被监禁者自杀的患病率、相关因素和nomogram模型:针对针对性预防策略的发展适应视角

IF 3.4 2区 医学 Q2 PSYCHIATRY
Xiaojie Wei, Wenqian Jian, Mengting Wang, Hong Pan, Jiayi Tang, Liujun Wu, Xudong Yang, Lutong Wen, Li Chen, Yanlong Liu
{"title":"被监禁者自杀的患病率、相关因素和nomogram模型:针对针对性预防策略的发展适应视角","authors":"Xiaojie Wei, Wenqian Jian, Mengting Wang, Hong Pan, Jiayi Tang, Liujun Wu, Xudong Yang, Lutong Wen, Li Chen, Yanlong Liu","doi":"10.1186/s12888-025-07359-1","DOIUrl":null,"url":null,"abstract":"<p><strong>Background: </strong>Suicide remains one of the primary causes of death in people in prison, highlighting the urgent need for effective prevention strategies. This study investigated the prevalence and characteristics of suicidality (suicidal ideation, suicidal planning and suicidal attempts) among incarcerated individuals and examined both distal and proximal associated factors using the developmental adaptation framework. Additionally, three predictive models were constructed to assess suicide risk within this population.</p><p><strong>Methods: </strong>A total of 1,700 incarcerated individuals participated in the study, providing data through self-report questionnaires covering demographic variables, distal influences (e.g., childhood adversity, family history), and proximal indicators (e.g., mental health status, alexithymia, hopelessness). Logistic regressions were used to identify significant factors, which informed the construction and validation of nomograms for suicide risk assessment. The models' performance were evaluated in terms of discrimination, accuracy, practical application, and generalizability.</p><p><strong>Results: </strong>The findings revealed that 13.4% reported suicidal ideation, 7.8% reported suicide planning, and 6.1% reported suicide attempts. Proximal factors such as hopelessness, anxiety, and depression were strongly associated with suicidality, while childhood trauma emerged as important distal contributors. Three nomograms were developed to predict the risk of suicidal ideation, planning, and attempts, each demonstrating good discrimination and calibration. The AUCs ranged from 0.774 to 0.787 in training cohorts and from 0.764 to 0.829 in validation cohorts. Further validation confirmed their reliability, clinical relevance, and applicability across different gender groups.</p><p><strong>Conclusion: </strong>The predictive models developed in this study offer an effective tool for early detection of suicide risk among incarcerated individuals, supporting correctional staff in timely identification and intervention for high-risk individuals.</p>","PeriodicalId":9029,"journal":{"name":"BMC Psychiatry","volume":"25 1","pages":"874"},"PeriodicalIF":3.4000,"publicationDate":"2025-09-26","publicationTypes":"Journal Article","fieldsOfStudy":null,"isOpenAccess":false,"openAccessPdf":"https://www.ncbi.nlm.nih.gov/pmc/articles/PMC12465529/pdf/","citationCount":"0","resultStr":"{\"title\":\"Prevalence, associated factors, and nomogram model of suicidality among incarcerated individuals: a developmental adaptation perspective for targeted prevention strategies.\",\"authors\":\"Xiaojie Wei, Wenqian Jian, Mengting Wang, Hong Pan, Jiayi Tang, Liujun Wu, Xudong Yang, Lutong Wen, Li Chen, Yanlong Liu\",\"doi\":\"10.1186/s12888-025-07359-1\",\"DOIUrl\":null,\"url\":null,\"abstract\":\"<p><strong>Background: </strong>Suicide remains one of the primary causes of death in people in prison, highlighting the urgent need for effective prevention strategies. This study investigated the prevalence and characteristics of suicidality (suicidal ideation, suicidal planning and suicidal attempts) among incarcerated individuals and examined both distal and proximal associated factors using the developmental adaptation framework. Additionally, three predictive models were constructed to assess suicide risk within this population.</p><p><strong>Methods: </strong>A total of 1,700 incarcerated individuals participated in the study, providing data through self-report questionnaires covering demographic variables, distal influences (e.g., childhood adversity, family history), and proximal indicators (e.g., mental health status, alexithymia, hopelessness). Logistic regressions were used to identify significant factors, which informed the construction and validation of nomograms for suicide risk assessment. The models' performance were evaluated in terms of discrimination, accuracy, practical application, and generalizability.</p><p><strong>Results: </strong>The findings revealed that 13.4% reported suicidal ideation, 7.8% reported suicide planning, and 6.1% reported suicide attempts. Proximal factors such as hopelessness, anxiety, and depression were strongly associated with suicidality, while childhood trauma emerged as important distal contributors. Three nomograms were developed to predict the risk of suicidal ideation, planning, and attempts, each demonstrating good discrimination and calibration. The AUCs ranged from 0.774 to 0.787 in training cohorts and from 0.764 to 0.829 in validation cohorts. Further validation confirmed their reliability, clinical relevance, and applicability across different gender groups.</p><p><strong>Conclusion: </strong>The predictive models developed in this study offer an effective tool for early detection of suicide risk among incarcerated individuals, supporting correctional staff in timely identification and intervention for high-risk individuals.</p>\",\"PeriodicalId\":9029,\"journal\":{\"name\":\"BMC Psychiatry\",\"volume\":\"25 1\",\"pages\":\"874\"},\"PeriodicalIF\":3.4000,\"publicationDate\":\"2025-09-26\",\"publicationTypes\":\"Journal Article\",\"fieldsOfStudy\":null,\"isOpenAccess\":false,\"openAccessPdf\":\"https://www.ncbi.nlm.nih.gov/pmc/articles/PMC12465529/pdf/\",\"citationCount\":\"0\",\"resultStr\":null,\"platform\":\"Semanticscholar\",\"paperid\":null,\"PeriodicalName\":\"BMC Psychiatry\",\"FirstCategoryId\":\"3\",\"ListUrlMain\":\"https://doi.org/10.1186/s12888-025-07359-1\",\"RegionNum\":2,\"RegionCategory\":\"医学\",\"ArticlePicture\":[],\"TitleCN\":null,\"AbstractTextCN\":null,\"PMCID\":null,\"EPubDate\":\"\",\"PubModel\":\"\",\"JCR\":\"Q2\",\"JCRName\":\"PSYCHIATRY\",\"Score\":null,\"Total\":0}","platform":"Semanticscholar","paperid":null,"PeriodicalName":"BMC Psychiatry","FirstCategoryId":"3","ListUrlMain":"https://doi.org/10.1186/s12888-025-07359-1","RegionNum":2,"RegionCategory":"医学","ArticlePicture":[],"TitleCN":null,"AbstractTextCN":null,"PMCID":null,"EPubDate":"","PubModel":"","JCR":"Q2","JCRName":"PSYCHIATRY","Score":null,"Total":0}
引用次数: 0

