有机和传统饲养系统对猪肠道微生物组和抵抗组的影响。

IF 4.2 2区 生物学 Q2 MICROBIOLOGY
Judith Wedemeyer, Nele Lechleiter, Andreas Vernunft, Jessica Junker, Timo Homeier-Bachmann
{"title":"有机和传统饲养系统对猪肠道微生物组和抵抗组的影响。","authors":"Judith Wedemeyer, Nele Lechleiter, Andreas Vernunft, Jessica Junker, Timo Homeier-Bachmann","doi":"10.3390/microorganisms13092161","DOIUrl":null,"url":null,"abstract":"<p><p>The gut microbiome of pigs is important for energy supply and impacts the animals' health. Additionally, the microbiota can act as a reservoir for antimicrobial resistance genes (ARG). Different husbandry systems in pig farming can influence the microbiome and the overall composition of the resistome, i.e., the complete collection of ARG. In this study, pooled fecal samples were collected repeatedly in one pig farm over a period of two years. One group of animals was kept in organic husbandry conditions with access to an outdoor run, while the other group was kept according to conventional standards. Shotgun metagenomic sequencing was performed on the samples. Additionally, <i>E. coli</i> isolates were subjected to whole-genome sequencing and antimicrobial susceptibility testing. Significant differences were observed in alpha and beta diversity in the microbiome between the two husbandry systems. Families enriched in the organic group included <i>Prevotellaceae</i>, <i>Lachnospiraceae</i>, and <i>Cellulosilyticaceae</i>, while <i>Methanobacteriaceae</i> showed a higher abundance in the conventional group. In the resistome, the differences were smaller, and the dominant genes were the same in both groups. However, there was a significant difference in beta diversity. In addition, the overall frequency of ARG, normalized by 16S rRNA gene content, was on average higher in the organic group. Overall, the husbandry system shaped the microbiome and-albeit to a lesser extent-the resistome in pigs from the same farm.</p>","PeriodicalId":18667,"journal":{"name":"Microorganisms","volume":"13 9","pages":""},"PeriodicalIF":4.2000,"publicationDate":"2025-09-16","publicationTypes":"Journal Article","fieldsOfStudy":null,"isOpenAccess":false,"openAccessPdf":"https://www.ncbi.nlm.nih.gov/pmc/articles/PMC12472612/pdf/","citationCount":"0","resultStr":"{\"title\":\"Impact of Organic and Conventional Husbandry Systems on the Gut Microbiome and Resistome in Pigs.\",\"authors\":\"Judith Wedemeyer, Nele Lechleiter, Andreas Vernunft, Jessica Junker, Timo Homeier-Bachmann\",\"doi\":\"10.3390/microorganisms13092161\",\"DOIUrl\":null,\"url\":null,\"abstract\":\"<p><p>The gut microbiome of pigs is important for energy supply and impacts the animals' health. Additionally, the microbiota can act as a reservoir for antimicrobial resistance genes (ARG). Different husbandry systems in pig farming can influence the microbiome and the overall composition of the resistome, i.e., the complete collection of ARG. In this study, pooled fecal samples were collected repeatedly in one pig farm over a period of two years. One group of animals was kept in organic husbandry conditions with access to an outdoor run, while the other group was kept according to conventional standards. Shotgun metagenomic sequencing was performed on the samples. Additionally, <i>E. coli</i> isolates were subjected to whole-genome sequencing and antimicrobial susceptibility testing. Significant differences were observed in alpha and beta diversity in the microbiome between the two husbandry systems. Families enriched in the organic group included <i>Prevotellaceae</i>, <i>Lachnospiraceae</i>, and <i>Cellulosilyticaceae</i>, while <i>Methanobacteriaceae</i> showed a higher abundance in the conventional group. In the resistome, the differences were smaller, and the dominant genes were the same in both groups. However, there was a significant difference in beta diversity. In addition, the overall frequency of ARG, normalized by 16S rRNA gene content, was on average higher in the organic group. Overall, the husbandry system shaped the microbiome and-albeit to a lesser extent-the resistome in pigs from the same farm.</p>\",\"PeriodicalId\":18667,\"journal\":{\"name\":\"Microorganisms\",\"volume\":\"13 9\",\"pages\":\"\"},\"PeriodicalIF\":4.2000,\"publicationDate\":\"2025-09-16\",\"publicationTypes\":\"Journal Article\",\"fieldsOfStudy\":null,\"isOpenAccess\":false,\"openAccessPdf\":\"https://www.ncbi.nlm.nih.gov/pmc/articles/PMC12472612/pdf/\",\"citationCount\":\"0\",\"resultStr\":null,\"platform\":\"Semanticscholar\",\"paperid\":null,\"PeriodicalName\":\"Microorganisms\",\"FirstCategoryId\":\"99\",\"ListUrlMain\":\"https://doi.org/10.3390/microorganisms13092161\",\"RegionNum\":2,\"RegionCategory\":\"生物学\",\"ArticlePicture\":[],\"TitleCN\":null,\"AbstractTextCN\":null,\"PMCID\":null,\"EPubDate\":\"\",\"PubModel\":\"\",\"JCR\":\"Q2\",\"JCRName\":\"MICROBIOLOGY\",\"Score\":null,\"Total\":0}","platform":"Semanticscholar","paperid":null,"PeriodicalName":"Microorganisms","FirstCategoryId":"99","ListUrlMain":"https://doi.org/10.3390/microorganisms13092161","RegionNum":2,"RegionCategory":"生物学","ArticlePicture":[],"TitleCN":null,"AbstractTextCN":null,"PMCID":null,"EPubDate":"","PubModel":"","JCR":"Q2","JCRName":"MICROBIOLOGY","Score":null,"Total":0}
引用次数: 0

