香烟烟雾中PM2.5的化学分解:主要和侧流排放因子和成分。

IF 4.1 3区 环境科学与生态学 Q2 ENVIRONMENTAL SCIENCES
Toxics Pub Date : 2025-08-23 DOI:10.3390/toxics13090711
Yujian Zhou, Hong Huang, Changwei Zou, Mengmeng Deng, Xiang Tu, Wei Deng, Chenglong Yu, Jianlong Li
{"title":"香烟烟雾中PM2.5的化学分解:主要和侧流排放因子和成分。","authors":"Yujian Zhou, Hong Huang, Changwei Zou, Mengmeng Deng, Xiang Tu, Wei Deng, Chenglong Yu, Jianlong Li","doi":"10.3390/toxics13090711","DOIUrl":null,"url":null,"abstract":"<p><p>Despite increasing evidence that cigarette smoke is a significant source of indoor fine particulate matter (PM<sub>2.5</sub>), quantitative emission factors (EFs) for PM<sub>2.5</sub> and its toxic chemical composition in mainstream (MS) and sidestream (SS) smoke are still not well defined. In this study, we employed a custom-designed chamber to separately collect MS (intermittent puff) and SS (continuous sampling) smoke from eleven cigarette models, representing six brands and two product types, under controlled conditions. PM<sub>2.5</sub> was collected on quartz-fiber filters and analyzed for carbon fractions (using the thermal-optical IMPROVE-A protocol), nine water-soluble inorganic ions (by ion chromatography), and twelve trace elements (via ICP-MS). SS smoke exhibited significantly higher mass fractions of total analyzed species (84.7% vs. 65.9%), carbon components (50.6% vs. 44.2%), water-soluble ions (17.1% vs. 13.7%), and elements (17.0% vs. 7.0%) compared to MS smoke. MS smoke is characterized by a high proportion of pyrolytic organic carbon fractions (OC<sub>1</sub>-OC<sub>3</sub>) and specific elements such as vanadium (V) and arsenic (As), while SS smoke shows elevated levels of elemental carbon (EC1), water-soluble ions (NH<sub>4</sub><sup>+</sup>, NO<sub>3</sub><sup>-</sup>), and certain elements like zinc (Zn) and cadmium (Cd). The toxicity-weighted distribution indicates that MS smoke primarily induces membrane disruption and pulmonary inflammation through semi-volatile organics and elements, whereas SS smoke enhances oxidative stress and cardiopulmonary impairment via EC-mediated reactions and secondary aerosol formation. The mean OC/EC ratio of 132.4 in SS smoke is an order of magnitude higher than values reported for biomass or fossil-fuel combustion, indicative of extensive incomplete combustion unique to cigarettes and suggesting a high potential for oxidative stress generation. Emission factors (µg/g cigarette) revealed marked differences: MS delivered higher absolute EFs for PM<sub>2.5</sub> (422.1), OC (8.8), EC (5.0), Na<sup>+</sup> (32.6), and V (29.2), while SS emitted greater proportions of NH<sub>4</sub><sup>+</sup>, NO<sub>3</sub><sup>-</sup>, Cl<sup>-</sup>, and carcinogenic metals (As, Cd, Zn). These findings provide quantitative source profiles suitable for receptor-oriented indoor source-apportionment models and offer toxicological evidence to support the prioritization of comprehensive smoke-free regulations.</p>","PeriodicalId":23195,"journal":{"name":"Toxics","volume":"13 9","pages":""},"PeriodicalIF":4.1000,"publicationDate":"2025-08-23","publicationTypes":"Journal Article","fieldsOfStudy":null,"isOpenAccess":false,"openAccessPdf":"https://www.ncbi.nlm.nih.gov/pmc/articles/PMC12473782/pdf/","citationCount":"0","resultStr":"{\"title\":\"Chemical Dissection of PM<sub>2.5</sub> in Cigarette Smoke: Main and Sidestream Emission Factors and Compositions.