硒强化对甘蓝生长性能及营养成分的影响

IF 5.1 2区 农林科学 Q1 FOOD SCIENCE & TECHNOLOGY
Foods Pub Date : 2025-09-22 DOI:10.3390/foods14183283
Xiu-Ying Zeng, Han Liao, Le-Cheng Shen, Qi Zou, Ting-Ting Lv, Mei Wang, Xiao-Yin Wang
{"title":"硒强化对甘蓝生长性能及营养成分的影响","authors":"Xiu-Ying Zeng, Han Liao, Le-Cheng Shen, Qi Zou, Ting-Ting Lv, Mei Wang, Xiao-Yin Wang","doi":"10.3390/foods14183283","DOIUrl":null,"url":null,"abstract":"<p><p>This study aims to investigate the effects of selenium (Se) fortification on growth performance and the Se content in kale using Se fertilizer, and it determines the influences of Se fortification on the metabolic profile of kale using quasi-targeted metabolomics. The results showed that Se fortification increased the plant height and leaf weight of kale, up-regulated the total Se content and decreased the chlorophyll and total phenolic contents in kale leaf. Se fortification elevated selenate (Se(IV)), selenite (Se(VI)), selenocystine (SeCys<sub>2</sub>), Se-methylselenocysteine (Se-MeSeCys) and selenomethionine (SeMet) contents, as well as total contents of Se in different forms in kale leaf. Se fortification also changed the metabolic profile of kale leaf, via six particular types of compounds (amino acid and its derivatives; organic acid and its derivatives; carbohydrates and its derivatives; lipids; flavonoids; organoheterocyclic compounds) and eight metabolic pathways (alanine, aspartate and glutamate metabolism; amino sugar and nucleotide sugar metabolism; sulfur metabolism; starch and sucrose metabolism; taurine and hypotaurine metabolism; glycolysis/gluconeogenesis; fructose and mannose metabolism; nitrogen metabolism). Moreover, 24 metabolic biomarkers were screened for kale leaf affected by Se fortification. Furthermore, correlations were observed between metabolic biomarkers and Se contents as well as speciation. These results indicate that Se fortification has a significant influence on the growth performance and nutritional compounds of kale, providing references for the future study on the production and bioactivity of Se-enriched kale.</p>","PeriodicalId":12386,"journal":{"name":"Foods","volume":"14 18","pages":""},"PeriodicalIF":5.1000,"publicationDate":"2025-09-22","publicationTypes":"Journal Article","fieldsOfStudy":null,"isOpenAccess":false,"openAccessPdf":"https://www.ncbi.nlm.nih.gov/pmc/articles/PMC12469545/pdf/","citationCount":"0","resultStr":"{\"title\":\"Effect of Selenium Fortification on Growth Performance and Nutritional Compounds of Kale (<i>Brassica oleracea</i> L. Var. <i>acephala</i> DC.).\",\"authors\":\"Xiu-Ying Zeng, Han Liao, Le-Cheng Shen, Qi Zou, Ting-Ting Lv, Mei Wang, Xiao-Yin Wang\",\"doi\":\"10.3390/foods14183283\",\"DOIUrl\":null,\"url\":null,\"abstract\":\"<p><p>This study aims to investigate the effects of selenium (Se) fortification on growth performance and the Se content in kale using Se fertilizer, and it determines the influences of Se fortification on the metabolic profile of kale using quasi-targeted metabolomics. The results showed that Se fortification increased the plant height and leaf weight of kale, up-regulated the total Se content and decreased the chlorophyll and total phenolic contents in kale leaf. Se fortification elevated selenate (Se(IV)), selenite (Se(VI)), selenocystine (SeCys<sub>2</sub>), Se-methylselenocysteine (Se-MeSeCys) and selenomethionine (SeMet) contents, as well as total contents of Se in different forms in kale leaf. Se fortification also changed the metabolic profile of kale leaf, via six particular types of compounds (amino acid and its derivatives; organic acid and its derivatives; carbohydrates and its derivatives; lipids; flavonoids; organoheterocyclic compounds) and eight metabolic pathways (alanine, aspartate and glutamate metabolism; amino sugar and nucleotide sugar metabolism; sulfur metabolism; starch and sucrose metabolism; taurine and hypotaurine metabolism; glycolysis/gluconeogenesis; fructose and mannose metabolism; nitrogen metabolism). Moreover, 24 metabolic biomarkers were screened for kale leaf affected by Se fortification. Furthermore, correlations were observed between metabolic biomarkers and Se contents as well as speciation. These results indicate that Se fortification has a significant influence on the growth performance and nutritional compounds of kale, providing references for the future study on the production and bioactivity of Se-enriched kale.</p>\",\"PeriodicalId\":12386,\"journal\":{\"name\":\"Foods\",\"volume\":\"14 18\",\"pages\":\"\"},\"PeriodicalIF\":5.1000,\"publicationDate\":\"2025-09-22\",\"publicationTypes\":\"Journal Article\",\"fieldsOfStudy\":null,\"isOpenAccess\":false,\"openAccessPdf\":\"https://www.ncbi.nlm.nih.gov/pmc/articles/PMC12469545/pdf/\",\"citationCount\":\"0\",\"resultStr\":null,\"platform\":\"Semanticscholar\",\"paperid\":null,\"PeriodicalName\":\"Foods\",\"FirstCategoryId\":\"97\",\"ListUrlMain\":\"https://doi.org/10.3390/foods14183283\",\"RegionNum\":2,\"RegionCategory\":\"农林科学\",\"ArticlePicture\":[],\"TitleCN\":null,\"AbstractTextCN\":null,\"PMCID\":null,\"EPubDate\":\"\",\"PubModel\":\"\",\"JCR\":\"Q1\",\"JCRName\":\"FOOD SCIENCE & TECHNOLOGY\",\"Score\":null,\"Total\":0}","platform":"Semanticscholar","paperid":null,"PeriodicalName":"Foods","FirstCategoryId":"97","ListUrlMain":"https://doi.org/10.3390/foods14183283","RegionNum":2,"RegionCategory":"农林科学","ArticlePicture":[],"TitleCN":null,"AbstractTextCN":null,"PMCID":null,"EPubDate":"","PubModel":"","JCR":"Q1","JCRName":"FOOD SCIENCE & TECHNOLOGY","Score":null,"Total":0}
引用次数: 0

