氧氟沙星基于生理的综合药代动力学框架:预测肾功能损害的处置。

IF 5.5 3区 医学 Q1 PHARMACOLOGY & PHARMACY
Ammara Zamir, Muhammad Fawad Rasool, Iltaf Hussain, Sary Alsanea, Samiah A Alhabardi, Faleh Alqahtani
{"title":"氧氟沙星基于生理的综合药代动力学框架:预测肾功能损害的处置。","authors":"Ammara Zamir, Muhammad Fawad Rasool, Iltaf Hussain, Sary Alsanea, Samiah A Alhabardi, Faleh Alqahtani","doi":"10.3390/pharmaceutics17091224","DOIUrl":null,"url":null,"abstract":"<p><p><b>Background</b>: In the last several years, \"physiologically based pharmacokinetic (PBPK) modeling\" has gathered significant emphasis in the modeling of drug absorption, disposition, and metabolism. This research study aims to elaborate the plasma/serum concentration-time profiles and pharmacokinetics (PK) of ofloxacin by establishing a PBPK model in healthy subjects and those suffering from renal impairment (RI). <b>Methods</b>: A comprehensive literature analysis was conducted to screen out all the systemic PK profiles and parameters specific to ofloxacin, followed by their implementation in PK-Sim<sup>®</sup> version 12 software. This model-driven approach begins by developing the model in healthy populations using both intravenous (IV) and per-oral (PO) routes and then extrapolating it to the diseased population. The model evaluation was then strengthened for different PK variables such as the maximal plasma/serum concentration (C<sub>max</sub>), the area under the curve from 0 to t (AUC<sub>0-t</sub>), and plasma/serum clearance (CL) by employing various metrics such as predicted/observed ratios (R<sub>pre/obs</sub>), visual predictive checks, the average fold error (AFE), root mean squared error (RMSE), and mean absolute error (MAE). <b>Results</b>: The AFE, RSME, and MAE for C<sub>max</sub> in RI were 1.10, 0.22, and 0.16, respectively, which fell within the acceptable simulated error range. Furthermore, dosage adjustments for individuals with mild, moderate, and severe RI were presented by box-whisker plots to compare their systemic exposure with that of the healthy population. <b>Conclusions</b>: These model predictions have confirmed the PK variations in ofloxacin, which may assist the clinicians in optimizing dosage schedules in healthy and various categories of RI populations.</p>","PeriodicalId":19894,"journal":{"name":"Pharmaceutics","volume":"17 9","pages":""},"PeriodicalIF":5.5000,"publicationDate":"2025-09-20","publicationTypes":"Journal Article","fieldsOfStudy":null,"isOpenAccess":false,"openAccessPdf":"https://www.ncbi.nlm.nih.gov/pmc/articles/PMC12473801/pdf/","citationCount":"0","resultStr":"{\"title\":\"A Comprehensive Physiologically Based Pharmacokinetic Framework of Ofloxacin: Predicting Disposition in Renal Impairment.\",\"authors\":\"Ammara Zamir, Muhammad Fawad Rasool, Iltaf Hussain, Sary Alsanea, Samiah A Alhabardi, Faleh Alqahtani\",\"doi\":\"10.3390/pharmaceutics17091224\",\"DOIUrl\":null,\"url\":null,\"abstract\":\"<p><p><b>Background</b>: In the last several years, \\\"physiologically based pharmacokinetic (PBPK) modeling\\\" has gathered significant emphasis in the modeling of drug absorption, disposition, and metabolism. This research study aims to elaborate the plasma/serum concentration-time profiles and pharmacokinetics (PK) of ofloxacin by establishing a PBPK model in healthy subjects and those suffering from renal impairment (RI). <b>Methods</b>: A comprehensive literature analysis was conducted to screen out all the systemic PK profiles and parameters specific to ofloxacin, followed by their implementation in PK-Sim<sup>®</sup> version 12 software. This model-driven approach begins by developing the model in healthy populations using both intravenous (IV) and per-oral (PO) routes and then extrapolating it to the diseased population. The model evaluation was then strengthened for different PK variables such as the maximal plasma/serum concentration (C<sub>max</sub>), the area under the curve from 0 to t (AUC<sub>0-t</sub>), and plasma/serum clearance (CL) by employing various metrics such as predicted/observed ratios (R<sub>pre/obs</sub>), visual predictive checks, the average fold error (AFE), root mean squared error (RMSE), and mean absolute error (MAE). <b>Results</b>: The AFE, RSME, and MAE for C<sub>max</sub> in RI were 1.10, 0.22, and 0.16, respectively, which fell within the acceptable simulated error range. Furthermore, dosage adjustments for individuals with mild, moderate, and severe RI were presented by box-whisker plots to compare their systemic exposure with that of the healthy population. <b>Conclusions</b>: These model predictions have confirmed the PK variations in ofloxacin, which may assist the clinicians in optimizing dosage schedules in healthy and various categories of RI populations.</p>\",\"PeriodicalId\":19894,\"journal\":{\"name\":\"Pharmaceutics\",\"volume\":\"17 9\",\"pages\":\"\"},\"PeriodicalIF\":5.5000,\"publicationDate\":\"2025-09-20\",\"publicationTypes\":\"Journal Article\",\"fieldsOfStudy\":null,\"isOpenAccess\":false,\"openAccessPdf\":\"https://www.ncbi.nlm.nih.gov/pmc/articles/PMC12473801/pdf/\",\"citationCount\":\"0\",\"resultStr\":null,\"platform\":\"Semanticscholar\",\"paperid\":null,\"PeriodicalName\":\"Pharmaceutics\",\"FirstCategoryId\":\"3\",\"ListUrlMain\":\"https://doi.org/10.3390/pharmaceutics17091224\",\"RegionNum\":3,\"RegionCategory\":\"医学\",\"ArticlePicture\":[],\"TitleCN\":null,\"AbstractTextCN\":null,\"PMCID\":null,\"EPubDate\":\"\",\"PubModel\":\"\",\"JCR\":\"Q1\",\"JCRName\":\"PHARMACOLOGY & PHARMACY\",\"Score\":null,\"Total\":0}","platform":"Semanticscholar","paperid":null,"PeriodicalName":"Pharmaceutics","FirstCategoryId":"3","ListUrlMain":"https://doi.org/10.3390/pharmaceutics17091224","RegionNum":3,"RegionCategory":"医学","ArticlePicture":[],"TitleCN":null,"AbstractTextCN":null,"PMCID":null,"EPubDate":"","PubModel":"","JCR":"Q1","JCRName":"PHARMACOLOGY & PHARMACY","Score":null,"Total":0}
引用次数: 0

