基于超模波导的8-110 GHz超宽带高精度介电常数测量方法。

IF 3 3区 工程技术 Q2 CHEMISTRY, ANALYTICAL
Micromachines Pub Date : 2025-09-12 DOI:10.3390/mi16091045
Weijie Wang, Yingjian Cao, Tieyang Wang, Fangfang Song, Shuanzhu Fang, Xianfeng Tang, Xiangqiang Li, Guoxiang Shu, Guo Liu
{"title":"基于超模波导的8-110 GHz超宽带高精度介电常数测量方法。","authors":"Weijie Wang, Yingjian Cao, Tieyang Wang, Fangfang Song, Shuanzhu Fang, Xianfeng Tang, Xiangqiang Li, Guoxiang Shu, Guo Liu","doi":"10.3390/mi16091045","DOIUrl":null,"url":null,"abstract":"<p><p>An overmoded-waveguide-based kit operating in 8-110 GHz for material complex permittivity measurement is proposed and designed in this paper. It overcomes the significant errors caused by air gaps in the conventional standard waveguide method (SWM), especially for millimeter-wave frequency bands. Furthermore, it avoids the problem of SWM requiring different samples in broadband measurements. The proposed kit consists of an overmoded-waveguide sample fixture with cross dimensions of 22.86 mm × 10.16 mm, seven pairs of standard-overmoded waveguide transition structures for different frequency bands, and thru-reflect-line calibration kits. The air gap problem, a major error source in millimeter-wave measurement, is quantitatively investigated. Compared with the SWM method, the proposed kit can decrease errors from over 68% to below 8%. The proposed method was verified by measuring the polytetrafluoroethylene sample. Then, it was applied to measure the BeO-TiO<sub>2</sub> ceramic, which is widely used in vacuum devices. The measured data are valuable for applying BeO-TiO<sub>2</sub> ceramics in relevant devices and developing its dielectric relaxation model.</p>","PeriodicalId":18508,"journal":{"name":"Micromachines","volume":"16 9","pages":""},"PeriodicalIF":3.0000,"publicationDate":"2025-09-12","publicationTypes":"Journal Article","fieldsOfStudy":null,"isOpenAccess":false,"openAccessPdf":"https://www.ncbi.nlm.nih.gov/pmc/articles/PMC12471484/pdf/","citationCount":"0","resultStr":"{\"title\":\"An Overmoded-Waveguide-Based Permittivity Measurement Method with High Accuracy and Ultra-Broadband over 8-110 GHz.\",\"authors\":\"Weijie Wang, Yingjian Cao, Tieyang Wang, Fangfang Song, Shuanzhu Fang, Xianfeng Tang, Xiangqiang Li, Guoxiang Shu, Guo Liu\",\"doi\":\"10.3390/mi16091045\",\"DOIUrl\":null,\"url\":null,\"abstract\":\"<p><p>An overmoded-waveguide-based kit operating in 8-110 GHz for material complex permittivity measurement is proposed and designed in this paper. It overcomes the significant errors caused by air gaps in the conventional standard waveguide method (SWM), especially for millimeter-wave frequency bands. Furthermore, it avoids the problem of SWM requiring different samples in broadband measurements. The proposed kit consists of an overmoded-waveguide sample fixture with cross dimensions of 22.86 mm × 10.16 mm, seven pairs of standard-overmoded waveguide transition structures for different frequency bands, and thru-reflect-line calibration kits. The air gap problem, a major error source in millimeter-wave measurement, is quantitatively investigated. Compared with the SWM method, the proposed kit can decrease errors from over 68% to below 8%. The proposed method was verified by measuring the polytetrafluoroethylene sample. Then, it was applied to measure the BeO-TiO<sub>2</sub> ceramic, which is widely used in vacuum devices. The measured data are valuable for applying BeO-TiO<sub>2</sub> ceramics in relevant devices and developing its dielectric relaxation model.</p>\",\"PeriodicalId\":18508,\"journal\":{\"name\":\"Micromachines\",\"volume\":\"16 9\",\"pages\":\"\"},\"PeriodicalIF\":3.0000,\"publicationDate\":\"2025-09-12\",\"publicationTypes\":\"Journal Article\",\"fieldsOfStudy\":null,\"isOpenAccess\":false,\"openAccessPdf\":\"https://www.ncbi.nlm.nih.gov/pmc/articles/PMC12471484/pdf/\",\"citationCount\":\"0\",\"resultStr\":null,\"platform\":\"Semanticscholar\",\"paperid\":null,\"PeriodicalName\":\"Micromachines\",\"FirstCategoryId\":\"5\",\"ListUrlMain\":\"https://doi.org/10.3390/mi16091045\",\"RegionNum\":3,\"RegionCategory\":\"工程技术\",\"ArticlePicture\":[],\"TitleCN\":null,\"AbstractTextCN\":null,\"PMCID\":null,\"EPubDate\":\"\",\"PubModel\":\"\",\"JCR\":\"Q2\",\"JCRName\":\"CHEMISTRY, ANALYTICAL\",\"Score\":null,\"Total\":0}","platform":"Semanticscholar","paperid":null,"PeriodicalName":"Micromachines","FirstCategoryId":"5","ListUrlMain":"https://doi.org/10.3390/mi16091045","RegionNum":3,"RegionCategory":"工程技术","ArticlePicture":[],"TitleCN":null,"AbstractTextCN":null,"PMCID":null,"EPubDate":"","PubModel":"","JCR":"Q2","JCRName":"CHEMISTRY, ANALYTICAL","Score":null,"Total":0}
引用次数: 0

