纳米塑料暴露于新型基质的人工湿地:减轻基质酶和生态过程的影响。

IF 4.1 3区 环境科学与生态学 Q2 ENVIRONMENTAL SCIENCES
Toxics Pub Date : 2025-09-20 DOI:10.3390/toxics13090800
Luming Wang, Juan Huang, Jing Tuo, Jin Xu, Xinwei Li
{"title":"纳米塑料暴露于新型基质的人工湿地:减轻基质酶和生态过程的影响。","authors":"Luming Wang, Juan Huang, Jing Tuo, Jin Xu, Xinwei Li","doi":"10.3390/toxics13090800","DOIUrl":null,"url":null,"abstract":"<p><p>The widespread occurrence of nano-plastics (NPs) in aquatic environments poses emerging challenges to the pollutant removal performance and ecological stability of constructed wetlands (CWs). This study investigates the performance of calcium-modified (Ca-MBF) and manganese-modified basalt fiber (Mn-MBF) bio-nests as novel substrates to mitigate NP-induced inhibition of CWs. Laboratory-scale CWs were operated for 180 days to evaluate substrate-associated enzyme activities, microbial community structure, and functional gene profiles. Results showed that Mn-MBF bio-nests enhanced the activities of dehydrogenase (DHA), urease (UR), ammonia monooxygenase (AMO), nitrite oxidoreductase (NOR), nitrate reductase (NAR), nitrite reductase (NIR), and phosphatase (PST) by 86.2%, 65.5%, 127.0%, 62.8%, 131.5%, 65.3%, and 107.0%, respectively, compared with the control. In contrast, Ca-MBF bio-nests increased these enzyme activities by 48.6%, 53.5%, 67.0%, 30.6%, 95.0%, 45.3%, and 54.6%, respectively. MBF bio-nests also enhanced microbial diversity, enriched denitrifying and phosphorus-removing bacteria (e.g., Thauera, Plasticicumulans), and promoted extracellular polymeric substance secretion. Functional gene prediction indicated elevated abundances of nitrogen cycle-related genes, thereby enhancing nitrification, denitrification, and phosphorus removal processes. These synergistic effects collectively improved nitrification, denitrification, and phosphorus removal efficiency, with Mn-MBF showing superior performance. This study highlights MBF bio-nests as a sustainable strategy to enhance the resilience and long-term operational stability of CWs in environments impacted by nano-plastic pollution.</p>","PeriodicalId":23195,"journal":{"name":"Toxics","volume":"13 9","pages":""},"PeriodicalIF":4.1000,"publicationDate":"2025-09-20","publicationTypes":"Journal Article","fieldsOfStudy":null,"isOpenAccess":false,"openAccessPdf":"https://www.ncbi.nlm.nih.gov/pmc/articles/PMC12473994/pdf/","citationCount":"0","resultStr":"{\"title\":\"Constructed Wetlands with Novel Substrate Exposed to Nano-Plastics: Mitigating the Effects of Substrate Enzyme and Ecological Processes.\",\"authors\":\"Luming Wang, Juan Huang, Jing Tuo, Jin Xu, Xinwei Li\",\"doi\":\"10.3390/toxics13090800\",\"DOIUrl\":null,\"url\":null,\"abstract\":\"<p><p>The widespread occurrence of nano-plastics (NPs) in aquatic environments poses emerging challenges to the pollutant removal performance and ecological stability of constructed wetlands (CWs). This study investigates the performance of calcium-modified (Ca-MBF) and manganese-modified basalt fiber (Mn-MBF) bio-nests as novel substrates to mitigate NP-induced inhibition of CWs. Laboratory-scale CWs were operated for 180 days to evaluate substrate-associated enzyme activities, microbial community structure, and functional gene profiles. Results showed that Mn-MBF bio-nests enhanced the activities of dehydrogenase (DHA), urease (UR), ammonia monooxygenase (AMO), nitrite oxidoreductase (NOR), nitrate reductase (NAR), nitrite reductase (NIR), and phosphatase (PST) by 86.2%, 65.5%, 127.0%, 62.8%, 131.5%, 65.3%, and 107.0%, respectively, compared with the control. In contrast, Ca-MBF bio-nests increased these enzyme activities by 48.6%, 53.5%, 67.0%, 30.6%, 95.0%, 45.3%, and 54.6%, respectively. MBF bio-nests also enhanced microbial diversity, enriched denitrifying and phosphorus-removing bacteria (e.g., Thauera, Plasticicumulans), and promoted extracellular polymeric substance secretion. Functional gene prediction indicated elevated abundances of nitrogen cycle-related genes, thereby enhancing nitrification, denitrification, and phosphorus removal processes. These synergistic effects collectively improved nitrification, denitrification, and phosphorus removal efficiency, with Mn-MBF showing superior performance. This study highlights MBF bio-nests as a sustainable strategy to enhance the resilience and long-term operational stability of CWs in environments impacted by nano-plastic pollution.</p>\",\"PeriodicalId\":23195,\"journal\":{\"name\":\"Toxics\",\"volume\":\"13 9\",\"pages\":\"\"},\"PeriodicalIF\":4.1000,\"publicationDate\":\"2025-09-20\",\"publicationTypes\":\"Journal Article\",\"fieldsOfStudy\":null,\"isOpenAccess\":false,\"openAccessPdf\":\"https://www.ncbi.nlm.nih.gov/pmc/articles/PMC12473994/pdf/\",\"citationCount\":\"0\",\"resultStr\":null,\"platform\":\"Semanticscholar\",\"paperid\":null,\"PeriodicalName\":\"Toxics\",\"FirstCategoryId\":\"93\",\"ListUrlMain\":\"https://doi.org/10.3390/toxics13090800\",\"RegionNum\":3,\"RegionCategory\":\"环境科学与生态学\",\"ArticlePicture\":[],\"TitleCN\":null,\"AbstractTextCN\":null,\"PMCID\":null,\"EPubDate\":\"\",\"PubModel\":\"\",\"JCR\":\"Q2\",\"JCRName\":\"ENVIRONMENTAL SCIENCES\",\"Score\":null,\"Total\":0}","platform":"Semanticscholar","paperid":null,"PeriodicalName":"Toxics","FirstCategoryId":"93","ListUrlMain":"https://doi.org/10.3390/toxics13090800","RegionNum":3,"RegionCategory":"环境科学与生态学","ArticlePicture":[],"TitleCN":null,"AbstractTextCN":null,"PMCID":null,"EPubDate":"","PubModel":"","JCR":"Q2","JCRName":"ENVIRONMENTAL SCIENCES","Score":null,"Total":0}
引用次数: 0

