/mild disease occurred in 44% of the CNG and 27% of the CEG (<i>p</i> < 0.01). The mucosal cytokine IL-17 levels were significantly higher in the CEG. Salivary IgG/IgA and secretory IgA antibodies were detectable both after vaccination and COVID-19. Innate cytokines (MIG, MCP-1, IL-8, IL-1β) were higher and sustained in SWMF in contrast to serum. <b>Conclusions</b>: Two vaccinations in the CNG resulted in an antibody boost, but the second vaccination in the CEG induced antibody anergy. Serum/mucosal antibodies declined by six months after vaccination, but the rapid increase at subsequent exposures were indicative of a good T cell/B cell memory response to SARS-CoV-2. A higher percentage of BTI among the CNG than RI among the CEG may indicate better protection due to higher antibody responses in the latter group.</p>","PeriodicalId":23634,"journal":{"name":"Vaccines","volume":"13 9","pages":""},"PeriodicalIF":5.2000,"publicationDate":"2025-09-12","publicationTypes":"Journal Article","fieldsOfStudy":null,"isOpenAccess":false,"openAccessPdf":"https://www.ncbi.nlm.nih.gov/pmc/articles/PMC12474350/pdf/","citationCount":"0","resultStr":"{\"title\":\"Impact of COVID-19 on Mucosal Immunity and Antibody Responses in COVID Vaccinees.\",\"authors\":\"Priya Kannian, Muruganantham Lillimary Eniya, Pasuvaraj Mahanathi, Arul Gracemary, Nagalingeswaran Kumarasamy, Stephen J Challacombe\",\"doi\":\"10.3390/vaccines13090967\",\"DOIUrl\":null,\"url\":null,\"abstract\":\"<p><p><b>Background and Objectives</b>: SARS-CoV-2 infection initiates at mucosal surfaces, and mucosal immunity may influence the nature and severity of infection. Little is known about the induction of mucosal immunity by vaccination in COVID-19 convalescents. <b>Methods</b>: Sera from 205 healthcare workers were collected one month after the first Covishield vaccination and 1/3/6 months after the second vaccination, while paired sera and stimulated whole-mouth fluid (SWMF) was collected 1/3/6 months after the third vaccination (N = 10) and at 0/30/90 days after a COVID-19 episode (N = 8). Anti-SARS-CoV-2 spike antibody detection by ECLIA/ELISA and cytokine detection by ELISA/CBA were performed. <b>Results</b>: One month post-second vaccination, serum antibodies had increased significantly (6-fold) in the COVID-19-naïve group (CNG) but declined (1.5-fold) in the previously COVID-19-exposed group (CEG), who already had high antibody titres. The serum regulatory cytokine IL-10 levels were higher after three antigen exposures (<i>p</i> = 0.0002). New infections (breakthrough infections-BTIs) or reinfections (RIs) with asymptomatic/mild disease occurred in 44% of the CNG and 27% of the CEG (<i>p</i> < 0.01). The mucosal cytokine IL-17 levels were significantly higher in the CEG. Salivary IgG/IgA and secretory IgA antibodies were detectable both after vaccination and COVID-19. Innate cytokines (MIG, MCP-1, IL-8, IL-1β) were higher and sustained in SWMF in contrast to serum. <b>Conclusions</b>: Two vaccinations in the CNG resulted in an antibody boost, but the second vaccination in the CEG induced antibody anergy. Serum/mucosal antibodies declined by six months after vaccination, but the rapid increase at subsequent exposures were indicative of a good T cell/B cell memory response to SARS-CoV-2. A higher percentage of BTI among the CNG than RI among the CEG may indicate better protection due to higher antibody responses in the latter group.</p>\",\"PeriodicalId\":23634,\"journal\":{\"name\":\"Vaccines\",\"volume\":\"13 9\",\"pages\":\"\"},\"PeriodicalIF\":5.2000,\"publicationDate\":\"2025-09-12\",\"publicationTypes\":\"Journal Article\",\"fieldsOfStudy\":null,\"isOpenAccess\":false,\"openAccessPdf\":\"https://www.ncbi.nlm.nih.gov/pmc/articles/PMC12474350/pdf/\",\"citationCount\":\"0\",\"resultStr\":null,\"platform\":\"Semanticscholar\",\"paperid\":null,\"PeriodicalName\":\"Vaccines\",\"FirstCategoryId\":\"3\",\"ListUrlMain\":\"https://doi.org/10.3390/vaccines13090967\",\"RegionNum\":3,\"RegionCategory\":\"医学\",\"ArticlePicture\":[],\"TitleCN\":null,\"AbstractTextCN\":null,\"PMCID\":null,\"EPubDate\":\"\",\"PubModel\":\"\",\"JCR\":\"Q1\",\"JCRName\":\"IMMUNOLOGY\",\"Score\":null,\"Total\":0}","platform":"Semanticscholar","paperid":null,"PeriodicalName":"Vaccines","FirstCategoryId":"3","ListUrlMain":"https://doi.org/10.3390/vaccines13090967","RegionNum":3,"RegionCategory":"医学","ArticlePicture":[],"TitleCN":null,"AbstractTextCN":null,"PMCID":null,"EPubDate":"","PubModel":"","JCR":"Q1","JCRName":"IMMUNOLOGY","Score":null,"Total":0}
引用次数: 0

