磺化三聚氰胺甲醛树脂在Biginelli反应中的催化作用:3,4 -二氢嘧啶酮的合成

IF 1.4 4区 综合性期刊 Q2 MULTIDISCIPLINARY SCIENCES
Dariush Khalili, Fatemeh Rezaei
{"title":"磺化三聚氰胺甲醛树脂在Biginelli反应中的催化作用:3,4 -二氢嘧啶酮的合成","authors":"Dariush Khalili,&nbsp;Fatemeh Rezaei","doi":"10.1007/s40995-025-01795-0","DOIUrl":null,"url":null,"abstract":"<div><p>In this study, we examined the potential ability of the sulfonated melamine–formaldehyde resin (SMFR) as an acidic heterogeneous catalyst in the multicomponent synthesis of 3, 4-dihydropyrimidine. The incorporation of sulfonic acid groups into the melamine–formaldehyde resin framework resulted in a highly active and recyclable catalyst, promoting reactions under mild and environmentally friendly conditions. Key advantages of this method include short reaction times, high product yields, and efficient catalysis with minimal catalyst loading. The synthesized compounds were structurally confirmed through FT-IR, <sup>13</sup>C NMR, and <sup>1</sup>H NMR spectroscopy, demonstrating the efficiency and reliability of the catalytic system under green synthesis conditions.</p><h3>Graphical Abstract</h3>\n<div><figure><div><div><picture><source><img></source></picture></div></div></figure></div></div>","PeriodicalId":600,"journal":{"name":"Iranian Journal of Science and Technology, Transactions A: Science","volume":"49 4","pages":"943 - 952"},"PeriodicalIF":1.4000,"publicationDate":"2025-03-24","publicationTypes":"Journal Article","fieldsOfStudy":null,"isOpenAccess":false,"openAccessPdf":"","citationCount":"0","resultStr":"{\"title\":\"Sulfonated Melamine–Formaldehyde Resin as a Robust Catalyst for Biginelli Reactions: Synthesis of 3, 4-Dihydropyrimidinones\",\"authors\":\"Dariush Khalili,&nbsp;Fatemeh Rezaei\",\"doi\":\"10.1007/s40995-025-01795-0\",\"DOIUrl\":null,\"url\":null,\"abstract\":\"<div><p>In this study, we examined the potential ability of the sulfonated melamine–formaldehyde resin (SMFR) as an acidic heterogeneous catalyst in the multicomponent synthesis of 3, 4-dihydropyrimidine. The incorporation of sulfonic acid groups into the melamine–formaldehyde resin framework resulted in a highly active and recyclable catalyst, promoting reactions under mild and environmentally friendly conditions. Key advantages of this method include short reaction times, high product yields, and efficient catalysis with minimal catalyst loading. The synthesized compounds were structurally confirmed through FT-IR, <sup>13</sup>C NMR, and <sup>1</sup>H NMR spectroscopy, demonstrating the efficiency and reliability of the catalytic system under green synthesis conditions.</p><h3>Graphical Abstract</h3>\\n<div><figure><div><div><picture><source><img></source></picture></div></div></figure></div></div>\",\"PeriodicalId\":600,\"journal\":{\"name\":\"Iranian Journal of Science and Technology, Transactions A: Science\",\"volume\":\"49 4\",\"pages\":\"943 - 952\"},\"PeriodicalIF\":1.4000,\"publicationDate\":\"2025-03-24\",\"publicationTypes\":\"Journal Article\",\"fieldsOfStudy\":null,\"isOpenAccess\":false,\"openAccessPdf\":\"\",\"citationCount\":\"0\",\"resultStr\":null,\"platform\":\"Semanticscholar\",\"paperid\":null,\"PeriodicalName\":\"Iranian Journal of Science and Technology, Transactions A: Science\",\"FirstCategoryId\":\"4\",\"ListUrlMain\":\"https://link.springer.com/article/10.1007/s40995-025-01795-0\",\"RegionNum\":4,\"RegionCategory\":\"综合性期刊\",\"ArticlePicture\":[],\"TitleCN\":null,\"AbstractTextCN\":null,\"PMCID\":null,\"EPubDate\":\"\",\"PubModel\":\"\",\"JCR\":\"Q2\",\"JCRName\":\"MULTIDISCIPLINARY SCIENCES\",\"Score\":null,\"Total\":0}","platform":"Semanticscholar","paperid":null,"PeriodicalName":"Iranian Journal of Science and Technology, Transactions A: Science","FirstCategoryId":"4","ListUrlMain":"https://link.springer.com/article/10.1007/s40995-025-01795-0","RegionNum":4,"RegionCategory":"综合性期刊","ArticlePicture":[],"TitleCN":null,"AbstractTextCN":null,"PMCID":null,"EPubDate":"","PubModel":"","JCR":"Q2","JCRName":"MULTIDISCIPLINARY SCIENCES","Score":null,"Total":0}
引用次数: 0

