不同施肥方式对茶叶品质指标含量及香气特征形成的影响。

IF 5.1 2区 农林科学 Q1 FOOD SCIENCE & TECHNOLOGY
Foods Pub Date : 2025-09-13 DOI:10.3390/foods14183194
Qi Zhang, Songhan Guo, Yulin Wang, Yangxin Luo, Yankun Liao, Xiaoli Jia, Bitong Zhu, Jianghua Ye, Haibin Wang
{"title":"不同施肥方式对茶叶品质指标含量及香气特征形成的影响。","authors":"Qi Zhang, Songhan Guo, Yulin Wang, Yangxin Luo, Yankun Liao, Xiaoli Jia, Bitong Zhu, Jianghua Ye, Haibin Wang","doi":"10.3390/foods14183194","DOIUrl":null,"url":null,"abstract":"<p><p>Fertilization is a necessary measure in the cultivation and management of the tea bush, and the use of different fertilizers significantly affects the quality of tea leaves. In this study, 100% chemical fertilizer (CF), 100% organic fertilizer (OF), and 50% chemical fertilizer + 50% organic fertilizer (COF) were used to analyze the effects of different fertilizer treatments on the quality indices and volatile component compositions of tea leaves. The results showed that COF treatment significantly increased the content of water extract, tea polyphenols, theanine, free amino acids, and soluble sugar, but decreased the content of total flavonoids and caffeine, indicating that COF treatment has an advantage in improving the overall quality of tea leaves. Analysis of volatile components showed that different fertilizer treatments significantly affected the content of eleven characteristic metabolites in tea bush leaves, of which four characteristic metabolites were most abundant under CF treatment, eight under OF treatment, and only one under COF treatment. The odor characteristics and their intensity analyses showed that the 11 characteristic volatile components mainly exhibited three types of odor characteristics, such as woody, green, and floral, of which OF treatment enhanced woody and green intensities, while CF treatment enhanced floral intensity. Taken together, different fertilizer treatments could regulate the quality indices and volatile components of tea leaves, while the use of chemical fertilizers or organic fertilizers alone was conducive to enhancing the intensity of individual special odor characteristics in tea leaves. Overall, the combination of chemical fertilizers and organic fertilizers was more conducive to the improvement of tea quality. This study provides a theoretical basis for optimizing the fertilization strategy of tea bushes to improve tea quality.</p>","PeriodicalId":12386,"journal":{"name":"Foods","volume":"14 18","pages":""},"PeriodicalIF":5.1000,"publicationDate":"2025-09-13","publicationTypes":"Journal Article","fieldsOfStudy":null,"isOpenAccess":false,"openAccessPdf":"https://www.ncbi.nlm.nih.gov/pmc/articles/PMC12469374/pdf/","citationCount":"0","resultStr":"{\"title\":\"Effects of Different Fertilization Patterns on the Content of Quality Indices and the Formation of Aroma Characteristics of Tea Leaves.\",\"authors\":\"Qi Zhang, Songhan Guo, Yulin Wang, Yangxin Luo, Yankun Liao, Xiaoli Jia, Bitong Zhu, Jianghua Ye, Haibin Wang\",\"doi\":\"10.3390/foods14183194\",\"DOIUrl\":null,\"url\":null,\"abstract\":\"<p><p>Fertilization is a necessary measure in the cultivation and management of the tea bush, and the use of different fertilizers significantly affects the quality of tea leaves. In this study, 100% chemical fertilizer (CF), 100% organic fertilizer (OF), and 50% chemical fertilizer + 50% organic fertilizer (COF) were used to analyze the effects of different fertilizer treatments on the quality indices and volatile component compositions of tea leaves. The results showed that COF treatment significantly increased the content of water extract, tea polyphenols, theanine, free amino acids, and soluble sugar, but decreased the content of total flavonoids and caffeine, indicating that COF treatment has an advantage in improving the overall quality of tea leaves. Analysis of volatile components showed that different fertilizer treatments significantly affected the content of eleven characteristic metabolites in tea bush leaves, of which four characteristic metabolites were most abundant under CF treatment, eight under OF treatment, and only one under COF treatment. The odor characteristics and their intensity analyses showed that the 11 characteristic volatile components mainly exhibited three types of odor characteristics, such as woody, green, and floral, of which OF treatment enhanced woody and green intensities, while CF treatment enhanced floral intensity. Taken together, different fertilizer treatments could regulate the quality indices and volatile components of tea leaves, while the use of chemical fertilizers or organic fertilizers alone was conducive to enhancing the intensity of individual special odor characteristics in tea leaves. Overall, the combination of chemical fertilizers and organic fertilizers was more conducive to the improvement of tea quality. This study provides a theoretical basis for optimizing the fertilization strategy of tea bushes to improve tea quality.</p>\",\"PeriodicalId\":12386,\"journal\":{\"name\":\"Foods\",\"volume\":\"14 18\",\"pages\":\"\"},\"PeriodicalIF\":5.1000,\"publicationDate\":\"2025-09-13\",\"publicationTypes\":\"Journal Article\",\"fieldsOfStudy\":null,\"isOpenAccess\":false,\"openAccessPdf\":\"https://www.ncbi.nlm.nih.gov/pmc/articles/PMC12469374/pdf/\",\"citationCount\":\"0\",\"resultStr\":null,\"platform\":\"Semanticscholar\",\"paperid\":null,\"PeriodicalName\":\"Foods\",\"FirstCategoryId\":\"97\",\"ListUrlMain\":\"https://doi.org/10.3390/foods14183194\",\"RegionNum\":2,\"RegionCategory\":\"农林科学\",\"ArticlePicture\":[],\"TitleCN\":null,\"AbstractTextCN\":null,\"PMCID\":null,\"EPubDate\":\"\",\"PubModel\":\"\",\"JCR\":\"Q1\",\"JCRName\":\"FOOD SCIENCE & TECHNOLOGY\",\"Score\":null,\"Total\":0}","platform":"Semanticscholar","paperid":null,"PeriodicalName":"Foods","FirstCategoryId":"97","ListUrlMain":"https://doi.org/10.3390/foods14183194","RegionNum":2,"RegionCategory":"农林科学","ArticlePicture":[],"TitleCN":null,"AbstractTextCN":null,"PMCID":null,"EPubDate":"","PubModel":"","JCR":"Q1","JCRName":"FOOD SCIENCE & TECHNOLOGY","Score":null,"Total":0}
引用次数: 0

