刺激响应型阳离子溶性液晶纳米颗粒:配方、理化和形态学评价。

IF 5.5 3区 医学 Q1 PHARMACOLOGY & PHARMACY
Maria Chountoulesi, Natassa Pippa, Varvara Chrysostomou, Aleksander Forys, Barbara Trzebicka, Stergios Pispas, Costas Demetzos
{"title":"刺激响应型阳离子溶性液晶纳米颗粒:配方、理化和形态学评价。","authors":"Maria Chountoulesi, Natassa Pippa, Varvara Chrysostomou, Aleksander Forys, Barbara Trzebicka, Stergios Pispas, Costas Demetzos","doi":"10.3390/pharmaceutics17091199","DOIUrl":null,"url":null,"abstract":"<p><p><b>Background/Objectives</b>: Lyotropic liquid crystalline nanoparticles are promising drug delivery nanocarriers, exhibiting significant technological advantages, such as their extended internal morphology. In this study, cationic non-lamellar lyotropic-lipidic liquid crystalline nanoparticles were formulated by phytantriol lipid. <b>Methods</b>: The poly(2-(dimethylamino)ethyl methacrylate)-b-poly(lauryl methacrylate) block copolymer carrying tri-phenyl-phosphine cations (TPP-QPDMAEMA-b-PLMA), was employed as a stabilizer co-assisted by other polymeric guests. The exact qualitative and quantitative formulation of the systems was investigated. Their physicochemical profile was depicted from a variety of light scattering techniques, while their microenvironmental parameters were determined by fluorescence spectroscopy using adequate probe molecules. The effect of environmental conditions was monitored, confirming stimuli-responsiveness properties. Their morphology was illustrated by cryo-TEM, revealing expanded internal assemblies. Resveratrol was incorporated into the nanoparticles and the entrapment efficiency was calculated. <b>Results</b>: Their properties were found to be dependent on the formulation characteristics, such as the lipid used, as well as the architecture of the polymeric stabilizer, also being found to be stealth toward proteins, exhibiting stimuli responsiveness and high entrapment efficiency. <b>Conclusions</b>: The studied liquid crystalline nanoparticles, being stimuli-responsive, with high cationic potential, high loading capacity and showing intriguing 3D structures, are suitable for pharmaceutical applications.</p>","PeriodicalId":19894,"journal":{"name":"Pharmaceutics","volume":"17 9","pages":""},"PeriodicalIF":5.5000,"publicationDate":"2025-09-15","publicationTypes":"Journal Article","fieldsOfStudy":null,"isOpenAccess":false,"openAccessPdf":"https://www.ncbi.nlm.nih.gov/pmc/articles/PMC12473691/pdf/","citationCount":"0","resultStr":"{\"title\":\"Stimuli-Responsive Cationic Lyotropic Liquid Crystalline Nanoparticles: Formulation Process, Physicochemical and Morphological Evaluation.\",\"authors\":\"Maria Chountoulesi, Natassa Pippa, Varvara Chrysostomou, Aleksander Forys, Barbara Trzebicka, Stergios Pispas, Costas Demetzos\",\"doi\":\"10.3390/pharmaceutics17091199\",\"DOIUrl\":null,\"url\":null,\"abstract\":\"<p><p><b>Background/Objectives</b>: Lyotropic liquid crystalline nanoparticles are promising drug delivery nanocarriers, exhibiting significant technological advantages, such as their extended internal morphology. In this study, cationic non-lamellar lyotropic-lipidic liquid crystalline nanoparticles were formulated by phytantriol lipid. <b>Methods</b>: The poly(2-(dimethylamino)ethyl methacrylate)-b-poly(lauryl methacrylate) block copolymer carrying tri-phenyl-phosphine cations (TPP-QPDMAEMA-b-PLMA), was employed as a stabilizer co-assisted by other polymeric guests. The exact qualitative and quantitative formulation of the systems was investigated. Their physicochemical profile was depicted from a variety of light scattering techniques, while their microenvironmental parameters were determined by fluorescence spectroscopy using adequate probe molecules. The effect of environmental conditions was monitored, confirming stimuli-responsiveness properties. Their morphology was illustrated by cryo-TEM, revealing expanded internal assemblies. Resveratrol was incorporated into the nanoparticles and the entrapment efficiency was calculated. <b>Results</b>: Their properties were found to be dependent on the formulation characteristics, such as the lipid used, as well as the architecture of the polymeric stabilizer, also being found to be stealth toward proteins, exhibiting stimuli responsiveness and high entrapment efficiency. <b>Conclusions</b>: The studied liquid crystalline nanoparticles, being stimuli-responsive, with high cationic potential, high loading capacity and showing intriguing 3D structures, are suitable for pharmaceutical applications.</p>\",\"PeriodicalId\":19894,\"journal\":{\"name\":\"Pharmaceutics\",\"volume\":\"17 9\",\"pages\":\"\"},\"PeriodicalIF\":5.5000,\"publicationDate\":\"2025-09-15\",\"publicationTypes\":\"Journal Article\",\"fieldsOfStudy\":null,\"isOpenAccess\":false,\"openAccessPdf\":\"https://www.ncbi.nlm.nih.gov/pmc/articles/PMC12473691/pdf/\",\"citationCount\":\"0\",\"resultStr\":null,\"platform\":\"Semanticscholar\",\"paperid\":null,\"PeriodicalName\":\"Pharmaceutics\",\"FirstCategoryId\":\"3\",\"ListUrlMain\":\"https://doi.org/10.3390/pharmaceutics17091199\",\"RegionNum\":3,\"RegionCategory\":\"医学\",\"ArticlePicture\":[],\"TitleCN\":null,\"AbstractTextCN\":null,\"PMCID\":null,\"EPubDate\":\"\",\"PubModel\":\"\",\"JCR\":\"Q1\",\"JCRName\":\"PHARMACOLOGY & PHARMACY\",\"Score\":null,\"Total\":0}","platform":"Semanticscholar","paperid":null,"PeriodicalName":"Pharmaceutics","FirstCategoryId":"3","ListUrlMain":"https://doi.org/10.3390/pharmaceutics17091199","RegionNum":3,"RegionCategory":"医学","ArticlePicture":[],"TitleCN":null,"AbstractTextCN":null,"PMCID":null,"EPubDate":"","PubModel":"","JCR":"Q1","JCRName":"PHARMACOLOGY & PHARMACY","Score":null,"Total":0}
引用次数: 0

