锌治疗轻度认知障碍:ZINCAiD试验中药效学反应患者的认知稳定。

IF 4.8 2区 生物学 Q1 BIOCHEMISTRY & MOLECULAR BIOLOGY
Biomolecules Pub Date : 2025-09-01 DOI:10.3390/biom15091268
Rosanna Squitti, Alberto Benussi, Silvia Fostinelli, Andrea Geviti, Jasmine Rivolta, Mariacarla Ventriglia, Alessandra Micera, Mauro Rongioletti, Roberta Ghidoni, Matteo Santilli, Alberto Granzotto, Alberto Albanese, Giuliano Binetti, Stefano L Sensi, Barbara Borroni
{"title":"锌治疗轻度认知障碍:ZINCAiD试验中药效学反应患者的认知稳定。","authors":"Rosanna Squitti, Alberto Benussi, Silvia Fostinelli, Andrea Geviti, Jasmine Rivolta, Mariacarla Ventriglia, Alessandra Micera, Mauro Rongioletti, Roberta Ghidoni, Matteo Santilli, Alberto Granzotto, Alberto Albanese, Giuliano Binetti, Stefano L Sensi, Barbara Borroni","doi":"10.3390/biom15091268","DOIUrl":null,"url":null,"abstract":"<p><p>Dysregulation contributes to Alzheimer's disease (AD) pathophysiology. Zinc therapy promotes enterocyte copper sequestration, potentially reducing systemic copper. Individual biological responses may vary.</p><p><strong>Methods: </strong>ZINCAiD was a 24-week, randomized, double-blind, placebo-controlled phase II trial assessing zinc therapy in individuals with mild cognitive impairment (MCI) due to AD (EudraCT No.: 2019-000604-15; registered on 26 March 2020). Participants were randomized 2:1 to receive elemental zinc (135 mg/day for 12 weeks, then 65 mg/day) or placebo. Ceruloplasmin was measured at predefined intervals for safety monitoring, blinded to the investigators. Post hoc, \"Zinc Responders\" were defined by ≥20% reduction in ceruloplasmin at week 12. The primary cognitive endpoint was the Cognitive Composite 2 scale (CC2); secondary endpoints included MMSE and CDR-Sob.</p><p><strong>Findings: </strong>Of the 48 participants randomized, 9 discontinued, primarily due to unrelated clinical deterioration; 39 had complete ceruloplasmin data. Two serious adverse events occurred in the Placebo group. Mild gastrointestinal symptoms occurred in eight participants, with only four leading to dropout. In the primary zinc vs. placebo analysis, no significant differences emerged in cognitive outcomes. A post hoc exploratory analysis stratified participants by pharmacodynamic response: 12 individuals with MCI due to AD (31%) met the criteria for \"Zinc Responder,\" defined by ≥20% reduction in serum ceruloplasmin at week 12. Only Zinc Responders maintained cognitive stability over 24 weeks, whereas the combined group of Zinc Non-Responders and placebo-treated participants showed a significant decline. For the composite cognitive score (CC2), the interaction between visit and response group was significant (<i>p</i> = 0.030), with deterioration observed only in the Non-Responder + Placebo group (Δ = -2.72, <i>p</i> < 0.0001 vs. -0.71, <i>p</i> = 0.35 in Responders). Similar patterns were observed for CDR-Sob (interaction <i>p</i> = 0.017) and MMSE (trend <i>p</i> = 0.09).</p><p><strong>Interpretation: </strong>Zinc therapy stabilized cognition in a pharmacodynamically defined MCI subgroup. These exploratory findings suggest serum ceruloplasmin as a feasible biomarker of target engagement. Larger trials are needed for confirmation.</p>","PeriodicalId":8943,"journal":{"name":"Biomolecules","volume":"15 9","pages":""},"PeriodicalIF":4.8000,"publicationDate":"2025-09-01","publicationTypes":"Journal Article","fieldsOfStudy":null,"isOpenAccess":false,"openAccessPdf":"https://www.ncbi.nlm.nih.gov/pmc/articles/PMC12466942/pdf/","citationCount":"0","resultStr":"{\"title\":\"Zinc Therapy in Mild Cognitive Impairment: Cognitive Stabilization in Pharmacodynamically Responsive Patients in the ZINCAiD Trial.