寻找开放奇异系统中的束缚态

IF 2.8 3区 物理与天体物理 Q2 PHYSICS, NUCLEAR
C. W. Xiao, J. J. Wu
{"title":"寻找开放奇异系统中的束缚态","authors":"C. W. Xiao,&nbsp;J. J. Wu","doi":"10.1140/epja/s10050-025-01648-9","DOIUrl":null,"url":null,"abstract":"<div><p>Inspired by the recent findings of <span>\\(Z_{cs}\\)</span> and <span>\\(P_{cs}\\)</span> states, we investigate the strong interactions of the systems with open strangeness(es) from the light sector to the charm sector, where the interaction potential is derived from the vector meson exchange mechanism in <i>t</i>- and <i>u</i>-channels. In the current work, we discuss all of single channel cases for the open strangeness in the systemic framework, where the resonances <span>\\(X_0(2866)\\)</span>, <span>\\(D^*_{s0}(2317)\\)</span> and <span>\\(D_{s1}(2460)\\)</span> are dynamically generated. Furthermore, some new bound systems are found from the single channel interaction. In addition, the left-hand cut problem in <i>t</i>- and <i>u</i>-channels is discussed in detail.</p></div>","PeriodicalId":786,"journal":{"name":"The European Physical Journal A","volume":"61 7","pages":""},"PeriodicalIF":2.8000,"publicationDate":"2025-07-31","publicationTypes":"Journal Article","fieldsOfStudy":null,"isOpenAccess":false,"openAccessPdf":"","citationCount":"0","resultStr":"{\"title\":\"Searching for bound states in the open strangeness systems\",\"authors\":\"C. W. Xiao,&nbsp;J. J. Wu\",\"doi\":\"10.1140/epja/s10050-025-01648-9\",\"DOIUrl\":null,\"url\":null,\"abstract\":\"<div><p>Inspired by the recent findings of <span>\\\\(Z_{cs}\\\\)</span> and <span>\\\\(P_{cs}\\\\)</span> states, we investigate the strong interactions of the systems with open strangeness(es) from the light sector to the charm sector, where the interaction potential is derived from the vector meson exchange mechanism in <i>t</i>- and <i>u</i>-channels. In the current work, we discuss all of single channel cases for the open strangeness in the systemic framework, where the resonances <span>\\\\(X_0(2866)\\\\)</span>, <span>\\\\(D^*_{s0}(2317)\\\\)</span> and <span>\\\\(D_{s1}(2460)\\\\)</span> are dynamically generated. Furthermore, some new bound systems are found from the single channel interaction. In addition, the left-hand cut problem in <i>t</i>- and <i>u</i>-channels is discussed in detail.</p></div>\",\"PeriodicalId\":786,\"journal\":{\"name\":\"The European Physical Journal A\",\"volume\":\"61 7\",\"pages\":\"\"},\"PeriodicalIF\":2.8000,\"publicationDate\":\"2025-07-31\",\"publicationTypes\":\"Journal Article\",\"fieldsOfStudy\":null,\"isOpenAccess\":false,\"openAccessPdf\":\"\",\"citationCount\":\"0\",\"resultStr\":null,\"platform\":\"Semanticscholar\",\"paperid\":null,\"PeriodicalName\":\"The European Physical Journal A\",\"FirstCategoryId\":\"4\",\"ListUrlMain\":\"https://link.springer.com/article/10.1140/epja/s10050-025-01648-9\",\"RegionNum\":3,\"RegionCategory\":\"物理与天体物理\",\"ArticlePicture\":[],\"TitleCN\":null,\"AbstractTextCN\":null,\"PMCID\":null,\"EPubDate\":\"\",\"PubModel\":\"\",\"JCR\":\"Q2\",\"JCRName\":\"PHYSICS, NUCLEAR\",\"Score\":null,\"Total\":0}","platform":"Semanticscholar","paperid":null,"PeriodicalName":"The European Physical Journal A","FirstCategoryId":"4","ListUrlMain":"https://link.springer.com/article/10.1140/epja/s10050-025-01648-9","RegionNum":3,"RegionCategory":"物理与天体物理","ArticlePicture":[],"TitleCN":null,"AbstractTextCN":null,"PMCID":null,"EPubDate":"","PubModel":"","JCR":"Q2","JCRName":"PHYSICS, NUCLEAR","Score":null,"Total":0}
引用次数: 0

摘要

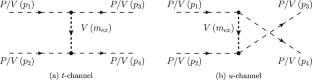
受\(Z_{cs}\)和\(P_{cs}\)状态的最新发现的启发,我们研究了具有开放奇异度(es)的系统从光扇区到粲扇区的强相互作用,其中相互作用势来自t和u通道中的矢量介子交换机制。在当前的工作中,我们讨论了系统框架中开放陌生性的所有单通道情况,其中共振\(X_0(2866)\), \(D^*_{s0}(2317)\)和\(D_{s1}(2460)\)是动态生成的。此外,从单通道相互作用中发现了一些新的边界系统。此外,还详细讨论了t形通道和u形通道的左切问题。
本文章由计算机程序翻译,如有差异,请以英文原文为准。

Searching for bound states in the open strangeness systems

Searching for bound states in the open strangeness systems

Inspired by the recent findings of \(Z_{cs}\) and \(P_{cs}\) states, we investigate the strong interactions of the systems with open strangeness(es) from the light sector to the charm sector, where the interaction potential is derived from the vector meson exchange mechanism in t- and u-channels. In the current work, we discuss all of single channel cases for the open strangeness in the systemic framework, where the resonances \(X_0(2866)\), \(D^*_{s0}(2317)\) and \(D_{s1}(2460)\) are dynamically generated. Furthermore, some new bound systems are found from the single channel interaction. In addition, the left-hand cut problem in t- and u-channels is discussed in detail.

求助全文
通过发布文献求助,成功后即可免费获取论文全文。 去求助
来源期刊
The European Physical Journal A
The European Physical Journal A 物理-物理:核物理
CiteScore
5.00
自引率
18.50%
发文量
216
审稿时长
3-8 weeks
期刊介绍: Hadron Physics Hadron Structure Hadron Spectroscopy Hadronic and Electroweak Interactions of Hadrons Nonperturbative Approaches to QCD Phenomenological Approaches to Hadron Physics Nuclear and Quark Matter Heavy-Ion Collisions Phase Diagram of the Strong Interaction Hard Probes Quark-Gluon Plasma and Hadronic Matter Relativistic Transport and Hydrodynamics Compact Stars Nuclear Physics Nuclear Structure and Reactions Few-Body Systems Radioactive Beams Electroweak Interactions Nuclear Astrophysics Article Categories Letters (Open Access) Regular Articles New Tools and Techniques Reviews.
×
引用
GB/T 7714-2015
复制
MLA
复制
APA
复制
导出至
BibTeX EndNote RefMan NoteFirst NoteExpress
×
提示
您的信息不完整,为了账户安全,请先补充。
现在去补充
×
提示
您因"违规操作"
具体请查看互助需知
我知道了
×
提示
确定
请完成安全验证×
copy
已复制链接
快去分享给好友吧!
我知道了
右上角分享
点击右上角分享
0
联系我们:info@booksci.cn Book学术提供免费学术资源搜索服务,方便国内外学者检索中英文文献。致力于提供最便捷和优质的服务体验。 Copyright © 2023 布克学术 All rights reserved.
京ICP备2023020795号-1
ghs 京公网安备 11010802042870号
Book学术文献互助
Book学术文献互助群
群 号:604180095
Book学术官方微信