摘要

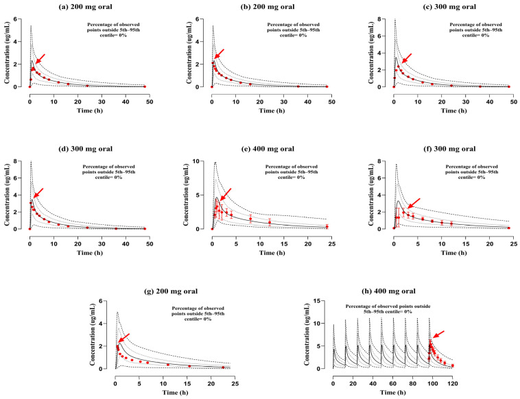
背景:在过去的几年中,“基于生理的药代动力学(PBPK)建模”在药物吸收、处置和代谢的建模中得到了显著的重视。本研究旨在通过建立健康人与肾功能损害者的血浆/血清浓度-时间曲线和药代动力学(PK)模型,阐述氧氟沙星的药代动力学(PK)。方法:通过综合文献分析,筛选出氧氟沙星的所有系统PK谱和参数,并在PK- sim®version 12软件中实施。这种模型驱动的方法首先在健康人群中使用静脉注射(IV)和口服(PO)途径开发模型,然后将其外推到患病人群。然后,通过采用预测/观察比(Rpre/obs)、视觉预测检查、平均折差(AFE)、均方根误差(RMSE)和平均绝对误差(MAE)等各种指标,对不同的PK变量(如最大血浆/血清浓度(Cmax)、从0到t的曲线下面积(AUC0-t)和血浆/血清清除率(CL))加强模型评价。结果:RI中Cmax的AFE、RSME和MAE分别为1.10、0.22和0.16,均在可接受的模拟误差范围内。此外,通过盒须图对轻度、中度和重度RI个体的剂量调整进行了比较,以比较他们与健康人群的全身暴露。结论:这些模型预测证实了氧氟沙星的PK变化,这可能有助于临床医生优化健康和各类RI人群的给药方案。
本文章由计算机程序翻译,如有差异,请以英文原文为准。

A Comprehensive Physiologically Based Pharmacokinetic Framework of Ofloxacin: Predicting Disposition in Renal Impairment.

