二维光子晶体上准单色高斯光束的散射

IF 1.3 4区 物理与天体物理 Q3 PHYSICS, MULTIDISCIPLINARY
D. Yu. Sergeeva, I. V. Bekrenev, A. A. Tishchenko
{"title":"二维光子晶体上准单色高斯光束的散射","authors":"D. Yu. Sergeeva,&nbsp;I. V. Bekrenev,&nbsp;A. A. Tishchenko","doi":"10.1134/S0021364024605256","DOIUrl":null,"url":null,"abstract":"<p>The scattering of a non-monochromatic Gaussian beam of light on a two-dimensional photonic crystal is studied. The field has been calculated and the spectral dependence of the radiation intensity has been analyzed. Noticeable differences in the scattering of a quasi-monochromatic wave have been revealed in comparison with two limiting cases of a monochromatic wave and a wave with a broad spectrum. The conditions have been determined under which a simple method, often used in photonics, where the incident field is considered as a plane monochromatic wave, can lead to a significant distortion of the diffraction pattern, which is expressed in a change in the wavelength and in the number of radiation intensity maxima. The role of the non-planar (Gaussian) wavefront and the effect of the size of the spot illuminated on the surface of the grating by the incident beam on the characteristics of scattered radiation have been discussed.</p>","PeriodicalId":604,"journal":{"name":"JETP Letters","volume":"121 8","pages":"595 - 601"},"PeriodicalIF":1.3000,"publicationDate":"2025-05-30","publicationTypes":"Journal Article","fieldsOfStudy":null,"isOpenAccess":false,"openAccessPdf":"","citationCount":"0","resultStr":"{\"title\":\"Scattering of a Quasi-Monochromatic Gaussian Beam of Light on a Two-Dimensional Photonic Crystal\",\"authors\":\"D. Yu. Sergeeva,&nbsp;I. V. Bekrenev,&nbsp;A. A. Tishchenko\",\"doi\":\"10.1134/S0021364024605256\",\"DOIUrl\":null,\"url\":null,\"abstract\":\"<p>The scattering of a non-monochromatic Gaussian beam of light on a two-dimensional photonic crystal is studied. The field has been calculated and the spectral dependence of the radiation intensity has been analyzed. Noticeable differences in the scattering of a quasi-monochromatic wave have been revealed in comparison with two limiting cases of a monochromatic wave and a wave with a broad spectrum. The conditions have been determined under which a simple method, often used in photonics, where the incident field is considered as a plane monochromatic wave, can lead to a significant distortion of the diffraction pattern, which is expressed in a change in the wavelength and in the number of radiation intensity maxima. The role of the non-planar (Gaussian) wavefront and the effect of the size of the spot illuminated on the surface of the grating by the incident beam on the characteristics of scattered radiation have been discussed.</p>\",\"PeriodicalId\":604,\"journal\":{\"name\":\"JETP Letters\",\"volume\":\"121 8\",\"pages\":\"595 - 601\"},\"PeriodicalIF\":1.3000,\"publicationDate\":\"2025-05-30\",\"publicationTypes\":\"Journal Article\",\"fieldsOfStudy\":null,\"isOpenAccess\":false,\"openAccessPdf\":\"\",\"citationCount\":\"0\",\"resultStr\":null,\"platform\":\"Semanticscholar\",\"paperid\":null,\"PeriodicalName\":\"JETP Letters\",\"FirstCategoryId\":\"101\",\"ListUrlMain\":\"https://link.springer.com/article/10.1134/S0021364024605256\",\"RegionNum\":4,\"RegionCategory\":\"物理与天体物理\",\"ArticlePicture\":[],\"TitleCN\":null,\"AbstractTextCN\":null,\"PMCID\":null,\"EPubDate\":\"\",\"PubModel\":\"\",\"JCR\":\"Q3\",\"JCRName\":\"PHYSICS, MULTIDISCIPLINARY\",\"Score\":null,\"Total\":0}","platform":"Semanticscholar","paperid":null,"PeriodicalName":"JETP Letters","FirstCategoryId":"101","ListUrlMain":"https://link.springer.com/article/10.1134/S0021364024605256","RegionNum":4,"RegionCategory":"物理与天体物理","ArticlePicture":[],"TitleCN":null,"AbstractTextCN":null,"PMCID":null,"EPubDate":"","PubModel":"","JCR":"Q3","JCRName":"PHYSICS, MULTIDISCIPLINARY","Score":null,"Total":0}
引用次数: 0

摘要

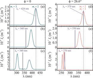
研究了非单色高斯光束在二维光子晶体上的散射。计算了辐射场,分析了辐射强度与光谱的关系。与单色波和广谱波的两种极限情况相比,揭示了准单色波散射的显著差异。已经确定的条件下,一个简单的方法,经常用于光子学,其中入射场被认为是一个平面单色波,可以导致衍射图案的显著畸变,这是在波长和辐射强度最大值的数量的变化表示。讨论了非平面高斯波前的作用以及入射光束照射光栅表面光斑的大小对散射辐射特性的影响。
本文章由计算机程序翻译,如有差异,请以英文原文为准。

Scattering of a Quasi-Monochromatic Gaussian Beam of Light on a Two-Dimensional Photonic Crystal

Scattering of a Quasi-Monochromatic Gaussian Beam of Light on a Two-Dimensional Photonic Crystal

The scattering of a non-monochromatic Gaussian beam of light on a two-dimensional photonic crystal is studied. The field has been calculated and the spectral dependence of the radiation intensity has been analyzed. Noticeable differences in the scattering of a quasi-monochromatic wave have been revealed in comparison with two limiting cases of a monochromatic wave and a wave with a broad spectrum. The conditions have been determined under which a simple method, often used in photonics, where the incident field is considered as a plane monochromatic wave, can lead to a significant distortion of the diffraction pattern, which is expressed in a change in the wavelength and in the number of radiation intensity maxima. The role of the non-planar (Gaussian) wavefront and the effect of the size of the spot illuminated on the surface of the grating by the incident beam on the characteristics of scattered radiation have been discussed.

求助全文
通过发布文献求助,成功后即可免费获取论文全文。 去求助
来源期刊
JETP Letters
JETP Letters 物理-物理:综合
CiteScore
2.40
自引率
30.80%
发文量
164
审稿时长
3-6 weeks
期刊介绍: All topics of experimental and theoretical physics including gravitation, field theory, elementary particles and nuclei, plasma, nonlinear phenomena, condensed matter, superconductivity, superfluidity, lasers, and surfaces.
×
引用
GB/T 7714-2015
复制
MLA
复制
APA
复制
导出至
BibTeX EndNote RefMan NoteFirst NoteExpress
×
提示
您的信息不完整,为了账户安全,请先补充。
现在去补充
×
提示
您因"违规操作"
具体请查看互助需知
我知道了
×
提示
确定
请完成安全验证×
copy
已复制链接
快去分享给好友吧!
我知道了
右上角分享
点击右上角分享
0
联系我们:info@booksci.cn Book学术提供免费学术资源搜索服务,方便国内外学者检索中英文文献。致力于提供最便捷和优质的服务体验。 Copyright © 2023 布克学术 All rights reserved.
京ICP备2023020795号-1
ghs 京公网安备 11010802042870号
Book学术文献互助
Book学术文献互助群
群 号:604180095
Book学术官方微信