水库调控多重风险评估:重金属污染视角。

IF 4.1 3区 环境科学与生态学 Q2 ENVIRONMENTAL SCIENCES
Toxics Pub Date : 2025-09-08 DOI:10.3390/toxics13090762
Hui Zhou, Zhiping Li, Anming Wang, Jiawei Zhu, Zongyuan Han, Yalin Zhang, Dongdong Chen
{"title":"水库调控多重风险评估:重金属污染视角。","authors":"Hui Zhou, Zhiping Li, Anming Wang, Jiawei Zhu, Zongyuan Han, Yalin Zhang, Dongdong Chen","doi":"10.3390/toxics13090762","DOIUrl":null,"url":null,"abstract":"<p><p>As the terminal reservoir of the South-to-North Water Diversion's Eastern Route, Dongping Lake is critical for safeguarding the northern water supply. Analysis of 33 water-sediment sites revealed the following. (1) Waterborne heavy metals (HMs) below WHO limits, confirming the good water quality. (2) Sediment HM enrichment exceeding background levels, with Cd posing high ecological risk (mean <i>E<sub>r</sub></i> = 135), and moderate overall pollution. (3) Speciation showed V, Cr, Co, Ni, Cu, Zn, and Pb predominantly in residual fractions, while Cd exhibited high bioavailability and Pb was in reducible state. Ecological risk assessment indicated that V and Cr tend not to cause environmental pollution; Co, Ni, Cu, Zn, and Pb only cause slight pollution; and Cd causes serious point-source pollution. The carcinogenic risk of surface sediments to children is not negligible. (4) Source apportionment identified industrial emissions as the primary HM contributors, with Cd deriving from agricultural runoff (phosphate fertilizers) and industrial discharges. This study offers valuable baseline information for water quality management in mega-water-transfer projects, directly supporting the Jiaodong Main Line and Yellow River Crossing operations.</p>","PeriodicalId":23195,"journal":{"name":"Toxics","volume":"13 9","pages":""},"PeriodicalIF":4.1000,"publicationDate":"2025-09-08","publicationTypes":"Journal Article","fieldsOfStudy":null,"isOpenAccess":false,"openAccessPdf":"https://www.ncbi.nlm.nih.gov/pmc/articles/PMC12474066/pdf/","citationCount":"0","resultStr":"{\"title\":\"Assessing Multiple Risks in Regulating Reservoirs: Perspectives on Heavy Metal Contamination.\",\"authors\":\"Hui Zhou, Zhiping Li, Anming Wang, Jiawei Zhu, Zongyuan Han, Yalin Zhang, Dongdong Chen\",\"doi\":\"10.3390/toxics13090762\",\"DOIUrl\":null,\"url\":null,\"abstract\":\"<p><p>As the terminal reservoir of the South-to-North Water Diversion's Eastern Route, Dongping Lake is critical for safeguarding the northern water supply. Analysis of 33 water-sediment sites revealed the following. (1) Waterborne heavy metals (HMs) below WHO limits, confirming the good water quality. (2) Sediment HM enrichment exceeding background levels, with Cd posing high ecological risk (mean <i>E<sub>r</sub></i> = 135), and moderate overall pollution. (3) Speciation showed V, Cr, Co, Ni, Cu, Zn, and Pb predominantly in residual fractions, while Cd exhibited high bioavailability and Pb was in reducible state. Ecological risk assessment indicated that V and Cr tend not to cause environmental pollution; Co, Ni, Cu, Zn, and Pb only cause slight pollution; and Cd causes serious point-source pollution. The carcinogenic risk of surface sediments to children is not negligible. (4) Source apportionment identified industrial emissions as the primary HM contributors, with Cd deriving from agricultural runoff (phosphate fertilizers) and industrial discharges. This study offers valuable baseline information for water quality management in mega-water-transfer projects, directly supporting the Jiaodong Main Line and Yellow River Crossing operations.</p>\",\"PeriodicalId\":23195,\"journal\":{\"name\":\"Toxics\",\"volume\":\"13 9\",\"pages\":\"\"},\"PeriodicalIF\":4.1000,\"publicationDate\":\"2025-09-08\",\"publicationTypes\":\"Journal Article\",\"fieldsOfStudy\":null,\"isOpenAccess\":false,\"openAccessPdf\":\"https://www.ncbi.nlm.nih.gov/pmc/articles/PMC12474066/pdf/\",\"citationCount\":\"0\",\"resultStr\":null,\"platform\":\"Semanticscholar\",\"paperid\":null,\"PeriodicalName\":\"Toxics\",\"FirstCategoryId\":\"93\",\"ListUrlMain\":\"https://doi.org/10.3390/toxics13090762\",\"RegionNum\":3,\"RegionCategory\":\"环境科学与生态学\",\"ArticlePicture\":[],\"TitleCN\":null,\"AbstractTextCN\":null,\"PMCID\":null,\"EPubDate\":\"\",\"PubModel\":\"\",\"JCR\":\"Q2\",\"JCRName\":\"ENVIRONMENTAL SCIENCES\",\"Score\":null,\"Total\":0}","platform":"Semanticscholar","paperid":null,"PeriodicalName":"Toxics","FirstCategoryId":"93","ListUrlMain":"https://doi.org/10.3390/toxics13090762","RegionNum":3,"RegionCategory":"环境科学与生态学","ArticlePicture":[],"TitleCN":null,"AbstractTextCN":null,"PMCID":null,"EPubDate":"","PubModel":"","JCR":"Q2","JCRName":"ENVIRONMENTAL SCIENCES","Score":null,"Total":0}
引用次数: 0

