超声预处理和酶浓度对猪肺水解产物口感和生物活性的影响。

IF 5.1 2区 农林科学 Q1 FOOD SCIENCE & TECHNOLOGY
Foods Pub Date : 2025-09-18 DOI:10.3390/foods14183243
Manuel Ignacio López-Martínez, Fidel Toldrá, Sandra Morcillo-Martínez, Leticia Mora
{"title":"超声预处理和酶浓度对猪肺水解产物口感和生物活性的影响。","authors":"Manuel Ignacio López-Martínez, Fidel Toldrá, Sandra Morcillo-Martínez, Leticia Mora","doi":"10.3390/foods14183243","DOIUrl":null,"url":null,"abstract":"<p><p>The revalorization of porcine meat by-products is necessary to reduce their environmental and economic impact. Porcine lungs are usually discarded or used for low-value purposes despite their richness in collagen, elastin, or phospholipids. Enzymatic hydrolysis, in combination with ultrasound pretreatment, improves the generation of hydrolyzates with biological and taste-enhancing properties. The main objective of this study was to evaluate the impact of ultrasound pretreatment and enzyme concentration in the development of functional and taste-rich porcine lung hydrolyzates. Ultrasound pretreatments significantly increased the degree of hydrolysis and the antioxidant activity in 1:100 Enzyme: Substrate (E/S) ratio hydrolyzates. On the other hand, the combination of 1:20 E/S concentration with ultrasound pretreatment significantly increased the umami free amino acids content and Equivalent Umami Concentration (EUC), being the last one comparable with other umami-rich foods and ingredients. In silico predictions showed that the use of ultrasound pretreatment enhances the percentage of potential bioactive peptides according to PeptideRanker, whereas the bioinformatics tools UMPred-FRL and BERT4Bitter showed more umami peptides than bitter in all the hydrolyzates. These results suggest the combination of ultrasound pretreatment with 1:20 E/S can be a good strategy to revalorize porcine lung by producing hydrolyzates that could be used as a functional ingredient.</p>","PeriodicalId":12386,"journal":{"name":"Foods","volume":"14 18","pages":""},"PeriodicalIF":5.1000,"publicationDate":"2025-09-18","publicationTypes":"Journal Article","fieldsOfStudy":null,"isOpenAccess":false,"openAccessPdf":"https://www.ncbi.nlm.nih.gov/pmc/articles/PMC12469255/pdf/","citationCount":"0","resultStr":"{\"title\":\"Impact of Ultrasound Pretreatment and Enzyme Concentration on Taste and Biological Activities of Porcine Lung Hydrolyzates.\",\"authors\":\"Manuel Ignacio López-Martínez, Fidel Toldrá, Sandra Morcillo-Martínez, Leticia Mora\",\"doi\":\"10.3390/foods14183243\",\"DOIUrl\":null,\"url\":null,\"abstract\":\"<p><p>The revalorization of porcine meat by-products is necessary to reduce their environmental and economic impact. Porcine lungs are usually discarded or used for low-value purposes despite their richness in collagen, elastin, or phospholipids. Enzymatic hydrolysis, in combination with ultrasound pretreatment, improves the generation of hydrolyzates with biological and taste-enhancing properties. The main objective of this study was to evaluate the impact of ultrasound pretreatment and enzyme concentration in the development of functional and taste-rich porcine lung hydrolyzates. Ultrasound pretreatments significantly increased the degree of hydrolysis and the antioxidant activity in 1:100 Enzyme: Substrate (E/S) ratio hydrolyzates. On the other hand, the combination of 1:20 E/S concentration with ultrasound pretreatment significantly increased the umami free amino acids content and Equivalent Umami Concentration (EUC), being the last one comparable with other umami-rich foods and ingredients. In silico predictions showed that the use of ultrasound pretreatment enhances the percentage of potential bioactive peptides according to PeptideRanker, whereas the bioinformatics tools UMPred-FRL and BERT4Bitter showed more umami peptides than bitter in all the hydrolyzates. These results suggest the combination of ultrasound pretreatment with 1:20 E/S can be a good strategy to revalorize porcine lung by producing hydrolyzates that could be used as a functional ingredient.</p>\",\"PeriodicalId\":12386,\"journal\":{\"name\":\"Foods\",\"volume\":\"14 18\",\"pages\":\"\"},\"PeriodicalIF\":5.1000,\"publicationDate\":\"2025-09-18\",\"publicationTypes\":\"Journal Article\",\"fieldsOfStudy\":null,\"isOpenAccess\":false,\"openAccessPdf\":\"https://www.ncbi.nlm.nih.gov/pmc/articles/PMC12469255/pdf/\",\"citationCount\":\"0\",\"resultStr\":null,\"platform\":\"Semanticscholar\",\"paperid\":null,\"PeriodicalName\":\"Foods\",\"FirstCategoryId\":\"97\",\"ListUrlMain\":\"https://doi.org/10.3390/foods14183243\",\"RegionNum\":2,\"RegionCategory\":\"农林科学\",\"ArticlePicture\":[],\"TitleCN\":null,\"AbstractTextCN\":null,\"PMCID\":null,\"EPubDate\":\"\",\"PubModel\":\"\",\"JCR\":\"Q1\",\"JCRName\":\"FOOD SCIENCE & TECHNOLOGY\",\"Score\":null,\"Total\":0}","platform":"Semanticscholar","paperid":null,"PeriodicalName":"Foods","FirstCategoryId":"97","ListUrlMain":"https://doi.org/10.3390/foods14183243","RegionNum":2,"RegionCategory":"农林科学","ArticlePicture":[],"TitleCN":null,"AbstractTextCN":null,"PMCID":null,"EPubDate":"","PubModel":"","JCR":"Q1","JCRName":"FOOD SCIENCE & TECHNOLOGY","Score":null,"Total":0}
引用次数: 0