摘要

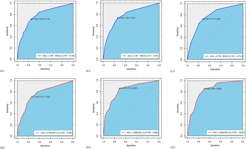
背景:自杀仍然是狱中人员死亡的主要原因之一,这突出表明迫切需要制定有效的预防战略。本研究调查了被监禁人员的自杀倾向(自杀意念、自杀计划和自杀企图)的患病率和特征,并利用发育适应框架分析了远端和近端相关因素。此外,构建了三个预测模型来评估该人群的自杀风险。方法:共有1700名在押人员参与了这项研究,通过自我报告问卷提供数据,包括人口统计变量、远端影响因素(如童年逆境、家族史)和近端指标(如精神健康状况、述情障碍、绝望感)。采用Logistic回归来识别显著因素,为自杀风险评估的模态图的构建和验证提供信息。从识别、准确性、实际应用和推广等方面对模型的性能进行了评价。结果:13.4%的学生有自杀意念,7.8%的学生有自杀计划,6.1%的学生有自杀企图。绝望、焦虑和抑郁等近端因素与自杀密切相关,而童年创伤则是重要的远端因素。我们开发了三个图来预测自杀意念、计划和企图的风险,每个图都显示出良好的区分和校准。训练队列的auc范围为0.774至0.787,验证队列的auc范围为0.764至0.829。进一步的验证证实了它们的可靠性、临床相关性和在不同性别群体中的适用性。结论:本研究建立的预测模型为早期发现在押人员的自杀风险提供了有效的工具,支持监狱工作人员及时识别和干预高危人群。
本文章由计算机程序翻译,如有差异,请以英文原文为准。