\",\"authors\":\"Rosanna Squitti, Alberto Benussi, Silvia Fostinelli, Andrea Geviti, Jasmine Rivolta, Mariacarla Ventriglia, Alessandra Micera, Mauro Rongioletti, Roberta Ghidoni, Matteo Santilli, Alberto Granzotto, Alberto Albanese, Giuliano Binetti, Stefano L Sensi, Barbara Borroni\",\"doi\":\"10.3390/biom15091268\",\"DOIUrl\":null,\"url\":null,\"abstract\":\"<p><p>Dysregulation contributes to Alzheimer's disease (AD) pathophysiology. Zinc therapy promotes enterocyte copper sequestration, potentially reducing systemic copper. Individual biological responses may vary.</p><p><strong>Methods: </strong>ZINCAiD was a 24-week, randomized, double-blind, placebo-controlled phase II trial assessing zinc therapy in individuals with mild cognitive impairment (MCI) due to AD (EudraCT No.: 2019-000604-15; registered on 26 March 2020). Participants were randomized 2:1 to receive elemental zinc (135 mg/day for 12 weeks, then 65 mg/day) or placebo. Ceruloplasmin was measured at predefined intervals for safety monitoring, blinded to the investigators. Post hoc, \\\"Zinc Responders\\\" were defined by ≥20% reduction in ceruloplasmin at week 12. The primary cognitive endpoint was the Cognitive Composite 2 scale (CC2); secondary endpoints included MMSE and CDR-Sob.</p><p><strong>Findings: </strong>Of the 48 participants randomized, 9 discontinued, primarily due to unrelated clinical deterioration; 39 had complete ceruloplasmin data. Two serious adverse events occurred in the Placebo group. Mild gastrointestinal symptoms occurred in eight participants, with only four leading to dropout. In the primary zinc vs. placebo analysis, no significant differences emerged in cognitive outcomes. A post hoc exploratory analysis stratified participants by pharmacodynamic response: 12 individuals with MCI due to AD (31%) met the criteria for \\\"Zinc Responder,\\\" defined by ≥20% reduction in serum ceruloplasmin at week 12. Only Zinc Responders maintained cognitive stability over 24 weeks, whereas the combined group of Zinc Non-Responders and placebo-treated participants showed a significant decline. For the composite cognitive score (CC2), the interaction between visit and response group was significant (<i>p</i> = 0.030), with deterioration observed only in the Non-Responder + Placebo group (Δ = -2.72, <i>p</i> < 0.0001 vs. -0.71, <i>p</i> = 0.35 in Responders). Similar patterns were observed for CDR-Sob (interaction <i>p</i> = 0.017) and MMSE (trend <i>p</i> = 0.09).</p><p><strong>Interpretation: </strong>Zinc therapy stabilized cognition in a pharmacodynamically defined MCI subgroup. These exploratory findings suggest serum ceruloplasmin as a feasible biomarker of target engagement. Larger trials are needed for confirmation.</p>\",\"PeriodicalId\":8943,\"journal\":{\"name\":\"Biomolecules\",\"volume\":\"15 9\",\"pages\":\"\"},\"PeriodicalIF\":4.8000,\"publicationDate\":\"2025-09-01\",\"publicationTypes\":\"Journal Article\",\"fieldsOfStudy\":null,\"isOpenAccess\":false,\"openAccessPdf\":\"https://www.ncbi.nlm.nih.gov/pmc/articles/PMC12466942/pdf/\",\"citationCount\":\"0\",\"resultStr\":null,\"platform\":\"Semanticscholar\",\"paperid\":null,\"PeriodicalName\":\"Biomolecules\",\"FirstCategoryId\":\"99\",\"ListUrlMain\":\"https://doi.org/10.3390/biom15091268\",\"RegionNum\":2,\"RegionCategory\":\"生物学\",\"ArticlePicture\":[],\"TitleCN\":null,\"AbstractTextCN\":null,\"PMCID\":null,\"EPubDate\":\"\",\"PubModel\":\"\",\"JCR\":\"Q1\",\"JCRName\":\"BIOCHEMISTRY & MOLECULAR BIOLOGY\",\"Score\":null,\"Total\":0}","platform":"Semanticscholar","paperid":null,"PeriodicalName":"Biomolecules","FirstCategoryId":"99","ListUrlMain":"https://doi.org/10.3390/biom15091268","RegionNum":2,"RegionCategory":"生物学","ArticlePicture":[],"TitleCN":null,"AbstractTextCN":null,"PMCID":null,"EPubDate":"","PubModel":"","JCR":"Q1","JCRName":"BIOCHEMISTRY & MOLECULAR BIOLOGY","Score":null,"Total":0}
引用次数: 0