摘要

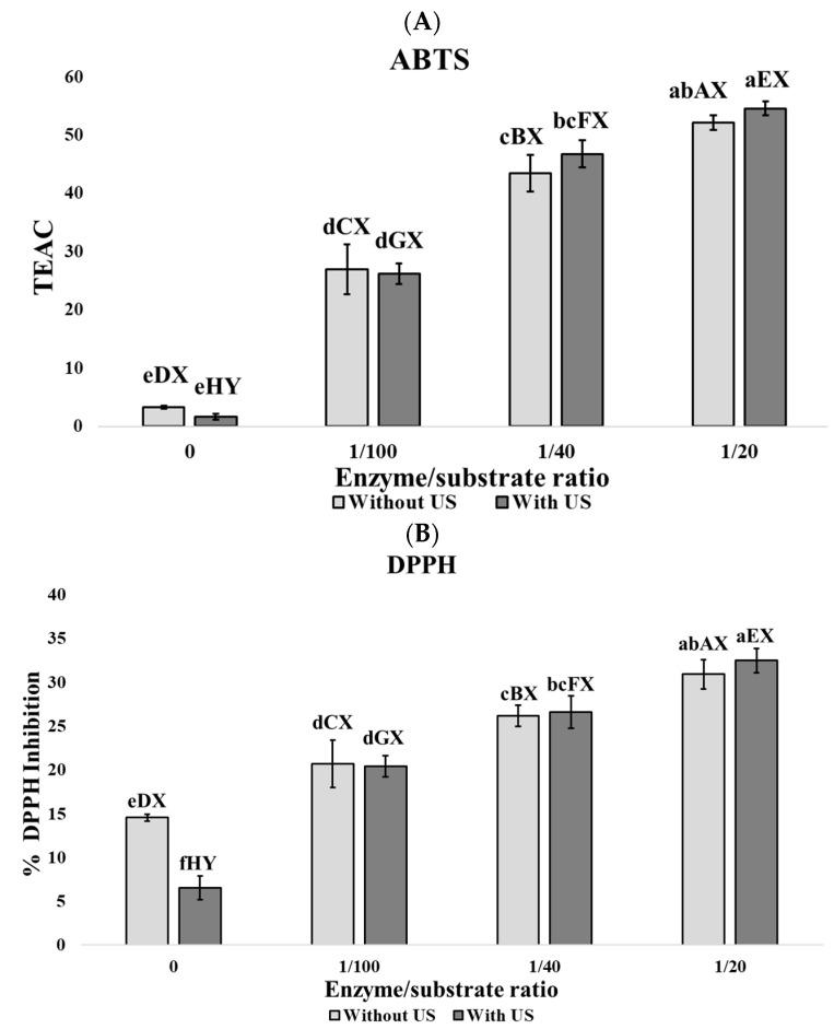
猪肉副产品的重新估价是必要的,以减少其对环境和经济的影响。尽管猪肺富含胶原蛋白、弹性蛋白或磷脂,但它们通常被丢弃或用于低价值目的。酶解与超声预处理相结合,提高了水解产物的产生,具有生物和增强风味的特性。本研究的主要目的是评价超声预处理和酶浓度对开发功能和味道丰富的猪肺水解产物的影响。超声预处理显著提高了1:100酶底物比水解产物的水解程度和抗氧化活性。另一方面,1:20 E/S浓度与超声预处理的组合显著提高了鲜味游离氨基酸含量和等效鲜味浓度(EUC),是其他富鲜味食品和配料中最不具可比性的。根据PeptideRanker,计算机预测表明,超声波预处理的使用提高了潜在生物活性肽的百分比,而生物信息学工具UMPred-FRL和BERT4Bitter显示,所有水解产物中鲜味肽多于苦味肽。上述结果表明,超声预处理与1:20 E/S联合使用可产生可作为功能成分的水解产物,从而使猪肺重获价值。
本文章由计算机程序翻译,如有差异,请以英文原文为准。