摘要

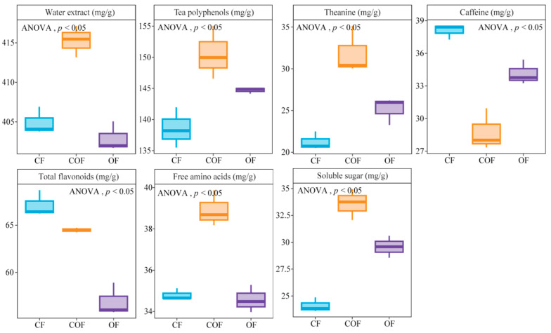
施肥是茶树栽培管理中的一项必要措施,不同肥料的使用对茶叶品质影响显著。采用100%化肥(CF)、100%有机肥(OF)和50%化肥+ 50%有机肥(COF),分析了不同施肥处理对茶叶品质指标和挥发性成分的影响。结果表明,COF处理显著提高了水提取物、茶多酚、茶氨酸、游离氨基酸和可溶性糖的含量,但降低了总黄酮和咖啡因的含量,表明COF处理在提高茶叶整体品质方面具有优势。挥发性成分分析表明,不同施肥处理显著影响茶树叶片11种特征代谢物的含量,其中CF处理最多,of处理最多,8种,COF处理最多。气味特征及其强度分析表明,11种特征挥发性成分主要表现为木质、绿色和花香3种类型的气味特征,其中of of处理增强了木质和绿色的气味强度,而CF处理增强了花的气味强度。综上所述,不同的施肥处理可以调节茶叶的品质指标和挥发性成分,而单独施用化肥或有机肥有利于增强茶叶中个别特殊气味特征的强度。总体而言,化肥与有机肥配合施用更有利于茶叶品质的提高。本研究为优化茶树施肥策略,提高茶叶品质提供了理论依据。
本文章由计算机程序翻译,如有差异,请以英文原文为准。

Effects of Different Fertilization Patterns on the Content of Quality Indices and the Formation of Aroma Characteristics of Tea Leaves.

