产前多环芳烃暴露、DNA羟甲基化与0岁和2岁神经发育的关系。

IF 4.1 3区 环境科学与生态学 Q2 ENVIRONMENTAL SCIENCES
Toxics Pub Date : 2025-08-29 DOI:10.3390/toxics13090726
Jinyu Li, Xiaomin Cao, Chengjuan Liu, Lin Cheng, Qiao Niu, Jisheng Nie
{"title":"产前多环芳烃暴露、DNA羟甲基化与0岁和2岁神经发育的关系。","authors":"Jinyu Li, Xiaomin Cao, Chengjuan Liu, Lin Cheng, Qiao Niu, Jisheng Nie","doi":"10.3390/toxics13090726","DOIUrl":null,"url":null,"abstract":"<p><p>Maternal exposure to polycyclic aromatic hydrocarbons (PAHs) during pregnancy may have effects on the offspring epigenome. And the change in onset epigenome may be associated with children's neurodevelopment. The current study investigated the relationship between 5-hydroxymethylcytosine (5-hmC) levels in cord blood and PAH metabolites in maternal urine at delivery and children's neurodevelopment at birth and at age 2. We enrolled 400 pregnant women and their newborns and collected their biological samples after obtaining written informed consent. Enzyme linked immunosorbent assay kits and Chromatin immunoprecipitation kits were used to assess the DNA hydroxymethylation level in cord blood. We observed that 1-hydroxypyrene (1-OHPyr) was inversely associated with gesell developmental scale scores, positively associated with global DNA 5-hmC levels, and associated with decreased 5-hmC levels of the brain-derived neurotrophic factor (<i>BDNF</i>) and methyl CpG binding protein 2 (<i>MeCP2</i>) gene promoter. In addition, the 5-hmC levels of the <i>BDNF</i> and <i>MeCP2</i> gene promoters were associated with motor scores. The global DNA 5-hmC was inversely associated with motor scores. Mediation analysis showed mediation effects between 1-OHPyr and motor scores by 5-hmC. The global DNA 5-hmC and <i>MeCP2</i> and <i>BDNF</i> gene promoter 5-hmC contributed 28.51%, 27.29%, and 18.98% of the effect on motor scores changes related to 1-OHPyr. The study results suggested that 5-hmC can be a potential mechanism between prenatal PAH exposure and children's neurodevelopment at age 2 and provide a better understanding of the role of hydroxymethylation in neurodevelopment.</p>","PeriodicalId":23195,"journal":{"name":"Toxics","volume":"13 9","pages":""},"PeriodicalIF":4.1000,"publicationDate":"2025-08-29","publicationTypes":"Journal Article","fieldsOfStudy":null,"isOpenAccess":false,"openAccessPdf":"https://www.ncbi.nlm.nih.gov/pmc/articles/PMC12473805/pdf/","citationCount":"0","resultStr":"{\"title\":\"Association of Prenatal Polycyclic Aromatic Hydrocarbons Exposure, DNA Hydroxymethylation, and Neurodevelopment at 0 and 2 Years of Age.\",\"authors\":\"Jinyu Li, Xiaomin Cao, Chengjuan Liu, Lin Cheng, Qiao Niu, Jisheng Nie\",\"doi\":\"10.3390/toxics13090726\",\"DOIUrl\":null,\"url\":null,\"abstract\":\"<p><p>Maternal exposure to polycyclic aromatic hydrocarbons (PAHs) during pregnancy may have effects on the offspring epigenome. And the change in onset epigenome may be associated with children's neurodevelopment. The current study investigated the relationship between 5-hydroxymethylcytosine (5-hmC) levels in cord blood and PAH metabolites in maternal urine at delivery and children's neurodevelopment at birth and at age 2. We enrolled 400 pregnant women and their newborns and collected their biological samples after obtaining written informed consent. Enzyme linked immunosorbent assay kits and Chromatin immunoprecipitation kits were used to assess the DNA hydroxymethylation level in cord blood. We observed that 1-hydroxypyrene (1-OHPyr) was inversely associated with gesell developmental scale scores, positively associated with global DNA 5-hmC levels, and associated with decreased 5-hmC levels of the brain-derived neurotrophic factor (<i>BDNF</i>) and methyl CpG binding protein 2 (<i>MeCP2</i>) gene promoter. In addition, the 5-hmC levels of the <i>BDNF</i> and <i>MeCP2</i> gene promoters were associated with motor scores. The global DNA 5-hmC was inversely associated with motor scores. Mediation analysis showed mediation effects between 1-OHPyr and motor scores by 5-hmC. The global DNA 5-hmC and <i>MeCP2</i> and <i>BDNF</i> gene promoter 5-hmC contributed 28.51%, 27.29%, and 18.98% of the effect on motor scores changes related to 1-OHPyr. The study results suggested that 5-hmC can be a potential mechanism between prenatal PAH exposure and children's neurodevelopment at age 2 and provide a better understanding of the role of hydroxymethylation in neurodevelopment.</p>\",\"PeriodicalId\":23195,\"journal\":{\"name\":\"Toxics\",\"volume\":\"13 9\",\"pages\":\"\"},\"PeriodicalIF\":4.1000,\"publicationDate\":\"2025-08-29\",\"publicationTypes\":\"Journal Article\",\"fieldsOfStudy\":null,\"isOpenAccess\":false,\"openAccessPdf\":\"https://www.ncbi.nlm.nih.gov/pmc/articles/PMC12473805/pdf/\",\"citationCount\":\"0\",\"resultStr\":null,\"platform\":\"Semanticscholar\",\"paperid\":null,\"PeriodicalName\":\"Toxics\",\"FirstCategoryId\":\"93\",\"ListUrlMain\":\"https://doi.org/10.3390/toxics13090726\",\"RegionNum\":3,\"RegionCategory\":\"环境科学与生态学\",\"ArticlePicture\":[],\"TitleCN\":null,\"AbstractTextCN\":null,\"PMCID\":null,\"EPubDate\":\"\",\"PubModel\":\"\",\"JCR\":\"Q2\",\"JCRName\":\"ENVIRONMENTAL SCIENCES\",\"Score\":null,\"Total\":0}","platform":"Semanticscholar","paperid":null,"PeriodicalName":"Toxics","FirstCategoryId":"93","ListUrlMain":"https://doi.org/10.3390/toxics13090726","RegionNum":3,"RegionCategory":"环境科学与生态学","ArticlePicture":[],"TitleCN":null,"AbstractTextCN":null,"PMCID":null,"EPubDate":"","PubModel":"","JCR":"Q2","JCRName":"ENVIRONMENTAL SCIENCES","Score":null,"Total":0}
引用次数: 0

