对Denosumab生物仿制药MB09与参考药Denosumab进行种群PK建模,建立PK相似性。

IF 5.5 3区 医学 Q1 PHARMACOLOGY & PHARMACY
Sara Sánchez-Vidaurre, Alexandra Paravisini, Javier Queiruga-Parada
{"title":"对Denosumab生物仿制药MB09与参考药Denosumab进行种群PK建模,建立PK相似性。","authors":"Sara Sánchez-Vidaurre, Alexandra Paravisini, Javier Queiruga-Parada","doi":"10.3390/pharmaceutics17091146","DOIUrl":null,"url":null,"abstract":"<p><p><b>Background/Objectives</b>: MB09 is a denosumab biosimilar to the reference products (RPs) Xgeva and Prolia. A population pharmacokinetic (popPK) meta-analysis was conducted to characterize the denosumab PK profile and to support MB09 biosimilarity. <b>Methods</b>: Pooled denosumab PK data from one phase I study [255 healthy adult men receiving a single 35 mg subcutaneous (SC) dose] and one phase III study (555 postmenopausal women with osteoporosis receiving two 60 mg SC doses, one every six months) were used. A one-compartment model with first-order absorption and elimination and parallel non-linear saturable clearance was used. Body weight was included on clearance as a structural covariate and treatment was tested as a covariate on all PK parameters. PK biosimilarity was assessed at 35 mg dose. <b>Results</b>: For a 70 kg subject, the apparent clearance and central volume of distribution for denosumab were 0.123 L/day [95% confidence interval (CI): 0.114, 0.132] and 9.33 L (95% CI: 9.11, 9.55), respectively. The Michaelis constant was 0.124 ng/mL and the maximum rate for the non-linear clearance was 0.139 ng/day. Model-based bioequivalence criteria were met for RP Xgeva, European and US-sourced, versus MB09 for a dose of 60 mg SC. The mean area under the plasma concentration curve (AUC) resultant from the simulation of MB09 120 mg SC was similar to the published mean AUC observed for Xgeva 120 mg SC every four weeks. <b>Conclusions</b>: This analysis provides a valuable assessment of denosumab PK characteristics and elucidates in more detail how the MB09 PK profile compares to the denosumab RPs, supporting the totality of evidence on MB09 biosimilarity.</p>","PeriodicalId":19894,"journal":{"name":"Pharmaceutics","volume":"17 9","pages":""},"PeriodicalIF":5.5000,"publicationDate":"2025-09-01","publicationTypes":"Journal Article","fieldsOfStudy":null,"isOpenAccess":false,"openAccessPdf":"https://www.ncbi.nlm.nih.gov/pmc/articles/PMC12473923/pdf/","citationCount":"0","resultStr":"{\"title\":\"Population PK Modeling of Denosumab Biosimilar MB09 and Reference Denosumab to Establish PK Similarity.\",\"authors\":\"Sara Sánchez-Vidaurre, Alexandra Paravisini, Javier Queiruga-Parada\",\"doi\":\"10.3390/pharmaceutics17091146\",\"DOIUrl\":null,\"url\":null,\"abstract\":\"<p><p><b>Background/Objectives</b>: MB09 is a denosumab biosimilar to the reference products (RPs) Xgeva and Prolia. A population pharmacokinetic (popPK) meta-analysis was conducted to characterize the denosumab PK profile and to support MB09 biosimilarity. <b>Methods</b>: Pooled denosumab PK data from one phase I study [255 healthy adult men receiving a single 35 mg subcutaneous (SC) dose] and one phase III study (555 postmenopausal women with osteoporosis receiving two 60 mg SC doses, one every six months) were used. A one-compartment model with first-order absorption and elimination and parallel non-linear saturable clearance was used. Body weight was included on clearance as a structural covariate and treatment was tested as a covariate on all PK parameters. PK biosimilarity was assessed at 35 mg dose. <b>Results</b>: For a 70 kg subject, the apparent clearance and central volume of distribution for denosumab were 0.123 L/day [95% confidence interval (CI): 0.114, 0.132] and 9.33 L (95% CI: 9.11, 9.55), respectively. The Michaelis constant was 0.124 ng/mL and the maximum rate for the non-linear clearance was 0.139 ng/day. Model-based bioequivalence criteria were met for RP Xgeva, European and US-sourced, versus MB09 for a dose of 60 mg SC. The mean area under the plasma concentration curve (AUC) resultant from the simulation of MB09 120 mg SC was similar to the published mean AUC observed for Xgeva 120 mg SC every four weeks. <b>Conclusions</b>: This analysis provides a valuable assessment of denosumab PK characteristics and elucidates in more detail how the MB09 PK profile compares to the denosumab RPs, supporting the totality of evidence on MB09 biosimilarity.</p>\",\"PeriodicalId\":19894,\"journal\":{\"name\":\"Pharmaceutics\",\"volume\":\"17 9\",\"pages\":\"\"},\"PeriodicalIF\":5.5000,\"publicationDate\":\"2025-09-01\",\"publicationTypes\":\"Journal Article\",\"fieldsOfStudy\":null,\"isOpenAccess\":false,\"openAccessPdf\":\"https://www.ncbi.nlm.nih.gov/pmc/articles/PMC12473923/pdf/\",\"citationCount\":\"0\",\"resultStr\":null,\"platform\":\"Semanticscholar\",\"paperid\":null,\"PeriodicalName\":\"Pharmaceutics\",\"FirstCategoryId\":\"3\",\"ListUrlMain\":\"https://doi.org/10.3390/pharmaceutics17091146\",\"RegionNum\":3,\"RegionCategory\":\"医学\",\"ArticlePicture\":[],\"TitleCN\":null,\"AbstractTextCN\":null,\"PMCID\":null,\"EPubDate\":\"\",\"PubModel\":\"\",\"JCR\":\"Q1\",\"JCRName\":\"PHARMACOLOGY & PHARMACY\",\"Score\":null,\"Total\":0}","platform":"Semanticscholar","paperid":null,"PeriodicalName":"Pharmaceutics","FirstCategoryId":"3","ListUrlMain":"https://doi.org/10.3390/pharmaceutics17091146","RegionNum":3,"RegionCategory":"医学","ArticlePicture":[],"TitleCN":null,"AbstractTextCN":null,"PMCID":null,"EPubDate":"","PubModel":"","JCR":"Q1","JCRName":"PHARMACOLOGY & PHARMACY","Score":null,"Total":0}
引用次数: 0

