STRATCANS标准在MUSIC前列腺癌主动监测队列中的应用:迈向风险分层主动监测的一步。

IF 4.4 2区 医学 Q1 ONCOLOGY
Cancers Pub Date : 2025-09-17 DOI:10.3390/cancers17183032
Ana M Moser, Michael Wang, Ava Zamani, Sabir Meah, Stephanie Daignault-Newton, Corinne Labardee, Nicholas Dybas, Jacob Clapper, Brian R Lane, Tudor Borza, Alice Semerjian, Vincent J Gnanapragasam, Kevin B Ginsburg
{"title":"STRATCANS标准在MUSIC前列腺癌主动监测队列中的应用:迈向风险分层主动监测的一步。","authors":"Ana M Moser, Michael Wang, Ava Zamani, Sabir Meah, Stephanie Daignault-Newton, Corinne Labardee, Nicholas Dybas, Jacob Clapper, Brian R Lane, Tudor Borza, Alice Semerjian, Vincent J Gnanapragasam, Kevin B Ginsburg","doi":"10.3390/cancers17183032","DOIUrl":null,"url":null,"abstract":"<p><strong>Background: </strong>The STRATified CANcer Surveillance (STRATCANS) model risk-stratifies patients with prostate cancer (PC) on active surveillance (AS) into three tiers based on their risk of disease progression. We applied STRATCANS to the Michigan Urological Surgery Improvement Collaborative (MUSIC) Prostate registry to assess its association with the risk of biopsy upgrading and time to definitive treatment in a diverse, real-world AS cohort.</p><p><strong>Methods: </strong>We retrospectively reviewed the MUSIC registry for PC patients on AS from 2016 to 2022 and classified patients by STRATCANS tier. Primary outcomes included biopsy upgrading to ≥Grade Group 3 (≥GG3), any biopsy upgrading, and time to definitive treatment.</p><p><strong>Results: </strong>Among 7578 men on AS, 4009, 2732, and 837 patients were in STRATCANS 1, 2, and 3, respectively. The risk of progression to ≥GG3 was 13%, 33%, and 53% for patients in STRATCANS 1, 2, and 3, respectively (<i>p</i> < 0.001). The rate of any biopsy upgrading was approximately 50% at 3 years across all STRATCANS tiers. STRATCANS tiers were also significantly associated with time to definitive treatment, with 16%, 28%, and 35% of men in STRATCANS 1, 2, and 3, respectively, receiving definitive treatment by 36 months. Limitations include confounding inherent to retrospective registry studies, a short 60-month follow-up period, and variability in biopsy method with no centralized pathology and radiology review.</p><p><strong>Conclusions: </strong>STRATCANS has a stepwise association with the risk of progression to ≥GG3 disease and time to definitive treatment among men on AS in the MUSIC cohort, supporting its use as a risk-based, follow-up approach in men on AS.</p>","PeriodicalId":9681,"journal":{"name":"Cancers","volume":"17 18","pages":""},"PeriodicalIF":4.4000,"publicationDate":"2025-09-17","publicationTypes":"Journal Article","fieldsOfStudy":null,"isOpenAccess":false,"openAccessPdf":"https://www.ncbi.nlm.nih.gov/pmc/articles/PMC12468819/pdf/","citationCount":"0","resultStr":"{\"title\":\"Application of the STRATCANS Criteria to the MUSIC Prostate Cancer Active Surveillance Cohort: A Step Towards Risk-Stratified Active Surveillance.\",\"authors\":\"Ana M Moser, Michael Wang, Ava Zamani, Sabir Meah, Stephanie Daignault-Newton, Corinne Labardee, Nicholas Dybas, Jacob Clapper, Brian R Lane, Tudor Borza, Alice Semerjian, Vincent J Gnanapragasam, Kevin B Ginsburg\",\"doi\":\"10.3390/cancers17183032\",\"DOIUrl\":null,\"url\":null,\"abstract\":\"<p><strong>Background: </strong>The STRATified CANcer Surveillance (STRATCANS) model risk-stratifies patients with prostate cancer (PC) on active surveillance (AS) into three tiers based on their risk of disease progression. We applied STRATCANS to the Michigan Urological Surgery Improvement Collaborative (MUSIC) Prostate registry to assess its association with the risk of biopsy upgrading and time to definitive treatment in a diverse, real-world AS cohort.</p><p><strong>Methods: </strong>We retrospectively reviewed the MUSIC registry for PC patients on AS from 2016 to 2022 and classified patients by STRATCANS tier. Primary outcomes included biopsy upgrading to ≥Grade Group 3 (≥GG3), any biopsy upgrading, and time to definitive treatment.</p><p><strong>Results: </strong>Among 7578 men on AS, 4009, 2732, and 837 patients were in STRATCANS 1, 2, and 3, respectively. The risk of progression to ≥GG3 was 13%, 33%, and 53% for patients in STRATCANS 1, 2, and 3, respectively (<i>p</i> < 0.001). The rate of any biopsy upgrading was approximately 50% at 3 years across all STRATCANS tiers. STRATCANS tiers were also significantly associated with time to definitive treatment, with 16%, 28%, and 35% of men in STRATCANS 1, 2, and 3, respectively, receiving definitive treatment by 36 months. Limitations include confounding inherent to retrospective registry studies, a short 60-month follow-up period, and variability in biopsy method with no centralized pathology and radiology review.</p><p><strong>Conclusions: </strong>STRATCANS has a stepwise association with the risk of progression to ≥GG3 disease and time to definitive treatment among men on AS in the MUSIC cohort, supporting its use as a risk-based, follow-up approach in men on AS.</p>\",\"PeriodicalId\":9681,\"journal\":{\"name\":\"Cancers\",\"volume\":\"17 18\",\"pages\":\"\"},\"PeriodicalIF\":4.4000,\"publicationDate\":\"2025-09-17\",\"publicationTypes\":\"Journal Article\",\"fieldsOfStudy\":null,\"isOpenAccess\":false,\"openAccessPdf\":\"https://www.ncbi.nlm.nih.gov/pmc/articles/PMC12468819/pdf/\",\"citationCount\":\"0\",\"resultStr\":null,\"platform\":\"Semanticscholar\",\"paperid\":null,\"PeriodicalName\":\"Cancers\",\"FirstCategoryId\":\"3\",\"ListUrlMain\":\"https://doi.org/10.3390/cancers17183032\",\"RegionNum\":2,\"RegionCategory\":\"医学\",\"ArticlePicture\":[],\"TitleCN\":null,\"AbstractTextCN\":null,\"PMCID\":null,\"EPubDate\":\"\",\"PubModel\":\"\",\"JCR\":\"Q1\",\"JCRName\":\"ONCOLOGY\",\"Score\":null,\"Total\":0}","platform":"Semanticscholar","paperid":null,"PeriodicalName":"Cancers","FirstCategoryId":"3","ListUrlMain":"https://doi.org/10.3390/cancers17183032","RegionNum":2,"RegionCategory":"医学","ArticlePicture":[],"TitleCN":null,"AbstractTextCN":null,"PMCID":null,"EPubDate":"","PubModel":"","JCR":"Q1","JCRName":"ONCOLOGY","Score":null,"Total":0}
引用次数: 0

