无机溶胶-凝胶硅烷/有机聚己内酯复合涂层增强AZ31B镁合金的防腐性能

IF 3.2 4区 材料科学 Q2 MATERIALS SCIENCE, CERAMICS
Lutviasari Nuraini, Joko Triwardono, Rahma Nisa Hakim, Rahadian Roberto, Fadli Rohman, Yudi Nugraha Thaha, Albertus Deny Heri Setyawan, Aprilia Erryani
{"title":"无机溶胶-凝胶硅烷/有机聚己内酯复合涂层增强AZ31B镁合金的防腐性能","authors":"Lutviasari Nuraini,&nbsp;Joko Triwardono,&nbsp;Rahma Nisa Hakim,&nbsp;Rahadian Roberto,&nbsp;Fadli Rohman,&nbsp;Yudi Nugraha Thaha,&nbsp;Albertus Deny Heri Setyawan,&nbsp;Aprilia Erryani","doi":"10.1007/s10971-025-06804-7","DOIUrl":null,"url":null,"abstract":"<div><p>The silane inorganic coating and its hybrid with organic polycaprolactone (PCL) have been developed to improve the corrosion resistance of a magnesium alloy (AZ31B). This study investigates the effects of the aging time of the sol materials for the inorganic coating and its combination with PCL on the corrosion properties of AZ31B. The corrosion behavior was examined using potentiodynamic polarization and electrochemical impedance spectroscopy in a 3.5 wt% NaCl at room temperature. The organic monolayer was prepared by a sol-gel route using tetraethyl orthosilicate (TEOS) and 3-mercaptopropyltrimethoxysilane (MPTMS) precursors. The prolonged aging time of the TEOS/MPTMS sol, from 1 to 7 days, increases the hydrophobicity, roughness, and corrosion resistance of the coating. The combination of TEOS/MPTMS with PCL decreases the hydrophobicity of the coating layer. Moreover, the hybrid double-layer coating of TEOS/MPTMS with PCL on the AZ31B alloy significantly enhances the corrosion resistance by 10 times compared to that of the monolayer TEOS/MPTMS coating.</p><h3>Graphical Abstract</h3><div><figure><div><div><picture><source><img></source></picture></div><div><p>Schematic of the inorganic sol–gel TEOS/MPTMS coating route (<b>a</b>) and organic polycaprolactone (PCL) coating route (<b>b</b>)</p></div></div></figure></div></div>","PeriodicalId":664,"journal":{"name":"Journal of Sol-Gel Science and Technology","volume":"115 1","pages":"171 - 187"},"PeriodicalIF":3.2000,"publicationDate":"2025-05-28","publicationTypes":"Journal Article","fieldsOfStudy":null,"isOpenAccess":false,"openAccessPdf":"","citationCount":"0","resultStr":"{\"title\":\"Hybrid inorganic sol-gel silane/organic polycaprolactone coatings for enhanced corrosion protection on AZ31B magnesium alloy\",\"authors\":\"Lutviasari Nuraini,&nbsp;Joko Triwardono,&nbsp;Rahma Nisa Hakim,&nbsp;Rahadian Roberto,&nbsp;Fadli Rohman,&nbsp;Yudi Nugraha Thaha,&nbsp;Albertus Deny Heri Setyawan,&nbsp;Aprilia Erryani\",\"doi\":\"10.1007/s10971-025-06804-7\",\"DOIUrl\":null,\"url\":null,\"abstract\":\"<div><p>The silane inorganic coating and its hybrid with organic polycaprolactone (PCL) have been developed to improve the corrosion resistance of a magnesium alloy (AZ31B). This study investigates the effects of the aging time of the sol materials for the inorganic coating and its combination with PCL on the corrosion properties of AZ31B. The corrosion behavior was examined using potentiodynamic polarization and electrochemical impedance spectroscopy in a 3.5 wt% NaCl at room temperature. The organic monolayer was prepared by a sol-gel route using tetraethyl orthosilicate (TEOS) and 3-mercaptopropyltrimethoxysilane (MPTMS) precursors. The prolonged aging time of the TEOS/MPTMS sol, from 1 to 7 days, increases the hydrophobicity, roughness, and corrosion resistance of the coating. The combination of TEOS/MPTMS with PCL decreases the hydrophobicity of the coating layer. Moreover, the hybrid double-layer coating of TEOS/MPTMS with PCL on the AZ31B alloy significantly enhances the corrosion resistance by 10 times compared to that of the monolayer TEOS/MPTMS coating.</p><h3>Graphical Abstract</h3><div><figure><div><div><picture><source><img></source></picture></div><div><p>Schematic of the inorganic sol–gel TEOS/MPTMS coating route (<b>a</b>) and organic polycaprolactone (PCL) coating route (<b>b</b>)</p></div></div></figure></div></div>\",\"PeriodicalId\":664,\"journal\":{\"name\":\"Journal of Sol-Gel Science and Technology\",\"volume\":\"115 1\",\"pages\":\"171 - 187\"},\"PeriodicalIF\":3.2000,\"publicationDate\":\"2025-05-28\",\"publicationTypes\":\"Journal Article\",\"fieldsOfStudy\":null,\"isOpenAccess\":false,\"openAccessPdf\":\"\",\"citationCount\":\"0\",\"resultStr\":null,\"platform\":\"Semanticscholar\",\"paperid\":null,\"PeriodicalName\":\"Journal of Sol-Gel Science and Technology\",\"FirstCategoryId\":\"88\",\"ListUrlMain\":\"https://link.springer.com/article/10.1007/s10971-025-06804-7\",\"RegionNum\":4,\"RegionCategory\":\"材料科学\",\"ArticlePicture\":[],\"TitleCN\":null,\"AbstractTextCN\":null,\"PMCID\":null,\"EPubDate\":\"\",\"PubModel\":\"\",\"JCR\":\"Q2\",\"JCRName\":\"MATERIALS SCIENCE, CERAMICS\",\"Score\":null,\"Total\":0}","platform":"Semanticscholar","paperid":null,"PeriodicalName":"Journal of Sol-Gel Science and Technology","FirstCategoryId":"88","ListUrlMain":"https://link.springer.com/article/10.1007/s10971-025-06804-7","RegionNum":4,"RegionCategory":"材料科学","ArticlePicture":[],"TitleCN":null,"AbstractTextCN":null,"PMCID":null,"EPubDate":"","PubModel":"","JCR":"Q2","JCRName":"MATERIALS SCIENCE, CERAMICS","Score":null,"Total":0}
引用次数: 0

