中国典型土壤中Cr(VI)迁移阻滞因子的研究

IF 4.1 3区 环境科学与生态学 Q2 ENVIRONMENTAL SCIENCES
Toxics Pub Date : 2025-09-13 DOI:10.3390/toxics13090774
Xiongbiao Qiao, Xiangyang Zhang, Dejin Zhou, Ning Sun, Zhenyu Ding, Liping Bai, Zongwen Zhang
{"title":"中国典型土壤中Cr(VI)迁移阻滞因子的研究","authors":"Xiongbiao Qiao, Xiangyang Zhang, Dejin Zhou, Ning Sun, Zhenyu Ding, Liping Bai, Zongwen Zhang","doi":"10.3390/toxics13090774","DOIUrl":null,"url":null,"abstract":"<p><p>Chromium (VI) mobility in soils critically influenced groundwater contamination risks, but accurate predictions were hindered by the lack of systematic retardation factor (R) data across China's diverse soils. This study combined Bromide anion (Br<sup>-</sup>)-tracer and Cr(VI) column leaching experiments with CXTFIT code to determine dispersion coefficients (D) and R values in seven representative Chinese soils (e.g., brown soil, black soil), with model validation against Br<sup>-</sup> tracer data. By comparing deterministic equilibrium and two-region non-equilibrium models, the research demonstrated that the non-equilibrium approach better characterized Cr(VI) transport, revealing significant soil-dependent R variations (1.09-16.13). Particularly noteworthy was the exceptional Cr(VI) retention observed in Heilongjiang black soil (R > 10), which indicated strong immobilization capacity. As China's first systematic Cr(VI) retardation database, these findings provided essential parameters for predicting Cr(VI) mobility at contaminated sites, refining risk assessment models, and designing soil-specific remediation strategies-particularly crucial for high-retention regions. Methodologically, this work established an integrated experimental-modeling framework that addressed soil heterogeneity, while its outcomes directly supported regulatory frameworks through updated soil screening values. These findings provided scientific support for formulating region-specific soil management policies, with particular implications for environmental protection and agricultural safety in Cr(VI)-contaminated black soil regions.</p>","PeriodicalId":23195,"journal":{"name":"Toxics","volume":"13 9","pages":""},"PeriodicalIF":4.1000,"publicationDate":"2025-09-13","publicationTypes":"Journal Article","fieldsOfStudy":null,"isOpenAccess":false,"openAccessPdf":"https://www.ncbi.nlm.nih.gov/pmc/articles/PMC12474078/pdf/","citationCount":"0","resultStr":"{\"title\":\"Study on Retardation Factors of Cr(VI) Transport in Typical Soils of China.\",\"authors\":\"Xiongbiao Qiao, Xiangyang Zhang, Dejin Zhou, Ning Sun, Zhenyu Ding, Liping Bai, Zongwen Zhang\",\"doi\":\"10.3390/toxics13090774\",\"DOIUrl\":null,\"url\":null,\"abstract\":\"<p><p>Chromium (VI) mobility in soils critically influenced groundwater contamination risks, but accurate predictions were hindered by the lack of systematic retardation factor (R) data across China's diverse soils. This study combined Bromide anion (Br<sup>-</sup>)-tracer and Cr(VI) column leaching experiments with CXTFIT code to determine dispersion coefficients (D) and R values in seven representative Chinese soils (e.g., brown soil, black soil), with model validation against Br<sup>-</sup> tracer data. By comparing deterministic equilibrium and two-region non-equilibrium models, the research demonstrated that the non-equilibrium approach better characterized Cr(VI) transport, revealing significant soil-dependent R variations (1.09-16.13). Particularly noteworthy was the exceptional Cr(VI) retention observed in Heilongjiang black soil (R > 10), which indicated strong immobilization capacity. As China's first systematic Cr(VI) retardation database, these findings provided essential parameters for predicting Cr(VI) mobility at contaminated sites, refining risk assessment models, and designing soil-specific remediation strategies-particularly crucial for high-retention regions. Methodologically, this work established an integrated experimental-modeling framework that addressed soil heterogeneity, while its outcomes directly supported regulatory frameworks through updated soil screening values. These findings provided scientific support for formulating region-specific soil management policies, with particular implications for environmental protection and agricultural safety in Cr(VI)-contaminated black soil regions.</p>\",\"PeriodicalId\":23195,\"journal\":{\"name\":\"Toxics\",\"volume\":\"13 9\",\"pages\":\"\"},\"PeriodicalIF\":4.1000,\"publicationDate\":\"2025-09-13\",\"publicationTypes\":\"Journal Article\",\"fieldsOfStudy\":null,\"isOpenAccess\":false,\"openAccessPdf\":\"https://www.ncbi.nlm.nih.gov/pmc/articles/PMC12474078/pdf/\",\"citationCount\":\"0\",\"resultStr\":null,\"platform\":\"Semanticscholar\",\"paperid\":null,\"PeriodicalName\":\"Toxics\",\"FirstCategoryId\":\"93\",\"ListUrlMain\":\"https://doi.org/10.3390/toxics13090774\",\"RegionNum\":3,\"RegionCategory\":\"环境科学与生态学\",\"ArticlePicture\":[],\"TitleCN\":null,\"AbstractTextCN\":null,\"PMCID\":null,\"EPubDate\":\"\",\"PubModel\":\"\",\"JCR\":\"Q2\",\"JCRName\":\"ENVIRONMENTAL SCIENCES\",\"Score\":null,\"Total\":0}","platform":"Semanticscholar","paperid":null,"PeriodicalName":"Toxics","FirstCategoryId":"93","ListUrlMain":"https://doi.org/10.3390/toxics13090774","RegionNum":3,"RegionCategory":"环境科学与生态学","ArticlePicture":[],"TitleCN":null,"AbstractTextCN":null,"PMCID":null,"EPubDate":"","PubModel":"","JCR":"Q2","JCRName":"ENVIRONMENTAL SCIENCES","Score":null,"Total":0}
引用次数: 0