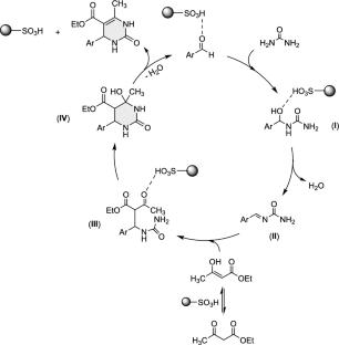
摘要

在这项研究中,我们研究了磺化三聚氰胺甲醛树脂(SMFR)作为多组分合成3,4 -二氢嘧啶的酸性非均相催化剂的潜在能力。在三聚氰胺-甲醛树脂框架中加入磺酸基团,产生了一种高活性和可回收的催化剂,在温和和环保的条件下促进了反应。该方法的主要优点包括反应时间短,产品收率高,催化剂负载少,催化效率高。通过FT-IR、13C NMR和1H NMR对合成的化合物进行了结构验证,证明了该催化体系在绿色合成条件下的效率和可靠性。图形抽象
本文章由计算机程序翻译,如有差异,请以英文原文为准。

Sulfonated Melamine–Formaldehyde Resin as a Robust Catalyst for Biginelli Reactions: Synthesis of 3, 4-Dihydropyrimidinones

Sulfonated Melamine–Formaldehyde Resin as a Robust Catalyst for Biginelli Reactions: Synthesis of 3, 4-Dihydropyrimidinones

In this study, we examined the potential ability of the sulfonated melamine–formaldehyde resin (SMFR) as an acidic heterogeneous catalyst in the multicomponent synthesis of 3, 4-dihydropyrimidine. The incorporation of sulfonic acid groups into the melamine–formaldehyde resin framework resulted in a highly active and recyclable catalyst, promoting reactions under mild and environmentally friendly conditions. Key advantages of this method include short reaction times, high product yields, and efficient catalysis with minimal catalyst loading. The synthesized compounds were structurally confirmed through FT-IR, 13C NMR, and 1H NMR spectroscopy, demonstrating the efficiency and reliability of the catalytic system under green synthesis conditions.

Graphical Abstract

求助全文
通过发布文献求助,成功后即可免费获取论文全文。 去求助
来源期刊
CiteScore
4.00
自引率
5.90%
发文量
122
审稿时长
>12 weeks
期刊介绍: The aim of this journal is to foster the growth of scientific research among Iranian scientists and to provide a medium which brings the fruits of their research to the attention of the world’s scientific community. The journal publishes original research findings – which may be theoretical, experimental or both - reviews, techniques, and comments spanning all subjects in the field of basic sciences, including Physics, Chemistry, Mathematics, Statistics, Biology and Earth Sciences
×
引用
GB/T 7714-2015
复制
MLA
复制
APA
复制
导出至
BibTeX EndNote RefMan NoteFirst NoteExpress
×
提示
您的信息不完整,为了账户安全,请先补充。
现在去补充
×
提示
您因"违规操作"
具体请查看互助需知
我知道了
×
提示
确定
请完成安全验证×
copy
已复制链接
快去分享给好友吧!
我知道了
右上角分享
点击右上角分享
0
联系我们:info@booksci.cn Book学术提供免费学术资源搜索服务,方便国内外学者检索中英文文献。致力于提供最便捷和优质的服务体验。 Copyright © 2023 布克学术 All rights reserved.
京ICP备2023020795号-1
ghs 京公网安备 11010802042870号
Book学术文献互助
Book学术文献互助群
群 号:604180095
Book学术官方微信