接触型摩擦纳米发电机瞬态过程研究。

IF 3 3区 工程技术 Q2 CHEMISTRY, ANALYTICAL
Micromachines Pub Date : 2025-09-22 DOI:10.3390/mi16091070
Shengyao Zhang, Hongchun Luo, Ru Zhang, Shun Ye, Haoyu Wei, Zhiqiang Zeng, Futi Liu, Guiyu Zhou
{"title":"接触型摩擦纳米发电机瞬态过程研究。","authors":"Shengyao Zhang, Hongchun Luo, Ru Zhang, Shun Ye, Haoyu Wei, Zhiqiang Zeng, Futi Liu, Guiyu Zhou","doi":"10.3390/mi16091070","DOIUrl":null,"url":null,"abstract":"<p><p>In the research of triboelectric nanogenerators (TENGs), most attention has been paid to material modification, structural design, and power management. Little study has been performed on the transient process of TENGs, although the capacitance characteristics of TENGs are well known. In this work, the transient process of contact-mode TENGs was studied by the infinite-plate model and verified by experimental tests. The results showed that TENGs exhibited a much higher output in the transient process than that in the steady state. Within the transient process, the transfer charge gradually grew to a maximum value, while the output current and power decreased. A formula to calculate the duration of the transient process was derived by Fourier expansion. This work also demonstrated an interesting transformation process of the <i>Q</i>-<i>V</i> curve in the transient process. Furthermore, the transient phenomenon was verified clearly in a contact-mode TENG sample fabricated by copper and polytetrafluoroethylene (PTFE) films through experimental tests. These results are useful for performance optimization of TENGs in applications.</p>","PeriodicalId":18508,"journal":{"name":"Micromachines","volume":"16 9","pages":""},"PeriodicalIF":3.0000,"publicationDate":"2025-09-22","publicationTypes":"Journal Article","fieldsOfStudy":null,"isOpenAccess":false,"openAccessPdf":"https://www.ncbi.nlm.nih.gov/pmc/articles/PMC12472149/pdf/","citationCount":"0","resultStr":"{\"title\":\"A Study on the Transient Process of Contact-Mode Triboelectric Nanogenerators.\",\"authors\":\"Shengyao Zhang, Hongchun Luo, Ru Zhang, Shun Ye, Haoyu Wei, Zhiqiang Zeng, Futi Liu, Guiyu Zhou\",\"doi\":\"10.3390/mi16091070\",\"DOIUrl\":null,\"url\":null,\"abstract\":\"<p><p>In the research of triboelectric nanogenerators (TENGs), most attention has been paid to material modification, structural design, and power management. Little study has been performed on the transient process of TENGs, although the capacitance characteristics of TENGs are well known. In this work, the transient process of contact-mode TENGs was studied by the infinite-plate model and verified by experimental tests. The results showed that TENGs exhibited a much higher output in the transient process than that in the steady state. Within the transient process, the transfer charge gradually grew to a maximum value, while the output current and power decreased. A formula to calculate the duration of the transient process was derived by Fourier expansion. This work also demonstrated an interesting transformation process of the <i>Q</i>-<i>V</i> curve in the transient process. Furthermore, the transient phenomenon was verified clearly in a contact-mode TENG sample fabricated by copper and polytetrafluoroethylene (PTFE) films through experimental tests. These results are useful for performance optimization of TENGs in applications.</p>\",\"PeriodicalId\":18508,\"journal\":{\"name\":\"Micromachines\",\"volume\":\"16 9\",\"pages\":\"\"},\"PeriodicalIF\":3.0000,\"publicationDate\":\"2025-09-22\",\"publicationTypes\":\"Journal Article\",\"fieldsOfStudy\":null,\"isOpenAccess\":false,\"openAccessPdf\":\"https://www.ncbi.nlm.nih.gov/pmc/articles/PMC12472149/pdf/\",\"citationCount\":\"0\",\"resultStr\":null,\"platform\":\"Semanticscholar\",\"paperid\":null,\"PeriodicalName\":\"Micromachines\",\"FirstCategoryId\":\"5\",\"ListUrlMain\":\"https://doi.org/10.3390/mi16091070\",\"RegionNum\":3,\"RegionCategory\":\"工程技术\",\"ArticlePicture\":[],\"TitleCN\":null,\"AbstractTextCN\":null,\"PMCID\":null,\"EPubDate\":\"\",\"PubModel\":\"\",\"JCR\":\"Q2\",\"JCRName\":\"CHEMISTRY, ANALYTICAL\",\"Score\":null,\"Total\":0}","platform":"Semanticscholar","paperid":null,"PeriodicalName":"Micromachines","FirstCategoryId":"5","ListUrlMain":"https://doi.org/10.3390/mi16091070","RegionNum":3,"RegionCategory":"工程技术","ArticlePicture":[],"TitleCN":null,"AbstractTextCN":null,"PMCID":null,"EPubDate":"","PubModel":"","JCR":"Q2","JCRName":"CHEMISTRY, ANALYTICAL","Score":null,"Total":0}
引用次数: 0