摘要

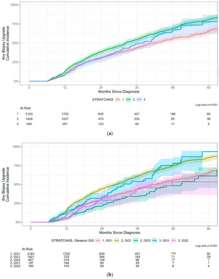
背景:分层癌症监测(STRATCANS)模型将主动监测(AS)的前列腺癌(PC)患者根据其疾病进展风险分为三个级别。我们将STRATCANS应用于密歇根泌尿外科改进协作(MUSIC)前列腺登记处,以评估其与多种真实AS队列中活检升级风险和最终治疗时间的关系。方法:我们回顾性地回顾了2016年至2022年接受AS治疗的PC患者的MUSIC登记,并按STRATCANS分级对患者进行了分类。主要结局包括活组织检查升级到≥3级组(≥GG3),任何活组织检查升级,以及最终治疗的时间。结果:在7578名患有AS的男性中,分别有4009名、2732名和837名患者参加了STRATCANS 1、2和3。STRATCANS 1、2和3组患者进展到≥GG3的风险分别为13%、33%和53% (p < 0.001)。在所有STRATCANS分级中,3年活检升级率约为50%。STRATCANS分级也与最终治疗时间显著相关,STRATCANS 1、2和3组中分别有16%、28%和35%的男性在36个月前接受了最终治疗。局限性包括回顾性登记研究固有的混淆,60个月的短随访期,活检方法的可变性,没有集中的病理和放射学检查。结论:STRATCANS与MUSIC队列中AS男性进展为≥GG3疾病的风险和最终治疗的时间呈逐步相关,支持其作为基于风险的随访方法在AS男性中使用。
本文章由计算机程序翻译,如有差异,请以英文原文为准。

