大流行后英国公众信任度激增。

IF 2.5 3区 心理学 Q2 PSYCHOLOGY, MULTIDISCIPLINARY
John Rose, Jason Reid, Lisa Morton, Sasha Stomberg-Firestein, Lisa Miller
{"title":"大流行后英国公众信任度激增。","authors":"John Rose, Jason Reid, Lisa Morton, Sasha Stomberg-Firestein, Lisa Miller","doi":"10.3390/bs15091193","DOIUrl":null,"url":null,"abstract":"<p><p>Trust in public institutions was challenged during the COVID-19 global pandemic, with widespread mistrust towards healthcare institutions as well as fellow public institutions. Concurrently, a new public institution or social tool, mass-market artificial intelligence (AI), more broadly emerged, which too may be a target of fluctuating public trust. Using national survey data from the United Kingdom's Centre for Data Ethics and Innovation (survey year: 2022, N = 4320; survey year: 2023, N = 4232), we explore the level of trust in civic institutions (healthcare, non-healthcare, and AI) during and immediately after the COVID-19 pandemic in the United Kingdom using a naturalistic quasi-experimental design. At both waves (2022 and 2023), principal component analysis and structural equation modeling over thirteen public institutions and AI variables confirmed three factors (or domains) of public trust: trust in healthcare institutions, trust in fellow civic institutions other than healthcare, and trust in AI. Measurement invariance testing of mean levels of public trust along each distinct component revealed that as compared with 2022, in 2023, (1) trust in healthcare institutions and in fellow civic institutions other than healthcare significantly increased and (2) trust in AI remained approximately level. Next, latent profile modeling revealed four levels of a common public trust profile, with all three domains of public trust being normatively closely associated. Taken together, these results suggest that a psychological stance of public trust, PT, may increase after a societal crisis.</p>","PeriodicalId":8742,"journal":{"name":"Behavioral Sciences","volume":"15 9","pages":""},"PeriodicalIF":2.5000,"publicationDate":"2025-09-01","publicationTypes":"Journal Article","fieldsOfStudy":null,"isOpenAccess":false,"openAccessPdf":"https://www.ncbi.nlm.nih.gov/pmc/articles/PMC12466461/pdf/","citationCount":"0","resultStr":"{\"title\":\"Post-Pandemic Surges in Public Trust in the United Kingdom.\",\"authors\":\"John Rose, Jason Reid, Lisa Morton, Sasha Stomberg-Firestein, Lisa Miller\",\"doi\":\"10.3390/bs15091193\",\"DOIUrl\":null,\"url\":null,\"abstract\":\"<p><p>Trust in public institutions was challenged during the COVID-19 global pandemic, with widespread mistrust towards healthcare institutions as well as fellow public institutions. Concurrently, a new public institution or social tool, mass-market artificial intelligence (AI), more broadly emerged, which too may be a target of fluctuating public trust. Using national survey data from the United Kingdom's Centre for Data Ethics and Innovation (survey year: 2022, N = 4320; survey year: 2023, N = 4232), we explore the level of trust in civic institutions (healthcare, non-healthcare, and AI) during and immediately after the COVID-19 pandemic in the United Kingdom using a naturalistic quasi-experimental design. At both waves (2022 and 2023), principal component analysis and structural equation modeling over thirteen public institutions and AI variables confirmed three factors (or domains) of public trust: trust in healthcare institutions, trust in fellow civic institutions other than healthcare, and trust in AI. Measurement invariance testing of mean levels of public trust along each distinct component revealed that as compared with 2022, in 2023, (1) trust in healthcare institutions and in fellow civic institutions other than healthcare significantly increased and (2) trust in AI remained approximately level. Next, latent profile modeling revealed four levels of a common public trust profile, with all three domains of public trust being normatively closely associated. Taken together, these results suggest that a psychological stance of public trust, PT, may increase after a societal crisis.</p>\",\"PeriodicalId\":8742,\"journal\":{\"name\":\"Behavioral Sciences\",\"volume\":\"15 9\",\"pages\":\"\"},\"PeriodicalIF\":2.5000,\"publicationDate\":\"2025-09-01\",\"publicationTypes\":\"Journal Article\",\"fieldsOfStudy\":null,\"isOpenAccess\":false,\"openAccessPdf\":\"https://www.ncbi.nlm.nih.gov/pmc/articles/PMC12466461/pdf/\",\"citationCount\":\"0\",\"resultStr\":null,\"platform\":\"Semanticscholar\",\"paperid\":null,\"PeriodicalName\":\"Behavioral Sciences\",\"FirstCategoryId\":\"102\",\"ListUrlMain\":\"https://doi.org/10.3390/bs15091193\",\"RegionNum\":3,\"RegionCategory\":\"心理学\",\"ArticlePicture\":[],\"TitleCN\":null,\"AbstractTextCN\":null,\"PMCID\":null,\"EPubDate\":\"\",\"PubModel\":\"\",\"JCR\":\"Q2\",\"JCRName\":\"PSYCHOLOGY, MULTIDISCIPLINARY\",\"Score\":null,\"Total\":0}","platform":"Semanticscholar","paperid":null,"PeriodicalName":"Behavioral Sciences","FirstCategoryId":"102","ListUrlMain":"https://doi.org/10.3390/bs15091193","RegionNum":3,"RegionCategory":"心理学","ArticlePicture":[],"TitleCN":null,"AbstractTextCN":null,"PMCID":null,"EPubDate":"","PubModel":"","JCR":"Q2","JCRName":"PSYCHOLOGY, MULTIDISCIPLINARY","Score":null,"Total":0}
引用次数: 0