摘要

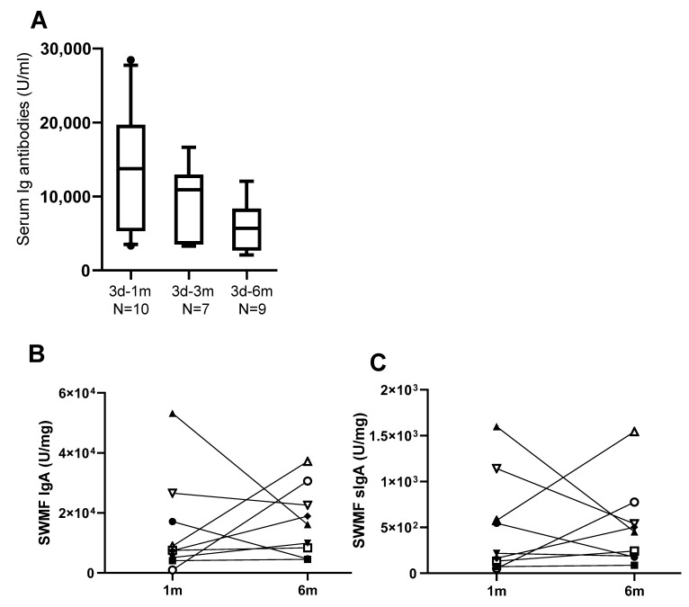
背景与目的:SARS-CoV-2感染始于粘膜表面,粘膜免疫可能影响感染的性质和严重程度。关于COVID-19恢复期接种疫苗诱导粘膜免疫的情况知之甚少。方法:205名卫生工作者在第一次接种Covishield后1个月和第二次接种后1/3/6个月采集血清,在第三次接种后1/3/6个月(N = 10)和COVID-19发作后0/30/90天(N = 8)采集配对血清和刺激全口液(SWMF)。采用ECLIA/ELISA检测抗sars - cov -2刺突抗体,ELISA/CBA检测细胞因子。结果:第二次接种后1个月,COVID-19-naïve组(CNG)血清抗体显著升高(6倍),而先前暴露于covid -19的组(CEG)血清抗体下降(1.5倍),抗体滴度已经很高。三次抗原暴露后血清调节性细胞因子IL-10水平升高(p = 0.0002)。无症状/轻度疾病的新感染(突破性感染- btis)或再感染(RIs)发生在44%的CNG和27%的CEG中(p < 0.01)。CEG大鼠粘膜细胞因子IL-17水平明显升高。疫苗接种和COVID-19后唾液IgG/IgA和分泌IgA抗体均可检测到。与血清相比,SWMF中的先天细胞因子(MIG, MCP-1, IL-8, IL-1β)更高且持续。结论:在CNG中接种两次疫苗导致抗体增强,而在CEG中接种第二次疫苗导致抗体增强。血清/粘膜抗体在接种疫苗后6个月下降,但随后暴露后迅速增加,表明T细胞/B细胞对SARS-CoV-2有良好的记忆反应。CNG中BTI的百分比高于CEG中RI的百分比,可能表明后者的抗体反应更高,因此具有更好的保护作用。
本文章由计算机程序翻译,如有差异,请以英文原文为准。

Impact of COVID-19 on Mucosal Immunity and Antibody Responses in COVID Vaccinees.