摘要

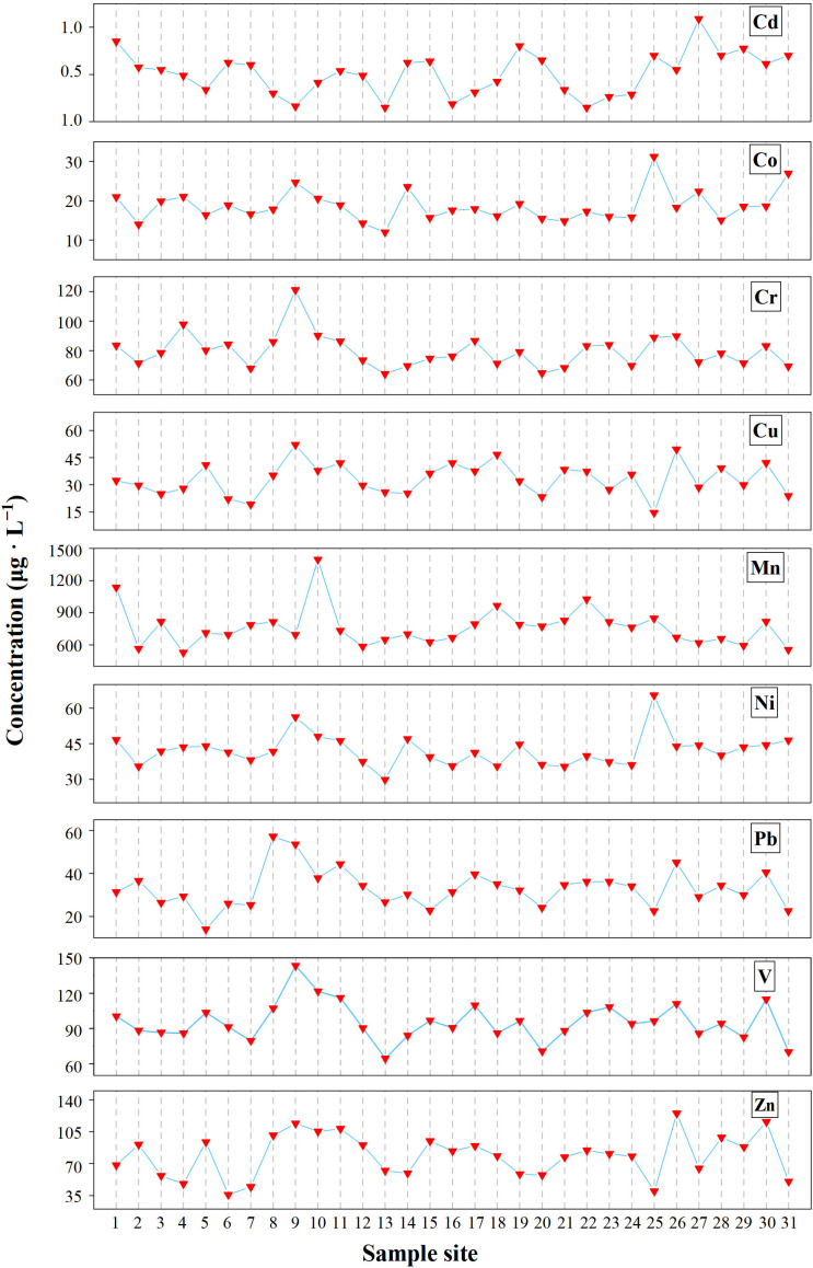
东平湖作为南水北调东线工程的枢纽水库,对保障北方供水具有重要意义。对33个水沉积物点的分析揭示了以下几点。(1)水体重金属含量低于WHO标准,水质良好。(2)沉积物HM富集超过本底水平,Cd生态风险高(平均Er = 135),总体污染程度中等。(3)残留组分以V、Cr、Co、Ni、Cu、Zn、Pb为主,Cd具有较高的生物利用度,Pb处于可还原状态。生态风险评价表明,V和Cr对环境的污染倾向于不明显;Co、Ni、Cu、Zn、Pb只造成轻微污染;镉造成严重的点源污染。地表沉积物对儿童的致癌风险不容忽视。(4)工业排放是HM的主要来源,而农业径流(磷肥)和工业排放是Cd的主要来源。该研究为大型调水工程的水质管理提供了有价值的基线信息,直接支持胶东干线和黄河渡江工程的运行。
本文章由计算机程序翻译,如有差异,请以英文原文为准。