Effects of Different Fertilization Patterns on the Content of Quality Indices and the Formation of Aroma Characteristics of Tea Leaves.

Effects of Different Fertilization Patterns on the Content of Quality Indices and the Formation of Aroma Characteristics of Tea Leaves.

Effects of Different Fertilization Patterns on the Content of Quality Indices and the Formation of Aroma Characteristics of Tea Leaves.

Fertilization is a necessary measure in the cultivation and management of the tea bush, and the use of different fertilizers significantly affects the quality of tea leaves. In this study, 100% chemical fertilizer (CF), 100% organic fertilizer (OF), and 50% chemical fertilizer + 50% organic fertilizer (COF) were used to analyze the effects of different fertilizer treatments on the quality indices and volatile component compositions of tea leaves. The results showed that COF treatment significantly increased the content of water extract, tea polyphenols, theanine, free amino acids, and soluble sugar, but decreased the content of total flavonoids and caffeine, indicating that COF treatment has an advantage in improving the overall quality of tea leaves. Analysis of volatile components showed that different fertilizer treatments significantly affected the content of eleven characteristic metabolites in tea bush leaves, of which four characteristic metabolites were most abundant under CF treatment, eight under OF treatment, and only one under COF treatment. The odor characteristics and their intensity analyses showed that the 11 characteristic volatile components mainly exhibited three types of odor characteristics, such as woody, green, and floral, of which OF treatment enhanced woody and green intensities, while CF treatment enhanced floral intensity. Taken together, different fertilizer treatments could regulate the quality indices and volatile components of tea leaves, while the use of chemical fertilizers or organic fertilizers alone was conducive to enhancing the intensity of individual special odor characteristics in tea leaves. Overall, the combination of chemical fertilizers and organic fertilizers was more conducive to the improvement of tea quality. This study provides a theoretical basis for optimizing the fertilization strategy of tea bushes to improve tea quality.

求助全文
通过发布文献求助,成功后即可免费获取论文全文。 去求助
来源期刊
Foods
Foods Immunology and Microbiology-Microbiology
CiteScore
7.40
自引率
15.40%
发文量
3516
审稿时长
15.83 days
期刊介绍: Foods (ISSN 2304-8158) is an international, peer-reviewed scientific open access journal which provides an advanced forum for studies related to all aspects of food research. It publishes reviews, regular research papers and short communications. Our aim is to encourage scientists, researchers, and other food professionals to publish their experimental and theoretical results in as much detail as possible or share their knowledge with as much readers unlimitedly as possible. There is no restriction on the length of the papers. The full experimental details must be provided so that the results can be reproduced. There are, in addition, unique features of this journal: Ÿ manuscripts regarding research proposals and research ideas will be particularly welcomed Ÿ electronic files or software regarding the full details of the calculation and experimental procedure, if unable to be published in a normal way, can be deposited as supplementary material Ÿ we also accept manuscripts communicating to a broader audience with regard to research projects financed with public funds
×
引用
GB/T 7714-2015
复制
MLA
复制
APA
复制
导出至
BibTeX EndNote RefMan NoteFirst NoteExpress
×
提示
您的信息不完整,为了账户安全,请先补充。
现在去补充
×
提示
您因"违规操作"
具体请查看互助需知
我知道了
×
提示
确定
请完成安全验证×
copy
已复制链接
快去分享给好友吧!
我知道了
右上角分享
点击右上角分享
0
联系我们:info@booksci.cn Book学术提供免费学术资源搜索服务,方便国内外学者检索中英文文献。致力于提供最便捷和优质的服务体验。 Copyright © 2023 布克学术 All rights reserved.
京ICP备2023020795号-1
ghs 京公网安备 11010802042870号
Book学术文献互助
Book学术文献互助群
群 号:604180095
Book学术官方微信