摘要

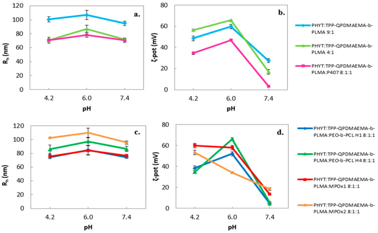
背景/目的:溶致液晶纳米颗粒是一种很有前途的药物递送纳米载体,具有显著的技术优势,如其扩展的内部形态。本研究以植物三醇脂为原料,制备了阳离子非片层溶性脂质液晶纳米颗粒。方法:以携带三苯基膦阳离子的聚(2-(二甲氨基)甲基丙烯酸乙酯)-b-聚(甲基丙烯酸十二酯)嵌段共聚物(TPP-QPDMAEMA-b-PLMA)为稳定剂,与其他聚合物共聚物共助。研究了该体系的精确定性和定量公式。它们的物理化学特征是通过各种光散射技术来描述的,而它们的微环境参数是通过使用适当的探针分子的荧光光谱来确定的。监测环境条件的影响,确认刺激反应特性。它们的形态由冷冻透射电镜显示,显示膨胀的内部组件。将白藜芦醇掺入纳米颗粒中,计算其包封效率。结果:它们的性质取决于配方特征,如所使用的脂质,以及聚合物稳定剂的结构,也被发现对蛋白质隐形,表现出刺激反应和高捕获效率。结论:所制备的液晶纳米颗粒具有刺激响应、高阳离子电位、高负载能力和良好的三维结构等特点,具有良好的应用前景。
本文章由计算机程序翻译,如有差异,请以英文原文为准。

Stimuli-Responsive Cationic Lyotropic Liquid Crystalline Nanoparticles: Formulation Process, Physicochemical and Morphological Evaluation.