\",\"authors\":\"Yujian Zhou, Hong Huang, Changwei Zou, Mengmeng Deng, Xiang Tu, Wei Deng, Chenglong Yu, Jianlong Li\",\"doi\":\"10.3390/toxics13090711\",\"DOIUrl\":null,\"url\":null,\"abstract\":\"<p><p>Despite increasing evidence that cigarette smoke is a significant source of indoor fine particulate matter (PM<sub>2.5</sub>), quantitative emission factors (EFs) for PM<sub>2.5</sub> and its toxic chemical composition in mainstream (MS) and sidestream (SS) smoke are still not well defined. In this study, we employed a custom-designed chamber to separately collect MS (intermittent puff) and SS (continuous sampling) smoke from eleven cigarette models, representing six brands and two product types, under controlled conditions. PM<sub>2.5</sub> was collected on quartz-fiber filters and analyzed for carbon fractions (using the thermal-optical IMPROVE-A protocol), nine water-soluble inorganic ions (by ion chromatography), and twelve trace elements (via ICP-MS). SS smoke exhibited significantly higher mass fractions of total analyzed species (84.7% vs. 65.9%), carbon components (50.6% vs. 44.2%), water-soluble ions (17.1% vs. 13.7%), and elements (17.0% vs. 7.0%) compared to MS smoke. MS smoke is characterized by a high proportion of pyrolytic organic carbon fractions (OC<sub>1</sub>-OC<sub>3</sub>) and specific elements such as vanadium (V) and arsenic (As), while SS smoke shows elevated levels of elemental carbon (EC1), water-soluble ions (NH<sub>4</sub><sup>+</sup>, NO<sub>3</sub><sup>-</sup>), and certain elements like zinc (Zn) and cadmium (Cd). The toxicity-weighted distribution indicates that MS smoke primarily induces membrane disruption and pulmonary inflammation through semi-volatile organics and elements, whereas SS smoke enhances oxidative stress and cardiopulmonary impairment via EC-mediated reactions and secondary aerosol formation. The mean OC/EC ratio of 132.4 in SS smoke is an order of magnitude higher than values reported for biomass or fossil-fuel combustion, indicative of extensive incomplete combustion unique to cigarettes and suggesting a high potential for oxidative stress generation. Emission factors (µg/g cigarette) revealed marked differences: MS delivered higher absolute EFs for PM<sub>2.5</sub> (422.1), OC (8.8), EC (5.0), Na<sup>+</sup> (32.6), and V (29.2), while SS emitted greater proportions of NH<sub>4</sub><sup>+</sup>, NO<sub>3</sub><sup>-</sup>, Cl<sup>-</sup>, and carcinogenic metals (As, Cd, Zn). These findings provide quantitative source profiles suitable for receptor-oriented indoor source-apportionment models and offer toxicological evidence to support the prioritization of comprehensive smoke-free regulations.</p>\",\"PeriodicalId\":23195,\"journal\":{\"name\":\"Toxics\",\"volume\":\"13 9\",\"pages\":\"\"},\"PeriodicalIF\":4.1000,\"publicationDate\":\"2025-08-23\",\"publicationTypes\":\"Journal Article\",\"fieldsOfStudy\":null,\"isOpenAccess\":false,\"openAccessPdf\":\"https://www.ncbi.nlm.nih.gov/pmc/articles/PMC12473782/pdf/\",\"citationCount\":\"0\",\"resultStr\":null,\"platform\":\"Semanticscholar\",\"paperid\":null,\"PeriodicalName\":\"Toxics\",\"FirstCategoryId\":\"93\",\"ListUrlMain\":\"https://doi.org/10.3390/toxics13090711\",\"RegionNum\":3,\"RegionCategory\":\"环境科学与生态学\",\"ArticlePicture\":[],\"TitleCN\":null,\"AbstractTextCN\":null,\"PMCID\":null,\"EPubDate\":\"\",\"PubModel\":\"\",\"JCR\":\"Q2\",\"JCRName\":\"ENVIRONMENTAL SCIENCES\",\"Score\":null,\"Total\":0}","platform":"Semanticscholar","paperid":null,"PeriodicalName":"Toxics","FirstCategoryId":"93","ListUrlMain":"https://doi.org/10.3390/toxics13090711","RegionNum":3,"RegionCategory":"环境科学与生态学","ArticlePicture":[],"TitleCN":null,"AbstractTextCN":null,"PMCID":null,"EPubDate":"","PubModel":"","JCR":"Q2","JCRName":"ENVIRONMENTAL SCIENCES","Score":null,"Total":0}
引用次数: 0

