TDMQ20作为威尔森病的候选药物:与d -青霉胺、曲entine和四硫钼酸盐在体外和小鼠体内的比较

IF 5.5 3区 医学 Q1 PHARMACOLOGY & PHARMACY
Yingshan Zhu, Weiling Peng, Guangwei Liu, Longxin Li, Zikang Zhou, Michel Nguyen, Anne Robert, Yan Liu, Bernard Meunier
{"title":"TDMQ20作为威尔森病的候选药物:与d -青霉胺、曲entine和四硫钼酸盐在体外和小鼠体内的比较","authors":"Yingshan Zhu, Weiling Peng, Guangwei Liu, Longxin Li, Zikang Zhou, Michel Nguyen, Anne Robert, Yan Liu, Bernard Meunier","doi":"10.3390/pharmaceutics17091237","DOIUrl":null,"url":null,"abstract":"<p><p><b>Background/Objectives</b>: The lifelong treatment of Wilson's disease (WD) currently relies on copper chelators with relatively poor metal specificity, which frequently exhibit serious adverse effects. There is a real medical need for a specific copper chelator to regulate the copper excess efficiently, at lower doses than those used for penicillamine (DPA) or trientine (TETA), and with lower toxicity in long-term treatments. <b>Methods</b>: The efficiency of the specific Cu(II) chelator named TDMQ20 was evaluated by oral treatment of TX mice, used as a WD model, and compared with those of DPA, TETA, and also tetrathiomolybdate (bcTTM). We documented TDMQ20's ability to (i) decrease the hepatic copper load, (ii) increase the amount and ferroxidase activity of ceruloplasmin (CP), and (iii) regulate liver proteins that are impaired in WD mice. <b>Results</b>: Compared to the other copper chelators, TDMQ20 was the only one that efficiently mediated excretion of Cu and restoration of active ceruloplasmin levels at doses 8 times lower than DPA. Such efficacy is related to the design of this chelator, which specifically coordinates Cu(II) as a discrete and soluble complex. Conversely, DPA, TETA, and bcTTM give rise to various complexes with copper ions, often with oligomeric or cluster structures that can be retained in blood circulation or sequestered by proteins. <b>Conclusions</b>: Taking into consideration all the advantages of TDMQ20 compared to other ligands, including its lack of toxicity during long-term administration in mice, the drug candidate TDMQ20 appears to be a first-class challenger to the currently used treatments, i.e., DPA, TETA, and bcTTM.</p>","PeriodicalId":19894,"journal":{"name":"Pharmaceutics","volume":"17 9","pages":""},"PeriodicalIF":5.5000,"publicationDate":"2025-09-22","publicationTypes":"Journal Article","fieldsOfStudy":null,"isOpenAccess":false,"openAccessPdf":"https://www.ncbi.nlm.nih.gov/pmc/articles/PMC12473319/pdf/","citationCount":"0","resultStr":"{\"title\":\"TDMQ20 as A Drug Candidate for Wilson's Disease: Comparison with D-Penicillamine, Trientine, and Tetrathiomolybdate In Vitro and In Mice.\",\"authors\":\"Yingshan Zhu, Weiling Peng, Guangwei Liu, Longxin Li, Zikang Zhou, Michel Nguyen, Anne Robert, Yan Liu, Bernard Meunier\",\"doi\":\"10.3390/pharmaceutics17091237\",\"DOIUrl\":null,\"url\":null,\"abstract\":\"<p><p><b>Background/Objectives</b>: The lifelong treatment of Wilson's disease (WD) currently relies on copper chelators with relatively poor metal specificity, which frequently exhibit serious adverse effects. There is a real medical need for a specific copper chelator to regulate the copper excess efficiently, at lower doses than those used for penicillamine (DPA) or trientine (TETA), and with lower toxicity in long-term treatments. <b>Methods</b>: The efficiency of the specific Cu(II) chelator named TDMQ20 was evaluated by oral treatment of TX mice, used as a WD model, and compared with those of DPA, TETA, and also tetrathiomolybdate (bcTTM). We documented TDMQ20's ability to (i) decrease the hepatic copper load, (ii) increase the amount and ferroxidase activity of ceruloplasmin (CP), and (iii) regulate liver proteins that are impaired in WD mice. <b>Results</b>: Compared to the other copper chelators, TDMQ20 was the only one that efficiently mediated excretion of Cu and restoration of active ceruloplasmin levels at doses 8 times lower than DPA. Such efficacy is related to the design of this chelator, which specifically coordinates Cu(II) as a discrete and soluble complex. Conversely, DPA, TETA, and bcTTM give rise to various complexes with copper ions, often with oligomeric or cluster structures that can be retained in blood circulation or sequestered by proteins. <b>Conclusions</b>: Taking into consideration all the advantages of TDMQ20 compared to other ligands, including its lack of toxicity during long-term administration in mice, the drug candidate TDMQ20 appears to be a first-class challenger to the currently used treatments, i.e., DPA, TETA, and bcTTM.</p>\",\"PeriodicalId\":19894,\"journal\":{\"name\":\"Pharmaceutics\",\"volume\":\"17 9\",\"pages\":\"\"},\"PeriodicalIF\":5.5000,\"publicationDate\":\"2025-09-22\",\"publicationTypes\":\"Journal Article\",\"fieldsOfStudy\":null,\"isOpenAccess\":false,\"openAccessPdf\":\"https://www.ncbi.nlm.nih.gov/pmc/articles/PMC12473319/pdf/\",\"citationCount\":\"0\",\"resultStr\":null,\"platform\":\"Semanticscholar\",\"paperid\":null,\"PeriodicalName\":\"Pharmaceutics\",\"FirstCategoryId\":\"3\",\"ListUrlMain\":\"https://doi.org/10.3390/pharmaceutics17091237\",\"RegionNum\":3,\"RegionCategory\":\"医学\",\"ArticlePicture\":[],\"TitleCN\":null,\"AbstractTextCN\":null,\"PMCID\":null,\"EPubDate\":\"\",\"PubModel\":\"\",\"JCR\":\"Q1\",\"JCRName\":\"PHARMACOLOGY & PHARMACY\",\"Score\":null,\"Total\":0}","platform":"Semanticscholar","paperid":null,"PeriodicalName":"Pharmaceutics","FirstCategoryId":"3","ListUrlMain":"https://doi.org/10.3390/pharmaceutics17091237","RegionNum":3,"RegionCategory":"医学","ArticlePicture":[],"TitleCN":null,"AbstractTextCN":null,"PMCID":null,"EPubDate":"","PubModel":"","JCR":"Q1","JCRName":"PHARMACOLOGY & PHARMACY","Score":null,"Total":0}
引用次数: 0