Stimuli-Responsive Cationic Lyotropic Liquid Crystalline Nanoparticles: Formulation Process, Physicochemical and Morphological Evaluation.

Stimuli-Responsive Cationic Lyotropic Liquid Crystalline Nanoparticles: Formulation Process, Physicochemical and Morphological Evaluation.

Stimuli-Responsive Cationic Lyotropic Liquid Crystalline Nanoparticles: Formulation Process, Physicochemical and Morphological Evaluation.

Background/Objectives: Lyotropic liquid crystalline nanoparticles are promising drug delivery nanocarriers, exhibiting significant technological advantages, such as their extended internal morphology. In this study, cationic non-lamellar lyotropic-lipidic liquid crystalline nanoparticles were formulated by phytantriol lipid. Methods: The poly(2-(dimethylamino)ethyl methacrylate)-b-poly(lauryl methacrylate) block copolymer carrying tri-phenyl-phosphine cations (TPP-QPDMAEMA-b-PLMA), was employed as a stabilizer co-assisted by other polymeric guests. The exact qualitative and quantitative formulation of the systems was investigated. Their physicochemical profile was depicted from a variety of light scattering techniques, while their microenvironmental parameters were determined by fluorescence spectroscopy using adequate probe molecules. The effect of environmental conditions was monitored, confirming stimuli-responsiveness properties. Their morphology was illustrated by cryo-TEM, revealing expanded internal assemblies. Resveratrol was incorporated into the nanoparticles and the entrapment efficiency was calculated. Results: Their properties were found to be dependent on the formulation characteristics, such as the lipid used, as well as the architecture of the polymeric stabilizer, also being found to be stealth toward proteins, exhibiting stimuli responsiveness and high entrapment efficiency. Conclusions: The studied liquid crystalline nanoparticles, being stimuli-responsive, with high cationic potential, high loading capacity and showing intriguing 3D structures, are suitable for pharmaceutical applications.

求助全文
通过发布文献求助,成功后即可免费获取论文全文。 去求助
来源期刊
Pharmaceutics
Pharmaceutics Pharmacology, Toxicology and Pharmaceutics-Pharmaceutical Science
CiteScore
7.90
自引率
11.10%
发文量
2379
审稿时长
16.41 days
期刊介绍: Pharmaceutics (ISSN 1999-4923) is an open access journal which provides an advanced forum for the science and technology of pharmaceutics and biopharmaceutics. It publishes reviews, regular research papers, communications,  and short notes. Covered topics include pharmacokinetics, toxicokinetics, pharmacodynamics, pharmacogenetics and pharmacogenomics, and pharmaceutical formulation. Our aim is to encourage scientists to publish their experimental and theoretical details in as much detail as possible. There is no restriction on the length of the papers. The full experimental details must be provided so that the results can be reproduced.
×
引用
GB/T 7714-2015
复制
MLA
复制
APA
复制
导出至
BibTeX EndNote RefMan NoteFirst NoteExpress
×
提示
您的信息不完整,为了账户安全,请先补充。
现在去补充
×
提示
您因"违规操作"
具体请查看互助需知
我知道了
×
提示
确定
请完成安全验证×
copy
已复制链接
快去分享给好友吧!
我知道了
右上角分享
点击右上角分享
0
联系我们:info@booksci.cn Book学术提供免费学术资源搜索服务,方便国内外学者检索中英文文献。致力于提供最便捷和优质的服务体验。 Copyright © 2023 布克学术 All rights reserved.
京ICP备2023020795号-1
ghs 京公网安备 11010802042870号
Book学术文献互助
Book学术文献互助群
群 号:604180095
Book学术官方微信