Prevalence, associated factors, and nomogram model of suicidality among incarcerated individuals: a developmental adaptation perspective for targeted prevention strategies.

Prevalence, associated factors, and nomogram model of suicidality among incarcerated individuals: a developmental adaptation perspective for targeted prevention strategies.

Prevalence, associated factors, and nomogram model of suicidality among incarcerated individuals: a developmental adaptation perspective for targeted prevention strategies.

Background: Suicide remains one of the primary causes of death in people in prison, highlighting the urgent need for effective prevention strategies. This study investigated the prevalence and characteristics of suicidality (suicidal ideation, suicidal planning and suicidal attempts) among incarcerated individuals and examined both distal and proximal associated factors using the developmental adaptation framework. Additionally, three predictive models were constructed to assess suicide risk within this population.

Methods: A total of 1,700 incarcerated individuals participated in the study, providing data through self-report questionnaires covering demographic variables, distal influences (e.g., childhood adversity, family history), and proximal indicators (e.g., mental health status, alexithymia, hopelessness). Logistic regressions were used to identify significant factors, which informed the construction and validation of nomograms for suicide risk assessment. The models' performance were evaluated in terms of discrimination, accuracy, practical application, and generalizability.

Results: The findings revealed that 13.4% reported suicidal ideation, 7.8% reported suicide planning, and 6.1% reported suicide attempts. Proximal factors such as hopelessness, anxiety, and depression were strongly associated with suicidality, while childhood trauma emerged as important distal contributors. Three nomograms were developed to predict the risk of suicidal ideation, planning, and attempts, each demonstrating good discrimination and calibration. The AUCs ranged from 0.774 to 0.787 in training cohorts and from 0.764 to 0.829 in validation cohorts. Further validation confirmed their reliability, clinical relevance, and applicability across different gender groups.

Conclusion: The predictive models developed in this study offer an effective tool for early detection of suicide risk among incarcerated individuals, supporting correctional staff in timely identification and intervention for high-risk individuals.

求助全文
通过发布文献求助,成功后即可免费获取论文全文。 去求助
来源期刊
BMC Psychiatry
BMC Psychiatry 医学-精神病学
CiteScore
5.90
自引率
4.50%
发文量
716
审稿时长
3-6 weeks
期刊介绍: BMC Psychiatry is an open access, peer-reviewed journal that considers articles on all aspects of the prevention, diagnosis and management of psychiatric disorders, as well as related molecular genetics, pathophysiology, and epidemiology.
×
引用
GB/T 7714-2015
复制
MLA
复制
APA
复制
导出至
BibTeX EndNote RefMan NoteFirst NoteExpress
×
提示
您的信息不完整,为了账户安全,请先补充。
现在去补充
×
提示
您因"违规操作"
具体请查看互助需知
我知道了
×
提示
确定
请完成安全验证×
copy
已复制链接
快去分享给好友吧!
我知道了
右上角分享
点击右上角分享
0
联系我们:info@booksci.cn Book学术提供免费学术资源搜索服务,方便国内外学者检索中英文文献。致力于提供最便捷和优质的服务体验。 Copyright © 2023 布克学术 All rights reserved.
京ICP备2023020795号-1
ghs 京公网安备 11010802042870号
Book学术文献互助
Book学术文献互助群
群 号:604180095
Book学术官方微信