摘要

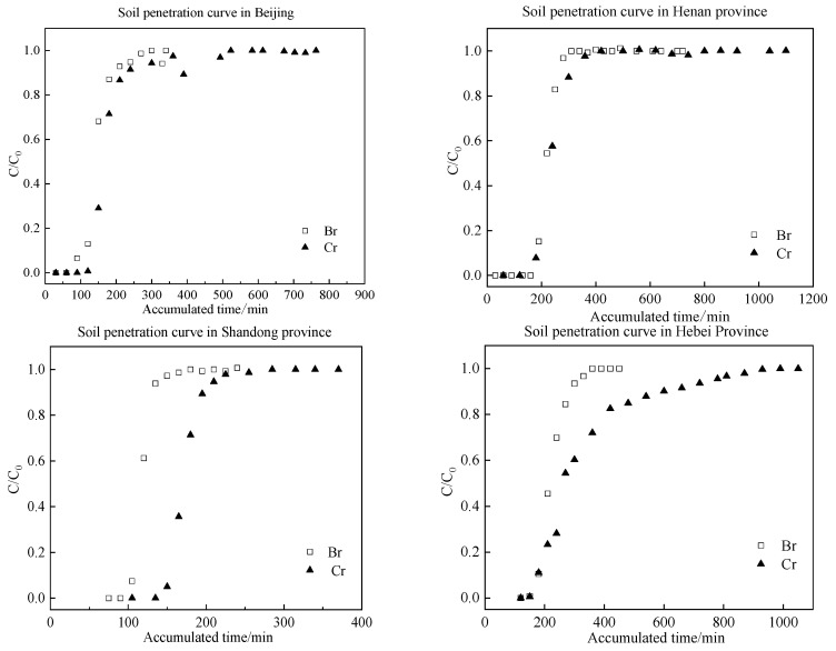
土壤中铬(VI)的流动性对地下水污染风险有重要影响,但由于缺乏系统的中国不同土壤的延迟因子(R)数据,影响了准确预测。本研究结合溴化物阴离子(Br-)示踪剂和Cr(VI)柱浸出试验,利用CXTFIT代码确定了7种具有代表性的中国土壤(如棕壤、黑土)的分散系数(D)和R值,并对Br示踪剂数据进行了模型验证。通过对比确定性平衡模型和两区非平衡模型,研究表明非平衡模型能更好地表征Cr(VI)输运,显示出显著的土壤相关R变化(1.09-16.13)。特别值得注意的是,黑龙江黑土(rbbbb10)的Cr(VI)滞留率特别高,表明其具有很强的固定化能力。作为中国第一个系统的Cr(VI)滞留数据库,这些发现为预测污染场地的Cr(VI)迁移、完善风险评估模型和设计土壤特异性修复策略提供了重要参数,这对高滞留地区尤其重要。在方法上,本研究建立了一个解决土壤异质性的综合实验建模框架,而其结果通过更新土壤筛选值直接支持监管框架。研究结果为制定区域土壤管理政策提供了科学依据,对Cr(VI)污染黑土区的环境保护和农业安全具有重要意义。
本文章由计算机程序翻译,如有差异,请以英文原文为准。