A Comprehensive Physiologically Based Pharmacokinetic Framework of Ofloxacin: Predicting Disposition in Renal Impairment.

A Comprehensive Physiologically Based Pharmacokinetic Framework of Ofloxacin: Predicting Disposition in Renal Impairment.

A Comprehensive Physiologically Based Pharmacokinetic Framework of Ofloxacin: Predicting Disposition in Renal Impairment.

Background: In the last several years, "physiologically based pharmacokinetic (PBPK) modeling" has gathered significant emphasis in the modeling of drug absorption, disposition, and metabolism. This research study aims to elaborate the plasma/serum concentration-time profiles and pharmacokinetics (PK) of ofloxacin by establishing a PBPK model in healthy subjects and those suffering from renal impairment (RI). Methods: A comprehensive literature analysis was conducted to screen out all the systemic PK profiles and parameters specific to ofloxacin, followed by their implementation in PK-Sim® version 12 software. This model-driven approach begins by developing the model in healthy populations using both intravenous (IV) and per-oral (PO) routes and then extrapolating it to the diseased population. The model evaluation was then strengthened for different PK variables such as the maximal plasma/serum concentration (Cmax), the area under the curve from 0 to t (AUC0-t), and plasma/serum clearance (CL) by employing various metrics such as predicted/observed ratios (Rpre/obs), visual predictive checks, the average fold error (AFE), root mean squared error (RMSE), and mean absolute error (MAE). Results: The AFE, RSME, and MAE for Cmax in RI were 1.10, 0.22, and 0.16, respectively, which fell within the acceptable simulated error range. Furthermore, dosage adjustments for individuals with mild, moderate, and severe RI were presented by box-whisker plots to compare their systemic exposure with that of the healthy population. Conclusions: These model predictions have confirmed the PK variations in ofloxacin, which may assist the clinicians in optimizing dosage schedules in healthy and various categories of RI populations.

求助全文
通过发布文献求助,成功后即可免费获取论文全文。 去求助
来源期刊
Pharmaceutics
Pharmaceutics Pharmacology, Toxicology and Pharmaceutics-Pharmaceutical Science
CiteScore
7.90
自引率
11.10%
发文量
2379
审稿时长
16.41 days
期刊介绍: Pharmaceutics (ISSN 1999-4923) is an open access journal which provides an advanced forum for the science and technology of pharmaceutics and biopharmaceutics. It publishes reviews, regular research papers, communications,  and short notes. Covered topics include pharmacokinetics, toxicokinetics, pharmacodynamics, pharmacogenetics and pharmacogenomics, and pharmaceutical formulation. Our aim is to encourage scientists to publish their experimental and theoretical details in as much detail as possible. There is no restriction on the length of the papers. The full experimental details must be provided so that the results can be reproduced.
×
引用
GB/T 7714-2015
复制
MLA
复制
APA
复制
导出至
BibTeX EndNote RefMan NoteFirst NoteExpress
×
提示
您的信息不完整,为了账户安全,请先补充。
现在去补充
×
提示
您因"违规操作"
具体请查看互助需知
我知道了
×
提示
确定
请完成安全验证×
copy
已复制链接
快去分享给好友吧!
我知道了
右上角分享
点击右上角分享
0
联系我们:info@booksci.cn Book学术提供免费学术资源搜索服务,方便国内外学者检索中英文文献。致力于提供最便捷和优质的服务体验。 Copyright © 2023 布克学术 All rights reserved.
京ICP备2023020795号-1
ghs 京公网安备 11010802042870号
Book学术文献互助
Book学术文献互助群
群 号:604180095
Book学术官方微信