Application of the STRATCANS Criteria to the MUSIC Prostate Cancer Active Surveillance Cohort: A Step Towards Risk-Stratified Active Surveillance.

Application of the STRATCANS Criteria to the MUSIC Prostate Cancer Active Surveillance Cohort: A Step Towards Risk-Stratified Active Surveillance.

Application of the STRATCANS Criteria to the MUSIC Prostate Cancer Active Surveillance Cohort: A Step Towards Risk-Stratified Active Surveillance.

Application of the STRATCANS Criteria to the MUSIC Prostate Cancer Active Surveillance Cohort: A Step Towards Risk-Stratified Active Surveillance.

Background: The STRATified CANcer Surveillance (STRATCANS) model risk-stratifies patients with prostate cancer (PC) on active surveillance (AS) into three tiers based on their risk of disease progression. We applied STRATCANS to the Michigan Urological Surgery Improvement Collaborative (MUSIC) Prostate registry to assess its association with the risk of biopsy upgrading and time to definitive treatment in a diverse, real-world AS cohort.

Methods: We retrospectively reviewed the MUSIC registry for PC patients on AS from 2016 to 2022 and classified patients by STRATCANS tier. Primary outcomes included biopsy upgrading to ≥Grade Group 3 (≥GG3), any biopsy upgrading, and time to definitive treatment.

Results: Among 7578 men on AS, 4009, 2732, and 837 patients were in STRATCANS 1, 2, and 3, respectively. The risk of progression to ≥GG3 was 13%, 33%, and 53% for patients in STRATCANS 1, 2, and 3, respectively (p < 0.001). The rate of any biopsy upgrading was approximately 50% at 3 years across all STRATCANS tiers. STRATCANS tiers were also significantly associated with time to definitive treatment, with 16%, 28%, and 35% of men in STRATCANS 1, 2, and 3, respectively, receiving definitive treatment by 36 months. Limitations include confounding inherent to retrospective registry studies, a short 60-month follow-up period, and variability in biopsy method with no centralized pathology and radiology review.

Conclusions: STRATCANS has a stepwise association with the risk of progression to ≥GG3 disease and time to definitive treatment among men on AS in the MUSIC cohort, supporting its use as a risk-based, follow-up approach in men on AS.

求助全文
通过发布文献求助,成功后即可免费获取论文全文。 去求助
来源期刊
Cancers
Cancers Medicine-Oncology
CiteScore
8.00
自引率
9.60%
发文量
5371
审稿时长
18.07 days
期刊介绍: Cancers (ISSN 2072-6694) is an international, peer-reviewed open access journal on oncology. It publishes reviews, regular research papers and short communications. Our aim is to encourage scientists to publish their experimental and theoretical results in as much detail as possible. There is no restriction on the length of the papers. The full experimental details must be provided so that the results can be reproduced.
×
引用
GB/T 7714-2015
复制
MLA
复制
APA
复制
导出至
BibTeX EndNote RefMan NoteFirst NoteExpress
×
提示
您的信息不完整,为了账户安全,请先补充。
现在去补充
×
提示
您因"违规操作"
具体请查看互助需知
我知道了
×
提示
确定
请完成安全验证×
copy
已复制链接
快去分享给好友吧!
我知道了
右上角分享
点击右上角分享
0
联系我们:info@booksci.cn Book学术提供免费学术资源搜索服务,方便国内外学者检索中英文文献。致力于提供最便捷和优质的服务体验。 Copyright © 2023 布克学术 All rights reserved.
京ICP备2023020795号-1
ghs 京公网安备 11010802042870号
Book学术文献互助
Book学术文献互助群
群 号:604180095
Book学术官方微信