摘要

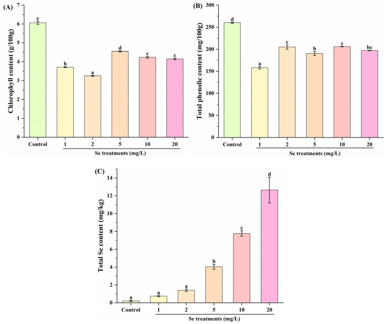
本研究旨在研究硒(Se)强化对施用硒肥羽衣甘蓝生长性能和硒含量的影响,并利用准靶向代谢组学方法确定硒强化对羽衣甘蓝代谢谱的影响。结果表明:强化硒处理提高了羽衣甘蓝的株高和叶重,提高了羽衣甘蓝叶片中总硒含量,降低了叶绿素和总酚含量;硒强化提高了羽衣甘蓝叶片中硒酸盐(Se(IV))、亚硒酸盐(Se(VI))、硒半胱氨酸(SeCys2)、硒甲基硒半胱氨酸(Se- mesecys)和硒代蛋氨酸(SeMet)的含量以及不同形态硒的总含量。硒强化还通过6种特定类型的化合物(氨基酸及其衍生物、有机酸及其衍生物、碳水化合物及其衍生物、脂类、黄酮类化合物、有机杂环化合物)和8种代谢途径(丙氨酸、天冬氨酸和谷氨酸代谢、氨基糖和核苷酸糖代谢、硫代谢、淀粉和蔗糖代谢、牛磺酸和次牛磺酸代谢、糖酵解/糖异生、糖代谢和糖代谢)改变了羽衣甘蓝叶片的代谢谱。果糖和甘露糖代谢;氮代谢)。此外,筛选了24个硒强化对羽衣甘蓝叶片代谢的影响。此外,代谢生物标志物与硒含量和物种形成之间存在相关性。上述结果表明,补硒对羽衣甘蓝的生长性能和营养成分有显著影响,为进一步研究富硒羽衣甘蓝的产量和生物活性提供了参考。
本文章由计算机程序翻译,如有差异,请以英文原文为准。

Effect of Selenium Fortification on Growth Performance and Nutritional Compounds of Kale (<i>Brassica oleracea</i> L. Var. <i>acephala</i> DC.).