Study on Retardation Factors of Cr(VI) Transport in Typical Soils of China.

Study on Retardation Factors of Cr(VI) Transport in Typical Soils of China.

Study on Retardation Factors of Cr(VI) Transport in Typical Soils of China.

Study on Retardation Factors of Cr(VI) Transport in Typical Soils of China.

Chromium (VI) mobility in soils critically influenced groundwater contamination risks, but accurate predictions were hindered by the lack of systematic retardation factor (R) data across China's diverse soils. This study combined Bromide anion (Br-)-tracer and Cr(VI) column leaching experiments with CXTFIT code to determine dispersion coefficients (D) and R values in seven representative Chinese soils (e.g., brown soil, black soil), with model validation against Br- tracer data. By comparing deterministic equilibrium and two-region non-equilibrium models, the research demonstrated that the non-equilibrium approach better characterized Cr(VI) transport, revealing significant soil-dependent R variations (1.09-16.13). Particularly noteworthy was the exceptional Cr(VI) retention observed in Heilongjiang black soil (R > 10), which indicated strong immobilization capacity. As China's first systematic Cr(VI) retardation database, these findings provided essential parameters for predicting Cr(VI) mobility at contaminated sites, refining risk assessment models, and designing soil-specific remediation strategies-particularly crucial for high-retention regions. Methodologically, this work established an integrated experimental-modeling framework that addressed soil heterogeneity, while its outcomes directly supported regulatory frameworks through updated soil screening values. These findings provided scientific support for formulating region-specific soil management policies, with particular implications for environmental protection and agricultural safety in Cr(VI)-contaminated black soil regions.

求助全文
通过发布文献求助,成功后即可免费获取论文全文。 去求助
来源期刊
Toxics
Toxics Chemical Engineering-Chemical Health and Safety
CiteScore
4.50
自引率
10.90%
发文量
681
审稿时长
6 weeks
期刊介绍: Toxics (ISSN 2305-6304) is an international, peer-reviewed, open access journal which provides an advanced forum for studies related to all aspects of toxic chemicals and materials. It publishes reviews, regular research papers, and short communications. Our aim is to encourage scientists to publish their experimental and theoretical results in detail. There is, therefore, no restriction on the maximum length of the papers, although authors should write their papers in a clear and concise way. The full experimental details must be provided so that the results can be reproduced. Electronic files or software regarding the full details of calculations and experimental procedure can be deposited as supplementary material, if it is not possible to publish them along with the text.
×
引用
GB/T 7714-2015
复制
MLA
复制
APA
复制
导出至
BibTeX EndNote RefMan NoteFirst NoteExpress
×
提示
您的信息不完整,为了账户安全,请先补充。
现在去补充
×
提示
您因"违规操作"
具体请查看互助需知
我知道了
×
提示
确定
请完成安全验证×
copy
已复制链接
快去分享给好友吧!
我知道了
右上角分享
点击右上角分享
0
联系我们:info@booksci.cn Book学术提供免费学术资源搜索服务,方便国内外学者检索中英文文献。致力于提供最便捷和优质的服务体验。 Copyright © 2023 布克学术 All rights reserved.
京ICP备2023020795号-1
ghs 京公网安备 11010802042870号
Book学术文献互助
Book学术文献互助群
群 号:604180095
Book学术官方微信