摘要

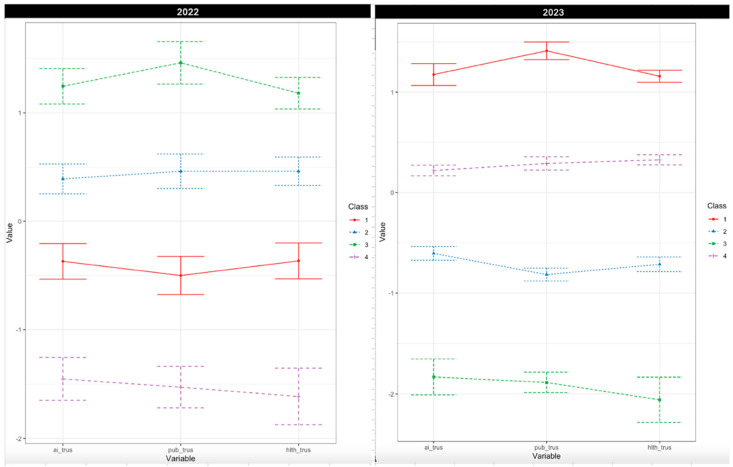
在2019冠状病毒病全球大流行期间,人们对公共机构的信任受到了挑战,人们普遍不信任医疗机构和其他公共机构。与此同时,一种新的公共机构或社会工具——大众市场人工智能(AI)——更广泛地出现了,它也可能成为公众信任波动的目标。利用英国数据伦理与创新中心的全国调查数据(调查年份:2022年,N = 4320;调查年份:2023年,N = 4232),我们采用自然主义的准实验设计,探讨了在英国COVID-19大流行期间和之后对公民机构(医疗保健、非医疗保健和人工智能)的信任水平。在这两个浪潮中(2022年和2023年),对13个公共机构和人工智能变量的主成分分析和结构方程建模证实了公众信任的三个因素(或领域):对医疗机构的信任,对医疗机构以外的其他公民机构的信任,以及对人工智能的信任。对每个不同组成部分的平均公众信任水平的测量不变性检验显示,与2022年相比,2023年,(1)对医疗机构和医疗保健以外的其他公民机构的信任显著增加,(2)对人工智能的信任保持在大致水平。接下来,潜在档案建模揭示了公共信任档案的四个级别,所有三个公共信任领域都是规范密切相关的。综上所述,这些结果表明,公众信任的心理立场,PT,可能会在社会危机后增加。
本文章由计算机程序翻译,如有差异,请以英文原文为准。

Post-Pandemic Surges in Public Trust in the United Kingdom.

Post-Pandemic Surges in Public Trust in the United Kingdom.

Post-Pandemic Surges in Public Trust in the United Kingdom.

Post-Pandemic Surges in Public Trust in the United Kingdom.

Trust in public institutions was challenged during the COVID-19 global pandemic, with widespread mistrust towards healthcare institutions as well as fellow public institutions. Concurrently, a new public institution or social tool, mass-market artificial intelligence (AI), more broadly emerged, which too may be a target of fluctuating public trust. Using national survey data from the United Kingdom's Centre for Data Ethics and Innovation (survey year: 2022, N = 4320; survey year: 2023, N = 4232), we explore the level of trust in civic institutions (healthcare, non-healthcare, and AI) during and immediately after the COVID-19 pandemic in the United Kingdom using a naturalistic quasi-experimental design. At both waves (2022 and 2023), principal component analysis and structural equation modeling over thirteen public institutions and AI variables confirmed three factors (or domains) of public trust: trust in healthcare institutions, trust in fellow civic institutions other than healthcare, and trust in AI. Measurement invariance testing of mean levels of public trust along each distinct component revealed that as compared with 2022, in 2023, (1) trust in healthcare institutions and in fellow civic institutions other than healthcare significantly increased and (2) trust in AI remained approximately level. Next, latent profile modeling revealed four levels of a common public trust profile, with all three domains of public trust being normatively closely associated. Taken together, these results suggest that a psychological stance of public trust, PT, may increase after a societal crisis.

求助全文
通过发布文献求助,成功后即可免费获取论文全文。 去求助
来源期刊
Behavioral Sciences
Behavioral Sciences Social Sciences-Development
CiteScore
2.60
自引率
7.70%
发文量
429
审稿时长
11 weeks
×
引用
GB/T 7714-2015
复制
MLA
复制
APA
复制
导出至
BibTeX EndNote RefMan NoteFirst NoteExpress
×
提示
您的信息不完整,为了账户安全,请先补充。
现在去补充
×
提示
您因"违规操作"
具体请查看互助需知
我知道了
×
提示
确定
请完成安全验证×
copy
已复制链接
快去分享给好友吧!
我知道了
右上角分享
点击右上角分享
0
联系我们:info@booksci.cn Book学术提供免费学术资源搜索服务,方便国内外学者检索中英文文献。致力于提供最便捷和优质的服务体验。 Copyright © 2023 布克学术 All rights reserved.
京ICP备2023020795号-1
ghs 京公网安备 11010802042870号
Book学术文献互助
Book学术文献互助群
群 号:604180095
Book学术官方微信