指导双语语言学生临床医生和讲西班牙语的护理人员对自闭症学龄前儿童使用文化适应的NDBI技术。

IF 2.5 3区 心理学 Q2 PSYCHOLOGY, MULTIDISCIPLINARY
Richelle McGuire, Jessica Nico, Naomi Nattress, Carlos Irizarry-Pérez, Cindy Gevarter
{"title":"指导双语语言学生临床医生和讲西班牙语的护理人员对自闭症学龄前儿童使用文化适应的NDBI技术。","authors":"Richelle McGuire, Jessica Nico, Naomi Nattress, Carlos Irizarry-Pérez, Cindy Gevarter","doi":"10.3390/bs15091292","DOIUrl":null,"url":null,"abstract":"<p><p>A cascading coaching model was used to teach bilingual speech-language pathology (SLP) graduate student clinicians and Spanish-speaking caregivers to implement naturalistic developmental behavioral intervention (NDBI) techniques with autistic preschoolers. Two triads (each consisting of a graduate student clinician, a minimally vocal child diagnosed with autism, and a caregiver) participated in the study. Following the cascading approach, a lead instructor (with limited Spanish conversational skills) coached bilingual student clinicians (in English) to apply culturally adapted NDBI with child participants. Following additional instruction in coaching, student clinicians coached caregivers in Spanish. Effects were evaluated using a multiple methods approach consisting of multiple probes across participants single case experimental design and a qualitative analysis of semi-structured interviews with adult participants. All adult participants increased their use of targeted NDBI skills including elicitation techniques (creating communication temptations, using wait time, and prompting) and response techniques (reinforcing children's communication with natural consequences and providing a contextually relevant vocal model), demonstrating large to very large effect sizes. Although qualitative findings indicated areas for improvement (e.g., additional Spanish supports for clinicians), thematic analysis revealed additional benefits in terms of positive changes across adult learning, behavior, and perspectives; child communication; and child-caregiver relationships.</p>","PeriodicalId":8742,"journal":{"name":"Behavioral Sciences","volume":"15 9","pages":""},"PeriodicalIF":2.5000,"publicationDate":"2025-09-22","publicationTypes":"Journal Article","fieldsOfStudy":null,"isOpenAccess":false,"openAccessPdf":"https://www.ncbi.nlm.nih.gov/pmc/articles/PMC12467700/pdf/","citationCount":"0","resultStr":"{\"title\":\"Coaching Bilingual Speech-Language Student Clinicians and Spanish-Speaking Caregivers to Use Culturally Adapted NDBI Techniques with Autistic Preschoolers.\",\"authors\":\"Richelle McGuire, Jessica Nico, Naomi Nattress, Carlos Irizarry-Pérez, Cindy Gevarter\",\"doi\":\"10.3390/bs15091292\",\"DOIUrl\":null,\"url\":null,\"abstract\":\"<p><p>A cascading coaching model was used to teach bilingual speech-language pathology (SLP) graduate student clinicians and Spanish-speaking caregivers to implement naturalistic developmental behavioral intervention (NDBI) techniques with autistic preschoolers. Two triads (each consisting of a graduate student clinician, a minimally vocal child diagnosed with autism, and a caregiver) participated in the study. Following the cascading approach, a lead instructor (with limited Spanish conversational skills) coached bilingual student clinicians (in English) to apply culturally adapted NDBI with child participants. Following additional instruction in coaching, student clinicians coached caregivers in Spanish. Effects were evaluated using a multiple methods approach consisting of multiple probes across participants single case experimental design and a qualitative analysis of semi-structured interviews with adult participants. All adult participants increased their use of targeted NDBI skills including elicitation techniques (creating communication temptations, using wait time, and prompting) and response techniques (reinforcing children's communication with natural consequences and providing a contextually relevant vocal model), demonstrating large to very large effect sizes. Although qualitative findings indicated areas for improvement (e.g., additional Spanish supports for clinicians), thematic analysis revealed additional benefits in terms of positive changes across adult learning, behavior, and perspectives; child communication; and child-caregiver relationships.</p>\",\"PeriodicalId\":8742,\"journal\":{\"name\":\"Behavioral Sciences\",\"volume\":\"15 9\",\"pages\":\"\"},\"PeriodicalIF\":2.5000,\"publicationDate\":\"2025-09-22\",\"publicationTypes\":\"Journal Article\",\"fieldsOfStudy\":null,\"isOpenAccess\":false,\"openAccessPdf\":\"https://www.ncbi.nlm.nih.gov/pmc/articles/PMC12467700/pdf/\",\"citationCount\":\"0\",\"resultStr\":null,\"platform\":\"Semanticscholar\",\"paperid\":null,\"PeriodicalName\":\"Behavioral Sciences\",\"FirstCategoryId\":\"102\",\"ListUrlMain\":\"https://doi.org/10.3390/bs15091292\",\"RegionNum\":3,\"RegionCategory\":\"心理学\",\"ArticlePicture\":[],\"TitleCN\":null,\"AbstractTextCN\":null,\"PMCID\":null,\"EPubDate\":\"\",\"PubModel\":\"\",\"JCR\":\"Q2\",\"JCRName\":\"PSYCHOLOGY, MULTIDISCIPLINARY\",\"Score\":null,\"Total\":0}","platform":"Semanticscholar","paperid":null,"PeriodicalName":"Behavioral Sciences","FirstCategoryId":"102","ListUrlMain":"https://doi.org/10.3390/bs15091292","RegionNum":3,"RegionCategory":"心理学","ArticlePicture":[],"TitleCN":null,"AbstractTextCN":null,"PMCID":null,"EPubDate":"","PubModel":"","JCR":"Q2","JCRName":"PSYCHOLOGY, MULTIDISCIPLINARY","Score":null,"Total":0}
引用次数: 0

