吸塑包装中药品稳定性的预测模型。

IF 5.5 3区 医学 Q1 PHARMACOLOGY & PHARMACY
Jan Pech, Christoph Kaminski, Matthias Markus, Werner Hoheisel, Roman Heumann, Judith Winck, Markus Thommes
{"title":"吸塑包装中药品稳定性的预测模型。","authors":"Jan Pech, Christoph Kaminski, Matthias Markus, Werner Hoheisel, Roman Heumann, Judith Winck, Markus Thommes","doi":"10.3390/pharmaceutics17091233","DOIUrl":null,"url":null,"abstract":"<p><p><b>Background/Objectives:</b> The principal function of pharmaceutical blister packaging is to provide protection for the drug product. Moisture is regarded as a critical factor in the physical and chemical aging of drug products. The present work proposes a modeling framework to predict the performance of tablet blister materials based on the moisture uptake profile of the drug product as well as degradation characteristics of the drug substance, while the consumption of water due to degradation is included. <b>Methods:</b> The model incorporates three kinetic superimposed processes that define moisture uptake and drug stability. The processes of permeation, sorption and degradation are each described with a rate constant. Based on a mass balance, these rate processes are interconnected and the relative humidity in the blister cavity is predicted. <b>Results:</b> In a case study, the model was applied to demonstrate the feasibility of predicting the stability of blistered tablets. By establishing a correlation between the moisture uptake of the tablet and the drug stability demonstrated in the model, it was feasible to predict the drug content over shelf life. <b>Conclusions:</b> Modeling of the drug stability of blister-packed products enables a rational packaging which offers novel possibilities for reducing material in order to avoid overpackaging of pharmaceutical products. As some of the commonly used barrier materials are considered to not be sustainable, this model can be used to consider a rationally justified reduction or even abandonment of the barrier materials.</p>","PeriodicalId":19894,"journal":{"name":"Pharmaceutics","volume":"17 9","pages":""},"PeriodicalIF":5.5000,"publicationDate":"2025-09-22","publicationTypes":"Journal Article","fieldsOfStudy":null,"isOpenAccess":false,"openAccessPdf":"https://www.ncbi.nlm.nih.gov/pmc/articles/PMC12473751/pdf/","citationCount":"0","resultStr":"{\"title\":\"Predictive Modeling of Drug Product Stability in Pharmaceutical Blister Packs.\",\"authors\":\"Jan Pech, Christoph Kaminski, Matthias Markus, Werner Hoheisel, Roman Heumann, Judith Winck, Markus Thommes\",\"doi\":\"10.3390/pharmaceutics17091233\",\"DOIUrl\":null,\"url\":null,\"abstract\":\"<p><p><b>Background/Objectives:</b> The principal function of pharmaceutical blister packaging is to provide protection for the drug product. Moisture is regarded as a critical factor in the physical and chemical aging of drug products. The present work proposes a modeling framework to predict the performance of tablet blister materials based on the moisture uptake profile of the drug product as well as degradation characteristics of the drug substance, while the consumption of water due to degradation is included. <b>Methods:</b> The model incorporates three kinetic superimposed processes that define moisture uptake and drug stability. The processes of permeation, sorption and degradation are each described with a rate constant. Based on a mass balance, these rate processes are interconnected and the relative humidity in the blister cavity is predicted. <b>Results:</b> In a case study, the model was applied to demonstrate the feasibility of predicting the stability of blistered tablets. By establishing a correlation between the moisture uptake of the tablet and the drug stability demonstrated in the model, it was feasible to predict the drug content over shelf life. <b>Conclusions:</b> Modeling of the drug stability of blister-packed products enables a rational packaging which offers novel possibilities for reducing material in order to avoid overpackaging of pharmaceutical products. As some of the commonly used barrier materials are considered to not be sustainable, this model can be used to consider a rationally justified reduction or even abandonment of the barrier materials.</p>\",\"PeriodicalId\":19894,\"journal\":{\"name\":\"Pharmaceutics\",\"volume\":\"17 9\",\"pages\":\"\"},\"PeriodicalIF\":5.5000,\"publicationDate\":\"2025-09-22\",\"publicationTypes\":\"Journal Article\",\"fieldsOfStudy\":null,\"isOpenAccess\":false,\"openAccessPdf\":\"https://www.ncbi.nlm.nih.gov/pmc/articles/PMC12473751/pdf/\",\"citationCount\":\"0\",\"resultStr\":null,\"platform\":\"Semanticscholar\",\"paperid\":null,\"PeriodicalName\":\"Pharmaceutics\",\"FirstCategoryId\":\"3\",\"ListUrlMain\":\"https://doi.org/10.3390/pharmaceutics17091233\",\"RegionNum\":3,\"RegionCategory\":\"医学\",\"ArticlePicture\":[],\"TitleCN\":null,\"AbstractTextCN\":null,\"PMCID\":null,\"EPubDate\":\"\",\"PubModel\":\"\",\"JCR\":\"Q1\",\"JCRName\":\"PHARMACOLOGY & PHARMACY\",\"Score\":null,\"Total\":0}","platform":"Semanticscholar","paperid":null,"PeriodicalName":"Pharmaceutics","FirstCategoryId":"3","ListUrlMain":"https://doi.org/10.3390/pharmaceutics17091233","RegionNum":3,"RegionCategory":"医学","ArticlePicture":[],"TitleCN":null,"AbstractTextCN":null,"PMCID":null,"EPubDate":"","PubModel":"","JCR":"Q1","JCRName":"PHARMACOLOGY & PHARMACY","Score":null,"Total":0}
引用次数: 0