摘要

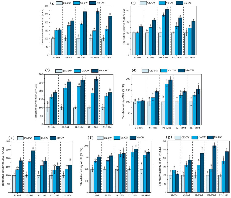
纳米塑料在水生环境中的广泛存在,对人工湿地的污染物去除性能和生态稳定性提出了新的挑战。本研究研究了钙改性(Ca-MBF)和锰改性玄武岩纤维(Mn-MBF)生物巢作为新型底物减轻np诱导的CWs抑制的性能。实验室规模的CWs运行180天,以评估底物相关酶活性、微生物群落结构和功能基因谱。结果表明,与对照相比,Mn-MBF生物窝可使脱氢酶(DHA)、脲酶(UR)、氨单氧酶(AMO)、亚硝酸盐氧化还原酶(NOR)、硝酸盐还原酶(NAR)、亚硝酸盐还原酶(NIR)和磷酸酶(PST)活性分别提高86.2%、65.5%、127.0%、62.8%、131.5%、65.3%和107.0%。相比之下,Ca-MBF生物窝分别提高了48.6%、53.5%、67.0%、30.6%、95.0%、45.3%和54.6%的酶活性。MBF生物巢还增强了微生物多样性,丰富了反硝化和除磷细菌(如Thauera, Plasticicumulans),促进了细胞外聚合物物质的分泌。功能基因预测表明,氮循环相关基因的丰度升高,从而增强了硝化、反硝化和除磷过程。这些协同效应共同提高了硝化、反硝化和除磷效率,其中Mn-MBF表现出更好的性能。本研究强调MBF生物巢是一种可持续的策略,可以提高CWs在受纳米塑料污染影响的环境中的恢复能力和长期运行稳定性。
本文章由计算机程序翻译,如有差异,请以英文原文为准。

Constructed Wetlands with Novel Substrate Exposed to Nano-Plastics: Mitigating the Effects of Substrate Enzyme and Ecological Processes.