摘要

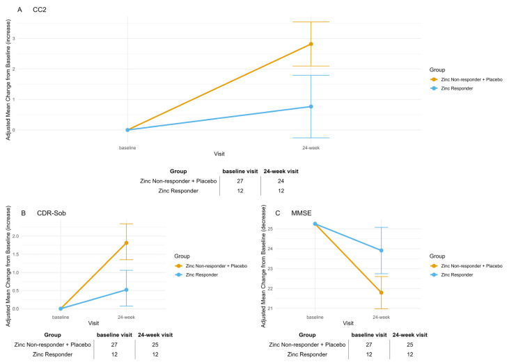
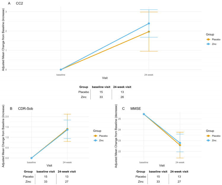
失调有助于阿尔茨海默病(AD)的病理生理。锌治疗促进肠细胞铜隔离,潜在地减少全身铜。个体的生物反应可能有所不同。方法:ZINCAiD是一项为期24周、随机、双盲、安慰剂对照的II期试验,评估锌疗法对AD所致轻度认知障碍(MCI)患者的治疗效果。: 2019-000604-15;于2020年3月26日注册)。参与者按2:1随机分配,接受元素锌(135毫克/天,持续12周,然后是65毫克/天)或安慰剂。在预先确定的安全监测间隔测量铜蓝蛋白,对研究人员不知情。事后,“锌反应者”的定义是在第12周时铜蓝蛋白降低≥20%。主要认知终点为认知综合2量表(CC2);次要终点包括MMSE和CDR-Sob。研究结果:在48名随机受试者中,9名终止治疗,主要是由于不相关的临床恶化;39例有完整的铜蓝蛋白数据。安慰剂组发生了两起严重不良事件。8名参与者出现了轻微的胃肠道症状,只有4名参与者退出。在初级锌组和安慰剂组的分析中,认知结果没有显著差异。通过药理学反应对参与者进行了一项探索性分析:12名因AD引起的MCI患者(31%)符合“锌反应”标准,即在第12周血清铜蓝蛋白降低≥20%。只有锌反应者在24周内保持认知稳定性,而锌无反应组和安慰剂治疗组的参与者表现出明显的下降。对于复合认知评分(CC2),就诊组和反应组之间的交互作用显著(p = 0.030),仅在无反应组+安慰剂组观察到恶化(Δ = -2.72, p < 0.0001 vs.反应组为-0.71,p = 0.35)。CDR-Sob(相互作用p = 0.017)和MMSE(趋势p = 0.09)也观察到类似的模式。解释:锌治疗稳定了药效学定义的MCI亚组的认知。这些探索性发现表明血清铜蓝蛋白是一种可行的靶标参与的生物标志物。需要更大规模的试验才能得到证实。
本文章由计算机程序翻译,如有差异,请以英文原文为准。

Zinc Therapy in Mild Cognitive Impairment: Cognitive Stabilization in Pharmacodynamically Responsive Patients in the ZINCAiD Trial.

Zinc Therapy in Mild Cognitive Impairment: Cognitive Stabilization in Pharmacodynamically Responsive Patients in the ZINCAiD Trial.