Impact of COVID-19 on Mucosal Immunity and Antibody Responses in COVID Vaccinees.

Impact of COVID-19 on Mucosal Immunity and Antibody Responses in COVID Vaccinees.

Impact of COVID-19 on Mucosal Immunity and Antibody Responses in COVID Vaccinees.

Background and Objectives: SARS-CoV-2 infection initiates at mucosal surfaces, and mucosal immunity may influence the nature and severity of infection. Little is known about the induction of mucosal immunity by vaccination in COVID-19 convalescents. Methods: Sera from 205 healthcare workers were collected one month after the first Covishield vaccination and 1/3/6 months after the second vaccination, while paired sera and stimulated whole-mouth fluid (SWMF) was collected 1/3/6 months after the third vaccination (N = 10) and at 0/30/90 days after a COVID-19 episode (N = 8). Anti-SARS-CoV-2 spike antibody detection by ECLIA/ELISA and cytokine detection by ELISA/CBA were performed. Results: One month post-second vaccination, serum antibodies had increased significantly (6-fold) in the COVID-19-naïve group (CNG) but declined (1.5-fold) in the previously COVID-19-exposed group (CEG), who already had high antibody titres. The serum regulatory cytokine IL-10 levels were higher after three antigen exposures (p = 0.0002). New infections (breakthrough infections-BTIs) or reinfections (RIs) with asymptomatic/mild disease occurred in 44% of the CNG and 27% of the CEG (p < 0.01). The mucosal cytokine IL-17 levels were significantly higher in the CEG. Salivary IgG/IgA and secretory IgA antibodies were detectable both after vaccination and COVID-19. Innate cytokines (MIG, MCP-1, IL-8, IL-1β) were higher and sustained in SWMF in contrast to serum. Conclusions: Two vaccinations in the CNG resulted in an antibody boost, but the second vaccination in the CEG induced antibody anergy. Serum/mucosal antibodies declined by six months after vaccination, but the rapid increase at subsequent exposures were indicative of a good T cell/B cell memory response to SARS-CoV-2. A higher percentage of BTI among the CNG than RI among the CEG may indicate better protection due to higher antibody responses in the latter group.

求助全文
通过发布文献求助,成功后即可免费获取论文全文。 去求助
来源期刊
Vaccines
Vaccines Pharmacology, Toxicology and Pharmaceutics-Pharmacology
CiteScore
8.90
自引率
16.70%
发文量
1853
审稿时长
18.06 days
期刊介绍: Vaccines (ISSN 2076-393X) is an international, peer-reviewed open access journal focused on laboratory and clinical vaccine research, utilization and immunization. Vaccines publishes high quality reviews, regular research papers, communications and case reports.
×
引用
GB/T 7714-2015
复制
MLA
复制
APA
复制
导出至
BibTeX EndNote RefMan NoteFirst NoteExpress
×
提示
您的信息不完整,为了账户安全,请先补充。
现在去补充
×
提示
您因"违规操作"
具体请查看互助需知
我知道了
×
提示
确定
请完成安全验证×
copy
已复制链接
快去分享给好友吧!
我知道了
右上角分享
点击右上角分享
0
联系我们:info@booksci.cn Book学术提供免费学术资源搜索服务,方便国内外学者检索中英文文献。致力于提供最便捷和优质的服务体验。 Copyright © 2023 布克学术 All rights reserved.
京ICP备2023020795号-1
ghs 京公网安备 11010802042870号
Book学术文献互助
Book学术文献互助群
群 号:604180095
Book学术官方微信