Effect of Selenium Fortification on Growth Performance and Nutritional Compounds of Kale (<i>Brassica oleracea</i> L. Var. <i>acephala</i> DC.).

Effect of Selenium Fortification on Growth Performance and Nutritional Compounds of Kale (<i>Brassica oleracea</i> L. Var. <i>acephala</i> DC.).

Effect of Selenium Fortification on Growth Performance and Nutritional Compounds of Kale (Brassica oleracea L. Var. acephala DC.).

This study aims to investigate the effects of selenium (Se) fortification on growth performance and the Se content in kale using Se fertilizer, and it determines the influences of Se fortification on the metabolic profile of kale using quasi-targeted metabolomics. The results showed that Se fortification increased the plant height and leaf weight of kale, up-regulated the total Se content and decreased the chlorophyll and total phenolic contents in kale leaf. Se fortification elevated selenate (Se(IV)), selenite (Se(VI)), selenocystine (SeCys2), Se-methylselenocysteine (Se-MeSeCys) and selenomethionine (SeMet) contents, as well as total contents of Se in different forms in kale leaf. Se fortification also changed the metabolic profile of kale leaf, via six particular types of compounds (amino acid and its derivatives; organic acid and its derivatives; carbohydrates and its derivatives; lipids; flavonoids; organoheterocyclic compounds) and eight metabolic pathways (alanine, aspartate and glutamate metabolism; amino sugar and nucleotide sugar metabolism; sulfur metabolism; starch and sucrose metabolism; taurine and hypotaurine metabolism; glycolysis/gluconeogenesis; fructose and mannose metabolism; nitrogen metabolism). Moreover, 24 metabolic biomarkers were screened for kale leaf affected by Se fortification. Furthermore, correlations were observed between metabolic biomarkers and Se contents as well as speciation. These results indicate that Se fortification has a significant influence on the growth performance and nutritional compounds of kale, providing references for the future study on the production and bioactivity of Se-enriched kale.

求助全文
通过发布文献求助,成功后即可免费获取论文全文。 去求助
来源期刊
Foods
Foods Immunology and Microbiology-Microbiology
CiteScore
7.40
自引率
15.40%
发文量
3516
审稿时长
15.83 days
期刊介绍: Foods (ISSN 2304-8158) is an international, peer-reviewed scientific open access journal which provides an advanced forum for studies related to all aspects of food research. It publishes reviews, regular research papers and short communications. Our aim is to encourage scientists, researchers, and other food professionals to publish their experimental and theoretical results in as much detail as possible or share their knowledge with as much readers unlimitedly as possible. There is no restriction on the length of the papers. The full experimental details must be provided so that the results can be reproduced. There are, in addition, unique features of this journal: Ÿ manuscripts regarding research proposals and research ideas will be particularly welcomed Ÿ electronic files or software regarding the full details of the calculation and experimental procedure, if unable to be published in a normal way, can be deposited as supplementary material Ÿ we also accept manuscripts communicating to a broader audience with regard to research projects financed with public funds
×
引用
GB/T 7714-2015
复制
MLA
复制
APA
复制
导出至
BibTeX EndNote RefMan NoteFirst NoteExpress
×
提示
您的信息不完整,为了账户安全,请先补充。
现在去补充
×
提示
您因"违规操作"
具体请查看互助需知
我知道了
×
提示
确定
请完成安全验证×
copy
已复制链接
快去分享给好友吧!
我知道了
右上角分享
点击右上角分享
0
联系我们:info@booksci.cn Book学术提供免费学术资源搜索服务,方便国内外学者检索中英文文献。致力于提供最便捷和优质的服务体验。 Copyright © 2023 布克学术 All rights reserved.
京ICP备2023020795号-1
ghs 京公网安备 11010802042870号
Book学术文献互助
Book学术文献互助群
群 号:604180095
Book学术官方微信