摘要

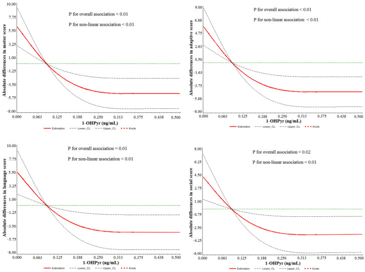
母亲在怀孕期间暴露于多环芳烃(PAHs)可能对后代表观基因组产生影响。发病表观基因组的变化可能与儿童神经发育有关。目前的研究调查了脐带血中5-羟甲基胞嘧啶(5-hmC)水平和分娩时产妇尿液中多环芳烃代谢物与儿童出生和2岁时神经发育之间的关系。我们招募了400名孕妇和她们的新生儿,在获得书面知情同意后收集她们的生物样本。采用酶联免疫吸附测定试剂盒和染色质免疫沉淀试剂盒评估脐带血DNA羟甲基化水平。我们观察到1-羟基芘(1-OHPyr)与gesell发育量表评分呈负相关,与全球DNA 5-hmC水平呈正相关,并与脑源性神经营养因子(BDNF)和甲基CpG结合蛋白2 (MeCP2)基因启动子的5-hmC水平降低相关。此外,BDNF和MeCP2基因启动子的5-hmC水平与运动评分相关。整体DNA 5-hmC与运动评分呈负相关。中介分析显示1-OHPyr对5-hmC的运动评分有中介作用。5-hmC、MeCP2和BDNF基因启动子5-hmC对1-OHPyr相关运动评分变化的影响分别占28.51%、27.29%和18.98%。研究结果表明,5-hmC可能是产前多环芳烃暴露与2岁儿童神经发育之间的潜在机制,并为羟甲基化在神经发育中的作用提供了更好的理解。
本文章由计算机程序翻译,如有差异,请以英文原文为准。

Association of Prenatal Polycyclic Aromatic Hydrocarbons Exposure, DNA Hydroxymethylation, and Neurodevelopment at 0 and 2 Years of Age.