摘要

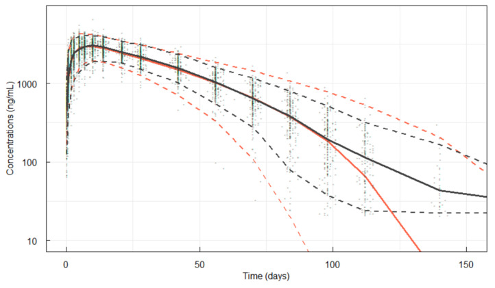
背景/目的:MB09是一种denosumab生物类似药,类似于参比产品Xgeva和Prolia。群体药代动力学(popPK)荟萃分析表征了denosumab的PK谱,并支持MB09的生物相似性。方法:汇总了来自一项I期研究(255名健康成年男性接受单次35mg皮下注射)和一项III期研究(555名绝经后骨质疏松症女性接受两次60mg皮下注射,每6个月一次)的denosumab PK数据。采用一阶吸收消除和平行非线性饱和间隙的单室模型。体重作为结构协变量包括在清除率中,治疗作为所有PK参数的协变量进行了测试。在35 mg剂量下评估PK生物相似性。结果:对于70 kg的受试者,denosumab的表观清除率和中心分布容积分别为0.123 L/天[95%可信区间(CI): 0.114, 0.132]和9.33 L (95% CI: 9.11, 9.55)。Michaelis常数为0.124 ng/mL,最大非线性清除率为0.139 ng/d。与60 mg SC剂量的MB09相比,来自欧洲和美国的RP Xgeva符合基于模型的生物等效性标准。模拟MB09 120 mg SC产生的血浆浓度曲线下的平均面积(AUC)与已发表的Xgeva 120 mg SC每四周观察到的平均AUC相似。结论:该分析提供了对denosumab PK特征的有价值的评估,并更详细地阐明了MB09 PK谱与denosumab rp的比较,支持了MB09生物相似性的总体证据。
本文章由计算机程序翻译,如有差异,请以英文原文为准。

Population PK Modeling of Denosumab Biosimilar MB09 and Reference Denosumab to Establish PK Similarity.