摘要

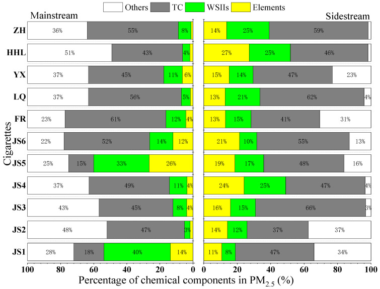
尽管越来越多的证据表明,香烟烟雾是室内细颗粒物(PM2.5)的重要来源,但PM2.5的定量排放因子(EFs)及其在主流(MS)和侧流(SS)烟雾中的有毒化学成分仍未得到很好的定义。在本研究中,我们采用了一个定制设计的室,在受控条件下分别收集了11种香烟模型的MS(间歇性吞云吞雾)和SS(连续采样)烟雾,这些模型代表了6个品牌和2种产品类型。在石英纤维过滤器上收集PM2.5,并分析碳组分(使用热光学改进- a方案),9种水溶性无机离子(通过离子色谱法)和12种微量元素(通过ICP-MS)。与MS烟雾相比,SS烟雾的总分析物质(84.7% vs. 65.9%)、碳成分(50.6% vs. 44.2%)、水溶性离子(17.1% vs. 13.7%)和元素(17.0% vs. 7.0%)的质量分数显著高于MS烟雾。MS烟雾的特征是高比例的热解有机碳组分(OC1-OC3)和钒(V)、砷(as)等特定元素,而SS烟雾的单质碳(EC1)、水溶性离子(NH4+、NO3-)和锌(Zn)、镉(Cd)等特定元素含量较高。毒性加权分布表明,MS烟雾主要通过半挥发性有机物和元素诱导膜破坏和肺部炎症,而SS烟雾通过ec介导的反应和二次气溶胶形成增强氧化应激和心肺损伤。SS烟雾的平均OC/EC比值为132.4,比生物质或化石燃料燃烧报告的值高一个数量级,表明香烟特有的广泛不完全燃烧,并表明氧化应激产生的可能性很高。排放因子(µg/g香烟)显示出显著差异:MS对PM2.5(422.1)、OC(8.8)、EC(5.0)、Na+(32.6)和V(29.2)的绝对EFs更高,而SS排放的NH4+、NO3-、Cl-和致癌金属(As、Cd、Zn)的比例更高。这些发现提供了适合于以受体为导向的室内源分配模型的定量源概况,并为支持全面无烟法规的优先级提供了毒理学证据。
本文章由计算机程序翻译,如有差异,请以英文原文为准。

Chemical Dissection of PM<sub>2.5</sub> in Cigarette Smoke: Main and Sidestream Emission Factors and Compositions.

Chemical Dissection of PM<sub>2.5</sub> in Cigarette Smoke: Main and Sidestream Emission Factors and Compositions.

Chemical Dissection of PM<sub>2.5</sub> in Cigarette Smoke: Main and Sidestream Emission Factors and Compositions.

Chemical Dissection of PM2.5 in Cigarette Smoke: Main and Sidestream Emission Factors and Compositions.