摘要

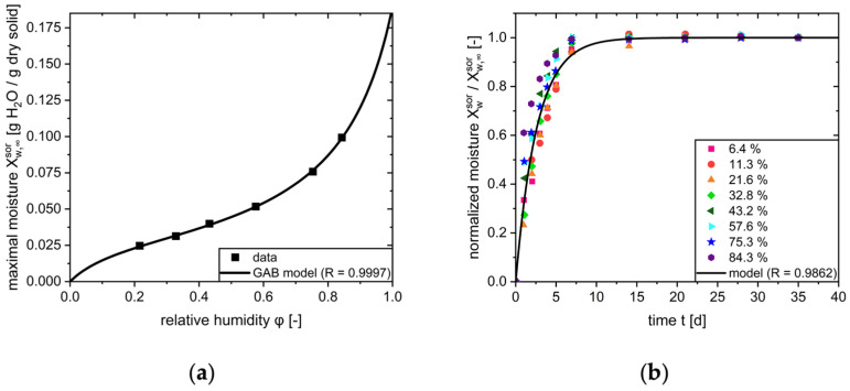
背景/目的:药品吸塑包装的主要功能是为药品提供保护。水分被认为是影响药品理化老化的关键因素。本研究提出了一个建模框架,根据药品的吸湿特性和原料药的降解特性来预测片剂吸湿材料的性能,同时包括降解所消耗的水。方法:该模型包含三个动力学叠加过程,定义吸湿性和药物稳定性。渗透、吸附和降解过程都用速率常数来描述。基于质量平衡,这些速率过程是相互关联的,并且预测了泡泡腔中的相对湿度。结果:在一个案例研究中,该模型证明了预测起泡片剂稳定性的可行性。通过在模型中建立片剂吸湿率与药物稳定性之间的相关性,可以预测保质期内的药物含量。结论:吸塑包装产品的药物稳定性建模使合理的包装为减少材料提供了新的可能性,以避免药品的过度包装。由于一些常用的屏障材料被认为是不可持续的,这个模型可以用来考虑合理地减少甚至放弃屏障材料。
本文章由计算机程序翻译,如有差异,请以英文原文为准。

Predictive Modeling of Drug Product Stability in Pharmaceutical Blister Packs.

Predictive Modeling of Drug Product Stability in Pharmaceutical Blister Packs.

Predictive Modeling of Drug Product Stability in Pharmaceutical Blister Packs.

Predictive Modeling of Drug Product Stability in Pharmaceutical Blister Packs.

Background/Objectives: The principal function of pharmaceutical blister packaging is to provide protection for the drug product. Moisture is regarded as a critical factor in the physical and chemical aging of drug products. The present work proposes a modeling framework to predict the performance of tablet blister materials based on the moisture uptake profile of the drug product as well as degradation characteristics of the drug substance, while the consumption of water due to degradation is included. Methods: The model incorporates three kinetic superimposed processes that define moisture uptake and drug stability. The processes of permeation, sorption and degradation are each described with a rate constant. Based on a mass balance, these rate processes are interconnected and the relative humidity in the blister cavity is predicted. Results: In a case study, the model was applied to demonstrate the feasibility of predicting the stability of blistered tablets. By establishing a correlation between the moisture uptake of the tablet and the drug stability demonstrated in the model, it was feasible to predict the drug content over shelf life. Conclusions: Modeling of the drug stability of blister-packed products enables a rational packaging which offers novel possibilities for reducing material in order to avoid overpackaging of pharmaceutical products. As some of the commonly used barrier materials are considered to not be sustainable, this model can be used to consider a rationally justified reduction or even abandonment of the barrier materials.

求助全文
通过发布文献求助,成功后即可免费获取论文全文。 去求助
来源期刊
Pharmaceutics
Pharmaceutics Pharmacology, Toxicology and Pharmaceutics-Pharmaceutical Science
CiteScore
7.90
自引率
11.10%
发文量
2379
审稿时长
16.41 days
期刊介绍: Pharmaceutics (ISSN 1999-4923) is an open access journal which provides an advanced forum for the science and technology of pharmaceutics and biopharmaceutics. It publishes reviews, regular research papers, communications,  and short notes. Covered topics include pharmacokinetics, toxicokinetics, pharmacodynamics, pharmacogenetics and pharmacogenomics, and pharmaceutical formulation. Our aim is to encourage scientists to publish their experimental and theoretical details in as much detail as possible. There is no restriction on the length of the papers. The full experimental details must be provided so that the results can be reproduced.
×
引用
GB/T 7714-2015
复制
MLA
复制
APA
复制
导出至
BibTeX EndNote RefMan NoteFirst NoteExpress
×
提示
您的信息不完整,为了账户安全,请先补充。
现在去补充
×
提示
您因"违规操作"
具体请查看互助需知
我知道了
×
提示
确定
请完成安全验证×
copy
已复制链接
快去分享给好友吧!
我知道了
右上角分享
点击右上角分享
0
联系我们:info@booksci.cn Book学术提供免费学术资源搜索服务,方便国内外学者检索中英文文献。致力于提供最便捷和优质的服务体验。 Copyright © 2023 布克学术 All rights reserved.
京ICP备2023020795号-1
ghs 京公网安备 11010802042870号
Book学术文献互助
Book学术文献互助群
群 号:604180095
Book学术官方微信