摘要

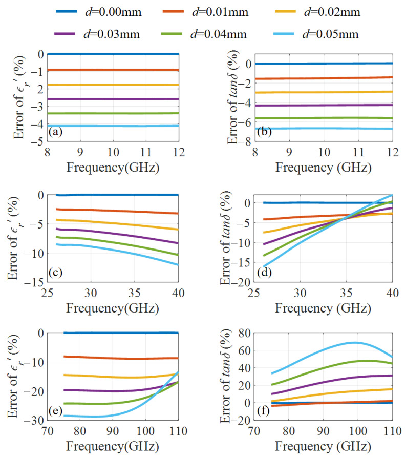
提出并设计了一种工作频率为8-110 GHz的超模波导复合介电常数测量装置。它克服了传统标准波导方法(SWM)中由于气隙引起的显著误差,特别是在毫米波频段。此外,它还避免了SWM在宽带测量中需要不同样本的问题。该套件包括一个横向尺寸为22.86 mm × 10.16 mm的过模波导样品夹具、7对不同频段的标准过模波导过渡结构以及通反射线校准套件。对毫米波测量中的主要误差源气隙问题进行了定量研究。与SWM方法相比,该试剂盒可将误差从68%以上降低到8%以下。通过对聚四氟乙烯样品的测定,验证了该方法的有效性。然后,将其应用于真空器件中广泛应用的BeO-TiO2陶瓷的测量。这些测量数据对于BeO-TiO2陶瓷在相关器件中的应用以及建立其介电弛豫模型具有重要的参考价值。
本文章由计算机程序翻译,如有差异,请以英文原文为准。

An Overmoded-Waveguide-Based Permittivity Measurement Method with High Accuracy and Ultra-Broadband over 8-110 GHz.

An Overmoded-Waveguide-Based Permittivity Measurement Method with High Accuracy and Ultra-Broadband over 8-110 GHz.

An Overmoded-Waveguide-Based Permittivity Measurement Method with High Accuracy and Ultra-Broadband over 8-110 GHz.

An Overmoded-Waveguide-Based Permittivity Measurement Method with High Accuracy and Ultra-Broadband over 8-110 GHz.

An overmoded-waveguide-based kit operating in 8-110 GHz for material complex permittivity measurement is proposed and designed in this paper. It overcomes the significant errors caused by air gaps in the conventional standard waveguide method (SWM), especially for millimeter-wave frequency bands. Furthermore, it avoids the problem of SWM requiring different samples in broadband measurements. The proposed kit consists of an overmoded-waveguide sample fixture with cross dimensions of 22.86 mm × 10.16 mm, seven pairs of standard-overmoded waveguide transition structures for different frequency bands, and thru-reflect-line calibration kits. The air gap problem, a major error source in millimeter-wave measurement, is quantitatively investigated. Compared with the SWM method, the proposed kit can decrease errors from over 68% to below 8%. The proposed method was verified by measuring the polytetrafluoroethylene sample. Then, it was applied to measure the BeO-TiO2 ceramic, which is widely used in vacuum devices. The measured data are valuable for applying BeO-TiO2 ceramics in relevant devices and developing its dielectric relaxation model.

求助全文
通过发布文献求助,成功后即可免费获取论文全文。 去求助
来源期刊
Micromachines
Micromachines NANOSCIENCE & NANOTECHNOLOGY-INSTRUMENTS & INSTRUMENTATION
CiteScore
5.20
自引率
14.70%
发文量
1862
审稿时长
16.31 days
期刊介绍: Micromachines (ISSN 2072-666X) is an international, peer-reviewed open access journal which provides an advanced forum for studies related to micro-scaled machines and micromachinery. It publishes reviews, regular research papers and short communications. Our aim is to encourage scientists to publish their experimental and theoretical results in as much detail as possible. There is no restriction on the length of the papers. The full experimental details must be provided so that the results can be reproduced.
×
引用
GB/T 7714-2015
复制
MLA
复制
APA
复制
导出至
BibTeX EndNote RefMan NoteFirst NoteExpress
×
提示
您的信息不完整,为了账户安全,请先补充。
现在去补充
×
提示
您因"违规操作"
具体请查看互助需知
我知道了
×
提示
确定
请完成安全验证×
copy
已复制链接
快去分享给好友吧!
我知道了
右上角分享
点击右上角分享
0
联系我们:info@booksci.cn Book学术提供免费学术资源搜索服务,方便国内外学者检索中英文文献。致力于提供最便捷和优质的服务体验。 Copyright © 2023 布克学术 All rights reserved.
京ICP备2023020795号-1
ghs 京公网安备 11010802042870号
Book学术文献互助
Book学术文献互助群
群 号:604180095
Book学术官方微信