摘要

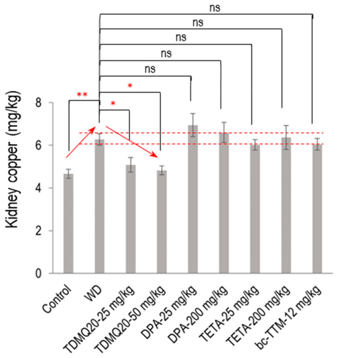
背景/目的:威尔逊病(WD)的终身治疗目前依赖于铜螯合剂,其金属特异性相对较差,经常出现严重的不良反应。医学上确实需要一种特殊的铜螯合剂,以比青霉胺(DPA)或曲entine (TETA)使用的剂量更低的剂量有效地调节铜过量,并且在长期治疗中毒性更低。方法:通过对TX小鼠口服Cu(II)螯合剂TDMQ20作为WD模型,并与DPA、TETA、四硫钼酸盐(bcTTM)的效果进行比较。我们记录了TDMQ20能够(i)降低肝铜负荷,(ii)增加铜蓝蛋白(CP)的数量和铁氧化酶活性,以及(iii)调节WD小鼠受损的肝脏蛋白。结果:与其他铜螯合剂相比,TDMQ20是唯一一种有效介导铜排泄和恢复活性铜蓝蛋白水平的铜螯合剂,剂量比DPA低8倍。这种功效与这种螯合剂的设计有关,它专门协调Cu(II)作为一个离散的和可溶的配合物。相反,DPA、TETA和bcTTM与铜离子形成各种配合物,通常具有低聚或簇状结构,可保留在血液循环中或被蛋白质隔离。结论:考虑到TDMQ20与其他配体相比的所有优势,包括其在小鼠长期给药过程中缺乏毒性,候选药物TDMQ20似乎是目前使用的治疗方法,即DPA, TETA和bcTTM的一流挑战者。
本文章由计算机程序翻译,如有差异,请以英文原文为准。

TDMQ20 as A Drug Candidate for Wilson's Disease: Comparison with D-Penicillamine, Trientine, and Tetrathiomolybdate In Vitro and In Mice.