Population PK Modeling of Denosumab Biosimilar MB09 and Reference Denosumab to Establish PK Similarity.

Population PK Modeling of Denosumab Biosimilar MB09 and Reference Denosumab to Establish PK Similarity.

Population PK Modeling of Denosumab Biosimilar MB09 and Reference Denosumab to Establish PK Similarity.

Background/Objectives: MB09 is a denosumab biosimilar to the reference products (RPs) Xgeva and Prolia. A population pharmacokinetic (popPK) meta-analysis was conducted to characterize the denosumab PK profile and to support MB09 biosimilarity. Methods: Pooled denosumab PK data from one phase I study [255 healthy adult men receiving a single 35 mg subcutaneous (SC) dose] and one phase III study (555 postmenopausal women with osteoporosis receiving two 60 mg SC doses, one every six months) were used. A one-compartment model with first-order absorption and elimination and parallel non-linear saturable clearance was used. Body weight was included on clearance as a structural covariate and treatment was tested as a covariate on all PK parameters. PK biosimilarity was assessed at 35 mg dose. Results: For a 70 kg subject, the apparent clearance and central volume of distribution for denosumab were 0.123 L/day [95% confidence interval (CI): 0.114, 0.132] and 9.33 L (95% CI: 9.11, 9.55), respectively. The Michaelis constant was 0.124 ng/mL and the maximum rate for the non-linear clearance was 0.139 ng/day. Model-based bioequivalence criteria were met for RP Xgeva, European and US-sourced, versus MB09 for a dose of 60 mg SC. The mean area under the plasma concentration curve (AUC) resultant from the simulation of MB09 120 mg SC was similar to the published mean AUC observed for Xgeva 120 mg SC every four weeks. Conclusions: This analysis provides a valuable assessment of denosumab PK characteristics and elucidates in more detail how the MB09 PK profile compares to the denosumab RPs, supporting the totality of evidence on MB09 biosimilarity.

求助全文
通过发布文献求助,成功后即可免费获取论文全文。 去求助
来源期刊
Pharmaceutics
Pharmaceutics Pharmacology, Toxicology and Pharmaceutics-Pharmaceutical Science
CiteScore
7.90
自引率
11.10%
发文量
2379
审稿时长
16.41 days
期刊介绍: Pharmaceutics (ISSN 1999-4923) is an open access journal which provides an advanced forum for the science and technology of pharmaceutics and biopharmaceutics. It publishes reviews, regular research papers, communications,  and short notes. Covered topics include pharmacokinetics, toxicokinetics, pharmacodynamics, pharmacogenetics and pharmacogenomics, and pharmaceutical formulation. Our aim is to encourage scientists to publish their experimental and theoretical details in as much detail as possible. There is no restriction on the length of the papers. The full experimental details must be provided so that the results can be reproduced.
×
引用
GB/T 7714-2015
复制
MLA
复制
APA
复制
导出至
BibTeX EndNote RefMan NoteFirst NoteExpress
×
提示
您的信息不完整,为了账户安全,请先补充。
现在去补充
×
提示
您因"违规操作"
具体请查看互助需知
我知道了
×
提示
确定
请完成安全验证×
copy
已复制链接
快去分享给好友吧!
我知道了
右上角分享
点击右上角分享
0
联系我们:info@booksci.cn Book学术提供免费学术资源搜索服务,方便国内外学者检索中英文文献。致力于提供最便捷和优质的服务体验。 Copyright © 2023 布克学术 All rights reserved.
京ICP备2023020795号-1
ghs 京公网安备 11010802042870号
Book学术文献互助
Book学术文献互助群
群 号:604180095
Book学术官方微信