摘要

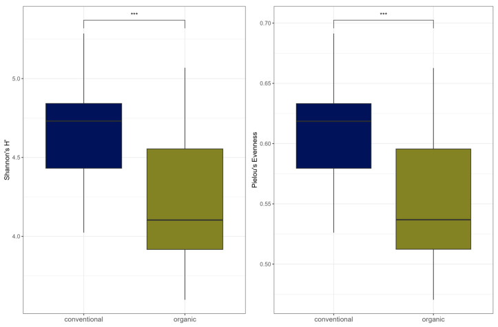
猪的肠道微生物群对能量供应和动物健康具有重要意义。此外,微生物群可以作为抗菌素耐药基因(ARG)的储存库。生猪养殖中不同的饲养制度会影响微生物组和抵抗组的整体组成,即ARG的完整收集。在这项研究中,在两年的时间里,在一个养猪场反复收集粪便样本。一组动物被饲养在有机农业条件下,可以在户外跑步,而另一组则按照传统标准饲养。对样本进行Shotgun宏基因组测序。此外,对分离的大肠杆菌进行全基因组测序和药敏试验。两种饲养体系微生物组α和β多样性差异显著。有机组富含的科包括Prevotellaceae、Lachnospiraceae和Cellulosilyticaceae,而甲烷杆菌科在常规组中丰度更高。在抗性组中,差异较小,两组的显性基因相同。然而,在β多样性方面存在显著差异。此外,按16S rRNA基因含量归一化后,有机组ARG的总体频率平均较高。总的来说,饲养系统塑造了来自同一农场的猪的微生物组和抗性组,尽管程度较小。
本文章由计算机程序翻译,如有差异,请以英文原文为准。

Impact of Organic and Conventional Husbandry Systems on the Gut Microbiome and Resistome in Pigs.

Impact of Organic and Conventional Husbandry Systems on the Gut Microbiome and Resistome in Pigs.

Impact of Organic and Conventional Husbandry Systems on the Gut Microbiome and Resistome in Pigs.

Impact of Organic and Conventional Husbandry Systems on the Gut Microbiome and Resistome in Pigs.

The gut microbiome of pigs is important for energy supply and impacts the animals' health. Additionally, the microbiota can act as a reservoir for antimicrobial resistance genes (ARG). Different husbandry systems in pig farming can influence the microbiome and the overall composition of the resistome, i.e., the complete collection of ARG. In this study, pooled fecal samples were collected repeatedly in one pig farm over a period of two years. One group of animals was kept in organic husbandry conditions with access to an outdoor run, while the other group was kept according to conventional standards. Shotgun metagenomic sequencing was performed on the samples. Additionally, E. coli isolates were subjected to whole-genome sequencing and antimicrobial susceptibility testing. Significant differences were observed in alpha and beta diversity in the microbiome between the two husbandry systems. Families enriched in the organic group included Prevotellaceae, Lachnospiraceae, and Cellulosilyticaceae, while Methanobacteriaceae showed a higher abundance in the conventional group. In the resistome, the differences were smaller, and the dominant genes were the same in both groups. However, there was a significant difference in beta diversity. In addition, the overall frequency of ARG, normalized by 16S rRNA gene content, was on average higher in the organic group. Overall, the husbandry system shaped the microbiome and-albeit to a lesser extent-the resistome in pigs from the same farm.

求助全文
通过发布文献求助,成功后即可免费获取论文全文。 去求助
来源期刊
Microorganisms
Microorganisms Medicine-Microbiology (medical)
CiteScore
7.40
自引率
6.70%
发文量
2168
审稿时长
20.03 days
期刊介绍: Microorganisms (ISSN 2076-2607) is an international, peer-reviewed open access journal which provides an advanced forum for studies related to prokaryotic and eukaryotic microorganisms, viruses and prions. It publishes reviews, research papers and communications. Our aim is to encourage scientists to publish their experimental and theoretical results in as much detail as possible. There is no restriction on the length of the papers. The full experimental details must be provided so that the results can be reproduced. Electronic files and software regarding the full details of the calculation or experimental procedure, if unable to be published in a normal way, can be deposited as supplementary electronic material.
×
引用
GB/T 7714-2015
复制
MLA
复制
APA
复制
导出至
BibTeX EndNote RefMan NoteFirst NoteExpress
×
提示
您的信息不完整,为了账户安全,请先补充。
现在去补充
×
提示
您因"违规操作"
具体请查看互助需知
我知道了
×
提示
确定
请完成安全验证×
copy
已复制链接
快去分享给好友吧!
我知道了
右上角分享
点击右上角分享
0
联系我们:info@booksci.cn Book学术提供免费学术资源搜索服务,方便国内外学者检索中英文文献。致力于提供最便捷和优质的服务体验。 Copyright © 2023 布克学术 All rights reserved.
京ICP备2023020795号-1
ghs 京公网安备 11010802042870号
Book学术文献互助
Book学术文献互助群
群 号:604180095
Book学术官方微信