Zinc Therapy in Mild Cognitive Impairment: Cognitive Stabilization in Pharmacodynamically Responsive Patients in the ZINCAiD Trial.

Zinc Therapy in Mild Cognitive Impairment: Cognitive Stabilization in Pharmacodynamically Responsive Patients in the ZINCAiD Trial.

Dysregulation contributes to Alzheimer's disease (AD) pathophysiology. Zinc therapy promotes enterocyte copper sequestration, potentially reducing systemic copper. Individual biological responses may vary.

Methods: ZINCAiD was a 24-week, randomized, double-blind, placebo-controlled phase II trial assessing zinc therapy in individuals with mild cognitive impairment (MCI) due to AD (EudraCT No.: 2019-000604-15; registered on 26 March 2020). Participants were randomized 2:1 to receive elemental zinc (135 mg/day for 12 weeks, then 65 mg/day) or placebo. Ceruloplasmin was measured at predefined intervals for safety monitoring, blinded to the investigators. Post hoc, "Zinc Responders" were defined by ≥20% reduction in ceruloplasmin at week 12. The primary cognitive endpoint was the Cognitive Composite 2 scale (CC2); secondary endpoints included MMSE and CDR-Sob.

Findings: Of the 48 participants randomized, 9 discontinued, primarily due to unrelated clinical deterioration; 39 had complete ceruloplasmin data. Two serious adverse events occurred in the Placebo group. Mild gastrointestinal symptoms occurred in eight participants, with only four leading to dropout. In the primary zinc vs. placebo analysis, no significant differences emerged in cognitive outcomes. A post hoc exploratory analysis stratified participants by pharmacodynamic response: 12 individuals with MCI due to AD (31%) met the criteria for "Zinc Responder," defined by ≥20% reduction in serum ceruloplasmin at week 12. Only Zinc Responders maintained cognitive stability over 24 weeks, whereas the combined group of Zinc Non-Responders and placebo-treated participants showed a significant decline. For the composite cognitive score (CC2), the interaction between visit and response group was significant (p = 0.030), with deterioration observed only in the Non-Responder + Placebo group (Δ = -2.72, p < 0.0001 vs. -0.71, p = 0.35 in Responders). Similar patterns were observed for CDR-Sob (interaction p = 0.017) and MMSE (trend p = 0.09).

Interpretation: Zinc therapy stabilized cognition in a pharmacodynamically defined MCI subgroup. These exploratory findings suggest serum ceruloplasmin as a feasible biomarker of target engagement. Larger trials are needed for confirmation.

求助全文
通过发布文献求助,成功后即可免费获取论文全文。 去求助
来源期刊
Biomolecules
Biomolecules Biochemistry, Genetics and Molecular Biology-Molecular Biology
CiteScore
9.40
自引率
3.60%
发文量
1640
审稿时长
18.28 days
期刊介绍: Biomolecules (ISSN 2218-273X) is an international, peer-reviewed open access journal focusing on biogenic substances and their biological functions, structures, interactions with other molecules, and their microenvironment as well as biological systems. Biomolecules publishes reviews, regular research papers and short communications.  Our aim is to encourage scientists to publish their experimental and theoretical results in as much detail as possible. There is no restriction on the length of the papers. The full experimental details must be provided so that the results can be reproduced.
×
引用
GB/T 7714-2015
复制
MLA
复制
APA
复制
导出至
BibTeX EndNote RefMan NoteFirst NoteExpress
×
提示
您的信息不完整,为了账户安全,请先补充。
现在去补充
×
提示
您因"违规操作"
具体请查看互助需知
我知道了
×
提示
确定
请完成安全验证×
copy
已复制链接
快去分享给好友吧!
我知道了
右上角分享
点击右上角分享
0
联系我们:info@booksci.cn Book学术提供免费学术资源搜索服务,方便国内外学者检索中英文文献。致力于提供最便捷和优质的服务体验。 Copyright © 2023 布克学术 All rights reserved.
京ICP备2023020795号-1
ghs 京公网安备 11010802042870号
Book学术文献互助
Book学术文献互助群
群 号:604180095
Book学术官方微信