Despite increasing evidence that cigarette smoke is a significant source of indoor fine particulate matter (PM2.5), quantitative emission factors (EFs) for PM2.5 and its toxic chemical composition in mainstream (MS) and sidestream (SS) smoke are still not well defined. In this study, we employed a custom-designed chamber to separately collect MS (intermittent puff) and SS (continuous sampling) smoke from eleven cigarette models, representing six brands and two product types, under controlled conditions. PM2.5 was collected on quartz-fiber filters and analyzed for carbon fractions (using the thermal-optical IMPROVE-A protocol), nine water-soluble inorganic ions (by ion chromatography), and twelve trace elements (via ICP-MS). SS smoke exhibited significantly higher mass fractions of total analyzed species (84.7% vs. 65.9%), carbon components (50.6% vs. 44.2%), water-soluble ions (17.1% vs. 13.7%), and elements (17.0% vs. 7.0%) compared to MS smoke. MS smoke is characterized by a high proportion of pyrolytic organic carbon fractions (OC1-OC3) and specific elements such as vanadium (V) and arsenic (As), while SS smoke shows elevated levels of elemental carbon (EC1), water-soluble ions (NH4+, NO3-), and certain elements like zinc (Zn) and cadmium (Cd). The toxicity-weighted distribution indicates that MS smoke primarily induces membrane disruption and pulmonary inflammation through semi-volatile organics and elements, whereas SS smoke enhances oxidative stress and cardiopulmonary impairment via EC-mediated reactions and secondary aerosol formation. The mean OC/EC ratio of 132.4 in SS smoke is an order of magnitude higher than values reported for biomass or fossil-fuel combustion, indicative of extensive incomplete combustion unique to cigarettes and suggesting a high potential for oxidative stress generation. Emission factors (µg/g cigarette) revealed marked differences: MS delivered higher absolute EFs for PM2.5 (422.1), OC (8.8), EC (5.0), Na+ (32.6), and V (29.2), while SS emitted greater proportions of NH4+, NO3-, Cl-, and carcinogenic metals (As, Cd, Zn). These findings provide quantitative source profiles suitable for receptor-oriented indoor source-apportionment models and offer toxicological evidence to support the prioritization of comprehensive smoke-free regulations.

求助全文
通过发布文献求助,成功后即可免费获取论文全文。 去求助
来源期刊
Toxics
Toxics Chemical Engineering-Chemical Health and Safety
CiteScore
4.50
自引率
10.90%
发文量
681
审稿时长
6 weeks
期刊介绍: Toxics (ISSN 2305-6304) is an international, peer-reviewed, open access journal which provides an advanced forum for studies related to all aspects of toxic chemicals and materials. It publishes reviews, regular research papers, and short communications. Our aim is to encourage scientists to publish their experimental and theoretical results in detail. There is, therefore, no restriction on the maximum length of the papers, although authors should write their papers in a clear and concise way. The full experimental details must be provided so that the results can be reproduced. Electronic files or software regarding the full details of calculations and experimental procedure can be deposited as supplementary material, if it is not possible to publish them along with the text.
×
引用
GB/T 7714-2015
复制
MLA
复制
APA
复制
导出至
BibTeX EndNote RefMan NoteFirst NoteExpress
×
提示
您的信息不完整,为了账户安全,请先补充。
现在去补充
×
提示
您因"违规操作"
具体请查看互助需知
我知道了
×
提示
确定
请完成安全验证×
copy
已复制链接
快去分享给好友吧!
我知道了
右上角分享
点击右上角分享
0
联系我们:info@booksci.cn Book学术提供免费学术资源搜索服务,方便国内外学者检索中英文文献。致力于提供最便捷和优质的服务体验。 Copyright © 2023 布克学术 All rights reserved.
京ICP备2023020795号-1
ghs 京公网安备 11010802042870号
Book学术文献互助
Book学术文献互助群
群 号:604180095
Book学术官方微信