Association of Prenatal Polycyclic Aromatic Hydrocarbons Exposure, DNA Hydroxymethylation, and Neurodevelopment at 0 and 2 Years of Age.

Association of Prenatal Polycyclic Aromatic Hydrocarbons Exposure, DNA Hydroxymethylation, and Neurodevelopment at 0 and 2 Years of Age.

Association of Prenatal Polycyclic Aromatic Hydrocarbons Exposure, DNA Hydroxymethylation, and Neurodevelopment at 0 and 2 Years of Age.

Maternal exposure to polycyclic aromatic hydrocarbons (PAHs) during pregnancy may have effects on the offspring epigenome. And the change in onset epigenome may be associated with children's neurodevelopment. The current study investigated the relationship between 5-hydroxymethylcytosine (5-hmC) levels in cord blood and PAH metabolites in maternal urine at delivery and children's neurodevelopment at birth and at age 2. We enrolled 400 pregnant women and their newborns and collected their biological samples after obtaining written informed consent. Enzyme linked immunosorbent assay kits and Chromatin immunoprecipitation kits were used to assess the DNA hydroxymethylation level in cord blood. We observed that 1-hydroxypyrene (1-OHPyr) was inversely associated with gesell developmental scale scores, positively associated with global DNA 5-hmC levels, and associated with decreased 5-hmC levels of the brain-derived neurotrophic factor (BDNF) and methyl CpG binding protein 2 (MeCP2) gene promoter. In addition, the 5-hmC levels of the BDNF and MeCP2 gene promoters were associated with motor scores. The global DNA 5-hmC was inversely associated with motor scores. Mediation analysis showed mediation effects between 1-OHPyr and motor scores by 5-hmC. The global DNA 5-hmC and MeCP2 and BDNF gene promoter 5-hmC contributed 28.51%, 27.29%, and 18.98% of the effect on motor scores changes related to 1-OHPyr. The study results suggested that 5-hmC can be a potential mechanism between prenatal PAH exposure and children's neurodevelopment at age 2 and provide a better understanding of the role of hydroxymethylation in neurodevelopment.

求助全文
通过发布文献求助,成功后即可免费获取论文全文。 去求助
来源期刊
Toxics
Toxics Chemical Engineering-Chemical Health and Safety
CiteScore
4.50
自引率
10.90%
发文量
681
审稿时长
6 weeks
期刊介绍: Toxics (ISSN 2305-6304) is an international, peer-reviewed, open access journal which provides an advanced forum for studies related to all aspects of toxic chemicals and materials. It publishes reviews, regular research papers, and short communications. Our aim is to encourage scientists to publish their experimental and theoretical results in detail. There is, therefore, no restriction on the maximum length of the papers, although authors should write their papers in a clear and concise way. The full experimental details must be provided so that the results can be reproduced. Electronic files or software regarding the full details of calculations and experimental procedure can be deposited as supplementary material, if it is not possible to publish them along with the text.
×
引用
GB/T 7714-2015
复制
MLA
复制
APA
复制
导出至
BibTeX EndNote RefMan NoteFirst NoteExpress
×
提示
您的信息不完整,为了账户安全,请先补充。
现在去补充
×
提示
您因"违规操作"
具体请查看互助需知
我知道了
×
提示
确定
请完成安全验证×
copy
已复制链接
快去分享给好友吧!
我知道了
右上角分享
点击右上角分享
0
联系我们:info@booksci.cn Book学术提供免费学术资源搜索服务,方便国内外学者检索中英文文献。致力于提供最便捷和优质的服务体验。 Copyright © 2023 布克学术 All rights reserved.
京ICP备2023020795号-1
ghs 京公网安备 11010802042870号
Book学术文献互助
Book学术文献互助群
群 号:604180095
Book学术官方微信