TDMQ20 as A Drug Candidate for Wilson's Disease: Comparison with D-Penicillamine, Trientine, and Tetrathiomolybdate In Vitro and In Mice.

TDMQ20 as A Drug Candidate for Wilson's Disease: Comparison with D-Penicillamine, Trientine, and Tetrathiomolybdate In Vitro and In Mice.

TDMQ20 as A Drug Candidate for Wilson's Disease: Comparison with D-Penicillamine, Trientine, and Tetrathiomolybdate In Vitro and In Mice.

Background/Objectives: The lifelong treatment of Wilson's disease (WD) currently relies on copper chelators with relatively poor metal specificity, which frequently exhibit serious adverse effects. There is a real medical need for a specific copper chelator to regulate the copper excess efficiently, at lower doses than those used for penicillamine (DPA) or trientine (TETA), and with lower toxicity in long-term treatments. Methods: The efficiency of the specific Cu(II) chelator named TDMQ20 was evaluated by oral treatment of TX mice, used as a WD model, and compared with those of DPA, TETA, and also tetrathiomolybdate (bcTTM). We documented TDMQ20's ability to (i) decrease the hepatic copper load, (ii) increase the amount and ferroxidase activity of ceruloplasmin (CP), and (iii) regulate liver proteins that are impaired in WD mice. Results: Compared to the other copper chelators, TDMQ20 was the only one that efficiently mediated excretion of Cu and restoration of active ceruloplasmin levels at doses 8 times lower than DPA. Such efficacy is related to the design of this chelator, which specifically coordinates Cu(II) as a discrete and soluble complex. Conversely, DPA, TETA, and bcTTM give rise to various complexes with copper ions, often with oligomeric or cluster structures that can be retained in blood circulation or sequestered by proteins. Conclusions: Taking into consideration all the advantages of TDMQ20 compared to other ligands, including its lack of toxicity during long-term administration in mice, the drug candidate TDMQ20 appears to be a first-class challenger to the currently used treatments, i.e., DPA, TETA, and bcTTM.

求助全文
通过发布文献求助,成功后即可免费获取论文全文。 去求助
来源期刊
Pharmaceutics
Pharmaceutics Pharmacology, Toxicology and Pharmaceutics-Pharmaceutical Science
CiteScore
7.90
自引率
11.10%
发文量
2379
审稿时长
16.41 days
期刊介绍: Pharmaceutics (ISSN 1999-4923) is an open access journal which provides an advanced forum for the science and technology of pharmaceutics and biopharmaceutics. It publishes reviews, regular research papers, communications,  and short notes. Covered topics include pharmacokinetics, toxicokinetics, pharmacodynamics, pharmacogenetics and pharmacogenomics, and pharmaceutical formulation. Our aim is to encourage scientists to publish their experimental and theoretical details in as much detail as possible. There is no restriction on the length of the papers. The full experimental details must be provided so that the results can be reproduced.
×
引用
GB/T 7714-2015
复制
MLA
复制
APA
复制
导出至
BibTeX EndNote RefMan NoteFirst NoteExpress
×
提示
您的信息不完整,为了账户安全,请先补充。
现在去补充
×
提示
您因"违规操作"
具体请查看互助需知
我知道了
×
提示
确定
请完成安全验证×
copy
已复制链接
快去分享给好友吧!
我知道了
右上角分享
点击右上角分享
0
联系我们:info@booksci.cn Book学术提供免费学术资源搜索服务,方便国内外学者检索中英文文献。致力于提供最便捷和优质的服务体验。 Copyright © 2023 布克学术 All rights reserved.
京ICP备2023020795号-1
ghs 京公网安备 11010802042870号
Book学术文献互助
Book学术文献互助群
群 号:604180095
Book学术官方微信