摘要

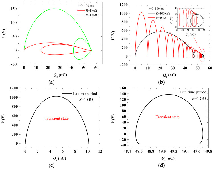
摩擦纳米发电机的研究主要集中在材料改性、结构设计和电源管理等方面。虽然对其电容特性的研究是众所周知的,但对其瞬态过程的研究却很少。本文采用无限大板模型研究了接触型teng的瞬态过程,并进行了实验验证。结果表明,在瞬态过程中,TENGs的输出比稳态过程中要高得多。在瞬态过程中,转移电荷逐渐增大到最大值,输出电流和功率逐渐减小。用傅里叶展开法推导了瞬态过程持续时间的计算公式。本工作还展示了瞬态过程中Q-V曲线的有趣变换过程。此外,通过实验测试,在铜和聚四氟乙烯(PTFE)薄膜制备的接触型TENG样品中,清楚地验证了瞬态现象。这些结果对应用程序中TENGs的性能优化很有帮助。
本文章由计算机程序翻译,如有差异,请以英文原文为准。

A Study on the Transient Process of Contact-Mode Triboelectric Nanogenerators.

A Study on the Transient Process of Contact-Mode Triboelectric Nanogenerators.

A Study on the Transient Process of Contact-Mode Triboelectric Nanogenerators.

A Study on the Transient Process of Contact-Mode Triboelectric Nanogenerators.

In the research of triboelectric nanogenerators (TENGs), most attention has been paid to material modification, structural design, and power management. Little study has been performed on the transient process of TENGs, although the capacitance characteristics of TENGs are well known. In this work, the transient process of contact-mode TENGs was studied by the infinite-plate model and verified by experimental tests. The results showed that TENGs exhibited a much higher output in the transient process than that in the steady state. Within the transient process, the transfer charge gradually grew to a maximum value, while the output current and power decreased. A formula to calculate the duration of the transient process was derived by Fourier expansion. This work also demonstrated an interesting transformation process of the Q-V curve in the transient process. Furthermore, the transient phenomenon was verified clearly in a contact-mode TENG sample fabricated by copper and polytetrafluoroethylene (PTFE) films through experimental tests. These results are useful for performance optimization of TENGs in applications.

求助全文
通过发布文献求助,成功后即可免费获取论文全文。 去求助
来源期刊
Micromachines
Micromachines NANOSCIENCE & NANOTECHNOLOGY-INSTRUMENTS & INSTRUMENTATION
CiteScore
5.20
自引率
14.70%
发文量
1862
审稿时长
16.31 days
期刊介绍: Micromachines (ISSN 2072-666X) is an international, peer-reviewed open access journal which provides an advanced forum for studies related to micro-scaled machines and micromachinery. It publishes reviews, regular research papers and short communications. Our aim is to encourage scientists to publish their experimental and theoretical results in as much detail as possible. There is no restriction on the length of the papers. The full experimental details must be provided so that the results can be reproduced.
×
引用
GB/T 7714-2015
复制
MLA
复制
APA
复制
导出至
BibTeX EndNote RefMan NoteFirst NoteExpress
×
提示
您的信息不完整,为了账户安全,请先补充。
现在去补充
×
提示
您因"违规操作"
具体请查看互助需知
我知道了
×
提示
确定
请完成安全验证×
copy
已复制链接
快去分享给好友吧!
我知道了
右上角分享
点击右上角分享
0
联系我们:info@booksci.cn Book学术提供免费学术资源搜索服务,方便国内外学者检索中英文文献。致力于提供最便捷和优质的服务体验。 Copyright © 2023 布克学术 All rights reserved.
京ICP备2023020795号-1
ghs 京公网安备 11010802042870号
Book学术文献互助
Book学术文献互助群
群 号:604180095
Book学术官方微信