Assessing Multiple Risks in Regulating Reservoirs: Perspectives on Heavy Metal Contamination.

Assessing Multiple Risks in Regulating Reservoirs: Perspectives on Heavy Metal Contamination.

Assessing Multiple Risks in Regulating Reservoirs: Perspectives on Heavy Metal Contamination.

Assessing Multiple Risks in Regulating Reservoirs: Perspectives on Heavy Metal Contamination.

As the terminal reservoir of the South-to-North Water Diversion's Eastern Route, Dongping Lake is critical for safeguarding the northern water supply. Analysis of 33 water-sediment sites revealed the following. (1) Waterborne heavy metals (HMs) below WHO limits, confirming the good water quality. (2) Sediment HM enrichment exceeding background levels, with Cd posing high ecological risk (mean Er = 135), and moderate overall pollution. (3) Speciation showed V, Cr, Co, Ni, Cu, Zn, and Pb predominantly in residual fractions, while Cd exhibited high bioavailability and Pb was in reducible state. Ecological risk assessment indicated that V and Cr tend not to cause environmental pollution; Co, Ni, Cu, Zn, and Pb only cause slight pollution; and Cd causes serious point-source pollution. The carcinogenic risk of surface sediments to children is not negligible. (4) Source apportionment identified industrial emissions as the primary HM contributors, with Cd deriving from agricultural runoff (phosphate fertilizers) and industrial discharges. This study offers valuable baseline information for water quality management in mega-water-transfer projects, directly supporting the Jiaodong Main Line and Yellow River Crossing operations.

求助全文
通过发布文献求助,成功后即可免费获取论文全文。 去求助
来源期刊
Toxics
Toxics Chemical Engineering-Chemical Health and Safety
CiteScore
4.50
自引率
10.90%
发文量
681
审稿时长
6 weeks
期刊介绍: Toxics (ISSN 2305-6304) is an international, peer-reviewed, open access journal which provides an advanced forum for studies related to all aspects of toxic chemicals and materials. It publishes reviews, regular research papers, and short communications. Our aim is to encourage scientists to publish their experimental and theoretical results in detail. There is, therefore, no restriction on the maximum length of the papers, although authors should write their papers in a clear and concise way. The full experimental details must be provided so that the results can be reproduced. Electronic files or software regarding the full details of calculations and experimental procedure can be deposited as supplementary material, if it is not possible to publish them along with the text.
×
引用
GB/T 7714-2015
复制
MLA
复制
APA
复制
导出至
BibTeX EndNote RefMan NoteFirst NoteExpress
×
提示
您的信息不完整,为了账户安全,请先补充。
现在去补充
×
提示
您因"违规操作"
具体请查看互助需知
我知道了
×
提示
确定
请完成安全验证×
copy
已复制链接
快去分享给好友吧!
我知道了
右上角分享
点击右上角分享
0
联系我们:info@booksci.cn Book学术提供免费学术资源搜索服务,方便国内外学者检索中英文文献。致力于提供最便捷和优质的服务体验。 Copyright © 2023 布克学术 All rights reserved.
京ICP备2023020795号-1
ghs 京公网安备 11010802042870号
Book学术文献互助
Book学术文献互助群
群 号:604180095
Book学术官方微信