Impact of Ultrasound Pretreatment and Enzyme Concentration on Taste and Biological Activities of Porcine Lung Hydrolyzates.

Impact of Ultrasound Pretreatment and Enzyme Concentration on Taste and Biological Activities of Porcine Lung Hydrolyzates.

Impact of Ultrasound Pretreatment and Enzyme Concentration on Taste and Biological Activities of Porcine Lung Hydrolyzates.

The revalorization of porcine meat by-products is necessary to reduce their environmental and economic impact. Porcine lungs are usually discarded or used for low-value purposes despite their richness in collagen, elastin, or phospholipids. Enzymatic hydrolysis, in combination with ultrasound pretreatment, improves the generation of hydrolyzates with biological and taste-enhancing properties. The main objective of this study was to evaluate the impact of ultrasound pretreatment and enzyme concentration in the development of functional and taste-rich porcine lung hydrolyzates. Ultrasound pretreatments significantly increased the degree of hydrolysis and the antioxidant activity in 1:100 Enzyme: Substrate (E/S) ratio hydrolyzates. On the other hand, the combination of 1:20 E/S concentration with ultrasound pretreatment significantly increased the umami free amino acids content and Equivalent Umami Concentration (EUC), being the last one comparable with other umami-rich foods and ingredients. In silico predictions showed that the use of ultrasound pretreatment enhances the percentage of potential bioactive peptides according to PeptideRanker, whereas the bioinformatics tools UMPred-FRL and BERT4Bitter showed more umami peptides than bitter in all the hydrolyzates. These results suggest the combination of ultrasound pretreatment with 1:20 E/S can be a good strategy to revalorize porcine lung by producing hydrolyzates that could be used as a functional ingredient.

求助全文
通过发布文献求助,成功后即可免费获取论文全文。 去求助
来源期刊
Foods
Foods Immunology and Microbiology-Microbiology
CiteScore
7.40
自引率
15.40%
发文量
3516
审稿时长
15.83 days
期刊介绍: Foods (ISSN 2304-8158) is an international, peer-reviewed scientific open access journal which provides an advanced forum for studies related to all aspects of food research. It publishes reviews, regular research papers and short communications. Our aim is to encourage scientists, researchers, and other food professionals to publish their experimental and theoretical results in as much detail as possible or share their knowledge with as much readers unlimitedly as possible. There is no restriction on the length of the papers. The full experimental details must be provided so that the results can be reproduced. There are, in addition, unique features of this journal: Ÿ manuscripts regarding research proposals and research ideas will be particularly welcomed Ÿ electronic files or software regarding the full details of the calculation and experimental procedure, if unable to be published in a normal way, can be deposited as supplementary material Ÿ we also accept manuscripts communicating to a broader audience with regard to research projects financed with public funds
×
引用
GB/T 7714-2015
复制
MLA
复制
APA
复制
导出至
BibTeX EndNote RefMan NoteFirst NoteExpress
×
提示
您的信息不完整,为了账户安全,请先补充。
现在去补充
×
提示
您因"违规操作"
具体请查看互助需知
我知道了
×
提示
确定
请完成安全验证×
copy
已复制链接
快去分享给好友吧!
我知道了
右上角分享
点击右上角分享
0
联系我们:info@booksci.cn Book学术提供免费学术资源搜索服务,方便国内外学者检索中英文文献。致力于提供最便捷和优质的服务体验。 Copyright © 2023 布克学术 All rights reserved.
京ICP备2023020795号-1
ghs 京公网安备 11010802042870号
Book学术文献互助
Book学术文献互助群
群 号:604180095
Book学术官方微信