摘要

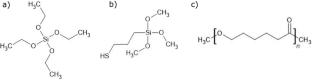
为了提高镁合金(AZ31B)的耐腐蚀性能,研制了硅烷无机涂层及其与有机聚己内酯(PCL)的杂化。研究了无机涂层溶胶材料的老化时间及其与PCL的结合对AZ31B腐蚀性能的影响。采用动电位极化和电化学阻抗谱法研究了合金在3.5 wt% NaCl溶液中的室温腐蚀行为。以正硅酸四乙酯(TEOS)和3-巯基丙基三甲氧基硅烷(MPTMS)为前驱体,采用溶胶-凝胶法制备了有机单分子膜。TEOS/MPTMS溶胶的老化时间从1天延长到7天,提高了涂层的疏水性、粗糙度和耐腐蚀性。TEOS/MPTMS与PCL的结合降低了涂层的疏水性。此外,在AZ31B合金表面制备TEOS/MPTMS与PCL复合双层涂层,其耐蚀性比单层TEOS/MPTMS涂层提高了10倍。无机溶胶-凝胶TEOS/MPTMS涂层路线(a)和有机聚己内酯(PCL)涂层路线(b)示意图
本文章由计算机程序翻译,如有差异,请以英文原文为准。

Hybrid inorganic sol-gel silane/organic polycaprolactone coatings for enhanced corrosion protection on AZ31B magnesium alloy

Hybrid inorganic sol-gel silane/organic polycaprolactone coatings for enhanced corrosion protection on AZ31B magnesium alloy

The silane inorganic coating and its hybrid with organic polycaprolactone (PCL) have been developed to improve the corrosion resistance of a magnesium alloy (AZ31B). This study investigates the effects of the aging time of the sol materials for the inorganic coating and its combination with PCL on the corrosion properties of AZ31B. The corrosion behavior was examined using potentiodynamic polarization and electrochemical impedance spectroscopy in a 3.5 wt% NaCl at room temperature. The organic monolayer was prepared by a sol-gel route using tetraethyl orthosilicate (TEOS) and 3-mercaptopropyltrimethoxysilane (MPTMS) precursors. The prolonged aging time of the TEOS/MPTMS sol, from 1 to 7 days, increases the hydrophobicity, roughness, and corrosion resistance of the coating. The combination of TEOS/MPTMS with PCL decreases the hydrophobicity of the coating layer. Moreover, the hybrid double-layer coating of TEOS/MPTMS with PCL on the AZ31B alloy significantly enhances the corrosion resistance by 10 times compared to that of the monolayer TEOS/MPTMS coating.

Graphical Abstract

Schematic of the inorganic sol–gel TEOS/MPTMS coating route (a) and organic polycaprolactone (PCL) coating route (b)

求助全文
通过发布文献求助,成功后即可免费获取论文全文。 去求助
来源期刊
Journal of Sol-Gel Science and Technology
Journal of Sol-Gel Science and Technology 工程技术-材料科学:硅酸盐
CiteScore
4.70
自引率
4.00%
发文量
280
审稿时长
2.1 months
期刊介绍: The primary objective of the Journal of Sol-Gel Science and Technology (JSST), the official journal of the International Sol-Gel Society, is to provide an international forum for the dissemination of scientific, technological, and general knowledge about materials processed by chemical nanotechnologies known as the "sol-gel" process. The materials of interest include gels, gel-derived glasses, ceramics in form of nano- and micro-powders, bulk, fibres, thin films and coatings as well as more recent materials such as hybrid organic-inorganic materials and composites. Such materials exhibit a wide range of optical, electronic, magnetic, chemical, environmental, and biomedical properties and functionalities. Methods for producing sol-gel-derived materials and the industrial uses of these materials are also of great interest.
×
引用
GB/T 7714-2015
复制
MLA
复制
APA
复制
导出至
BibTeX EndNote RefMan NoteFirst NoteExpress
×
提示
您的信息不完整,为了账户安全,请先补充。
现在去补充
×
提示
您因"违规操作"
具体请查看互助需知
我知道了
×
提示
确定
请完成安全验证×
copy
已复制链接
快去分享给好友吧!
我知道了
右上角分享
点击右上角分享
0
联系我们:info@booksci.cn Book学术提供免费学术资源搜索服务,方便国内外学者检索中英文文献。致力于提供最便捷和优质的服务体验。 Copyright © 2023 布克学术 All rights reserved.
京ICP备2023020795号-1
ghs 京公网安备 11010802042870号
Book学术文献互助
Book学术文献互助群
群 号:604180095
Book学术官方微信