摘要

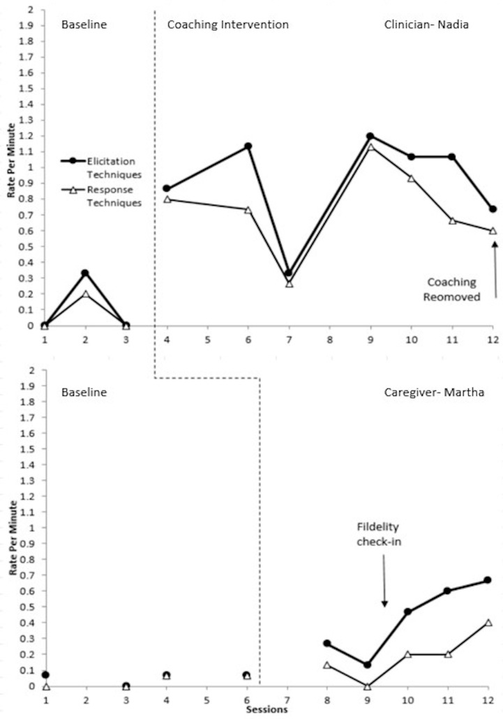
采用级联训练模型对双语语言病理学(SLP)研究生临床医生和西班牙语护理人员进行自然发展行为干预(NDBI)技术的教学。两个三合组(每组由一名研究生临床医生、一名被诊断为自闭症的极少发声的儿童和一名护理人员组成)参与了这项研究。遵循层叠式方法,一名首席讲师(西班牙语会话能力有限)指导双语学生临床医生(用英语)对儿童参与者应用适应文化的NDBI。在额外的指导指导下,学生临床医生用西班牙语指导护理人员。使用多种方法评估效果,包括对参与者进行多重调查,单例实验设计和对成人参与者进行半结构化访谈的定性分析。所有成年参与者都增加了目标NDBI技能的使用,包括诱导技术(创造交流诱惑,使用等待时间和提示)和反应技术(通过自然后果加强儿童的交流,并提供与上下文相关的声音模型),显示出大到非常大的效果。虽然定性研究结果指出了需要改进的领域(例如,为临床医生提供额外的西班牙语支持),但专题分析显示了在成人学习、行为和观点方面的积极变化方面的额外好处;孩子的沟通;以及照顾孩子的关系。
本文章由计算机程序翻译,如有差异,请以英文原文为准。

Coaching Bilingual Speech-Language Student Clinicians and Spanish-Speaking Caregivers to Use Culturally Adapted NDBI Techniques with Autistic Preschoolers.

Coaching Bilingual Speech-Language Student Clinicians and Spanish-Speaking Caregivers to Use Culturally Adapted NDBI Techniques with Autistic Preschoolers.

Coaching Bilingual Speech-Language Student Clinicians and Spanish-Speaking Caregivers to Use Culturally Adapted NDBI Techniques with Autistic Preschoolers.

Coaching Bilingual Speech-Language Student Clinicians and Spanish-Speaking Caregivers to Use Culturally Adapted NDBI Techniques with Autistic Preschoolers.

A cascading coaching model was used to teach bilingual speech-language pathology (SLP) graduate student clinicians and Spanish-speaking caregivers to implement naturalistic developmental behavioral intervention (NDBI) techniques with autistic preschoolers. Two triads (each consisting of a graduate student clinician, a minimally vocal child diagnosed with autism, and a caregiver) participated in the study. Following the cascading approach, a lead instructor (with limited Spanish conversational skills) coached bilingual student clinicians (in English) to apply culturally adapted NDBI with child participants. Following additional instruction in coaching, student clinicians coached caregivers in Spanish. Effects were evaluated using a multiple methods approach consisting of multiple probes across participants single case experimental design and a qualitative analysis of semi-structured interviews with adult participants. All adult participants increased their use of targeted NDBI skills including elicitation techniques (creating communication temptations, using wait time, and prompting) and response techniques (reinforcing children's communication with natural consequences and providing a contextually relevant vocal model), demonstrating large to very large effect sizes. Although qualitative findings indicated areas for improvement (e.g., additional Spanish supports for clinicians), thematic analysis revealed additional benefits in terms of positive changes across adult learning, behavior, and perspectives; child communication; and child-caregiver relationships.

求助全文
通过发布文献求助,成功后即可免费获取论文全文。 去求助
来源期刊
Behavioral Sciences
Behavioral Sciences Social Sciences-Development
CiteScore
2.60
自引率
7.70%
发文量
429
审稿时长
11 weeks
×
引用
GB/T 7714-2015
复制
MLA
复制
APA
复制
导出至
BibTeX EndNote RefMan NoteFirst NoteExpress
×
提示
您的信息不完整,为了账户安全,请先补充。
现在去补充
×
提示
您因"违规操作"
具体请查看互助需知
我知道了
×
提示
确定
请完成安全验证×
copy
已复制链接
快去分享给好友吧!
我知道了
右上角分享
点击右上角分享
0
联系我们:info@booksci.cn Book学术提供免费学术资源搜索服务,方便国内外学者检索中英文文献。致力于提供最便捷和优质的服务体验。 Copyright © 2023 布克学术 All rights reserved.
京ICP备2023020795号-1
ghs 京公网安备 11010802042870号
Book学术文献互助
Book学术文献互助群
群 号:604180095
Book学术官方微信