Constructed Wetlands with Novel Substrate Exposed to Nano-Plastics: Mitigating the Effects of Substrate Enzyme and Ecological Processes.

Constructed Wetlands with Novel Substrate Exposed to Nano-Plastics: Mitigating the Effects of Substrate Enzyme and Ecological Processes.

Constructed Wetlands with Novel Substrate Exposed to Nano-Plastics: Mitigating the Effects of Substrate Enzyme and Ecological Processes.

The widespread occurrence of nano-plastics (NPs) in aquatic environments poses emerging challenges to the pollutant removal performance and ecological stability of constructed wetlands (CWs). This study investigates the performance of calcium-modified (Ca-MBF) and manganese-modified basalt fiber (Mn-MBF) bio-nests as novel substrates to mitigate NP-induced inhibition of CWs. Laboratory-scale CWs were operated for 180 days to evaluate substrate-associated enzyme activities, microbial community structure, and functional gene profiles. Results showed that Mn-MBF bio-nests enhanced the activities of dehydrogenase (DHA), urease (UR), ammonia monooxygenase (AMO), nitrite oxidoreductase (NOR), nitrate reductase (NAR), nitrite reductase (NIR), and phosphatase (PST) by 86.2%, 65.5%, 127.0%, 62.8%, 131.5%, 65.3%, and 107.0%, respectively, compared with the control. In contrast, Ca-MBF bio-nests increased these enzyme activities by 48.6%, 53.5%, 67.0%, 30.6%, 95.0%, 45.3%, and 54.6%, respectively. MBF bio-nests also enhanced microbial diversity, enriched denitrifying and phosphorus-removing bacteria (e.g., Thauera, Plasticicumulans), and promoted extracellular polymeric substance secretion. Functional gene prediction indicated elevated abundances of nitrogen cycle-related genes, thereby enhancing nitrification, denitrification, and phosphorus removal processes. These synergistic effects collectively improved nitrification, denitrification, and phosphorus removal efficiency, with Mn-MBF showing superior performance. This study highlights MBF bio-nests as a sustainable strategy to enhance the resilience and long-term operational stability of CWs in environments impacted by nano-plastic pollution.

求助全文
通过发布文献求助,成功后即可免费获取论文全文。 去求助
来源期刊
Toxics
Toxics Chemical Engineering-Chemical Health and Safety
CiteScore
4.50
自引率
10.90%
发文量
681
审稿时长
6 weeks
期刊介绍: Toxics (ISSN 2305-6304) is an international, peer-reviewed, open access journal which provides an advanced forum for studies related to all aspects of toxic chemicals and materials. It publishes reviews, regular research papers, and short communications. Our aim is to encourage scientists to publish their experimental and theoretical results in detail. There is, therefore, no restriction on the maximum length of the papers, although authors should write their papers in a clear and concise way. The full experimental details must be provided so that the results can be reproduced. Electronic files or software regarding the full details of calculations and experimental procedure can be deposited as supplementary material, if it is not possible to publish them along with the text.
×
引用
GB/T 7714-2015
复制
MLA
复制
APA
复制
导出至
BibTeX EndNote RefMan NoteFirst NoteExpress
×
提示
您的信息不完整,为了账户安全,请先补充。
现在去补充
×
提示
您因"违规操作"
具体请查看互助需知
我知道了
×
提示
确定
请完成安全验证×
copy
已复制链接
快去分享给好友吧!
我知道了
右上角分享
点击右上角分享
0
联系我们:info@booksci.cn Book学术提供免费学术资源搜索服务,方便国内外学者检索中英文文献。致力于提供最便捷和优质的服务体验。 Copyright © 2023 布克学术 All rights reserved.
京ICP备2023020795号-1
ghs 京公网安备 11010802042870号
Book学术文献互助
Book学术文献互助群
群 号:604180095
Book学术官方微信