评价安托芬对谷子生理性能和产量的双重影响:控制谷粒核孢子菌感染

IF 1.1 4区 农林科学 Q4 PLANT SCIENCES
Xin Gui, Jiaojiao Lu, Mei Wang, Yanbo Huo, Jing Wang, Mingqing Liu, Zhijun Zhang
{"title":"评价安托芬对谷子生理性能和产量的双重影响:控制谷粒核孢子菌感染","authors":"Xin Gui,&nbsp;Jiaojiao Lu,&nbsp;Mei Wang,&nbsp;Yanbo Huo,&nbsp;Jing Wang,&nbsp;Mingqing Liu,&nbsp;Zhijun Zhang","doi":"10.1007/s13313-025-01059-w","DOIUrl":null,"url":null,"abstract":"<div><p><i>Sclerospora graminicola</i>, a destructive oomycete pathogen, is the causal agent of downy mildew in foxtail millet (<i>Setaria italica</i> L.), a devastating disease that severely impacts crop productivity. Antofine, an alkaloid isolated from <i>Cynanchum komarovii</i> Al. Iljinski, exhibits significant inhibitory effects on <i>S. graminicola</i>. This study evaluated the effects of 2% antofine suspension (applied via seed coating) on physiological traits, nutritional quality, and yield in foxtail millet. The results revealed that 2% antofine treatment significantly enhanced plant growth parameters, including plant height, total root length, and root-shoot ratio during both seedling and jointing stages. The enzymatic analysis revealed that 2% antofine treatment induced peak activity of key defense-related enzymes at the elongation stage, with catalase (CAT), peroxidase (POD), superoxide dismutase (SOD), and phenylalanine ammonia-lyase (PAL) showing significant increases of 11.06%, 34.70%, 345.67%, and 8.68%, respectively, compared to the control. Field trials demonstrated a 66.81% disease control efficacy, accompanied by a 22.01% yield increase (4245.58 kg/ha). Notably, antofine application significantly improved grain quality, elevating total sugar (8.26%), soluble sugar (67.32%), yellow pigment (12.04%), vitamin C (46.29%) and crude protein (30.64%) contents. These results collectively indicate that antofine functions as a multifunctional agent that not only suppresses <i>S. graminicola</i> infection but also activates plant defense mechanisms, enhances stress tolerance, and improves crop productivity and nutritional value. The study provides compelling evidence for antofine's dual role as both an effective biocontrol agent and a plant growth regulator in foxtail millet cultivation systems.</p></div>","PeriodicalId":8598,"journal":{"name":"Australasian Plant Pathology","volume":"54 3","pages":"399 - 411"},"PeriodicalIF":1.1000,"publicationDate":"2025-06-19","publicationTypes":"Journal Article","fieldsOfStudy":null,"isOpenAccess":false,"openAccessPdf":"","citationCount":"0","resultStr":"{\"title\":\"Evaluating antofine's dual effects: Controlling Sclerospora graminicola infection while improving physiological performance and yield in foxtail millet\",\"authors\":\"Xin Gui,&nbsp;Jiaojiao Lu,&nbsp;Mei Wang,&nbsp;Yanbo Huo,&nbsp;Jing Wang,&nbsp;Mingqing Liu,&nbsp;Zhijun Zhang\",\"doi\":\"10.1007/s13313-025-01059-w\",\"DOIUrl\":null,\"url\":null,\"abstract\":\"<div><p><i>Sclerospora graminicola</i>, a destructive oomycete pathogen, is the causal agent of downy mildew in foxtail millet (<i>Setaria italica</i> L.), a devastating disease that severely impacts crop productivity. Antofine, an alkaloid isolated from <i>Cynanchum komarovii</i> Al. Iljinski, exhibits significant inhibitory effects on <i>S. graminicola</i>. This study evaluated the effects of 2% antofine suspension (applied via seed coating) on physiological traits, nutritional quality, and yield in foxtail millet. The results revealed that 2% antofine treatment significantly enhanced plant growth parameters, including plant height, total root length, and root-shoot ratio during both seedling and jointing stages. The enzymatic analysis revealed that 2% antofine treatment induced peak activity of key defense-related enzymes at the elongation stage, with catalase (CAT), peroxidase (POD), superoxide dismutase (SOD), and phenylalanine ammonia-lyase (PAL) showing significant increases of 11.06%, 34.70%, 345.67%, and 8.68%, respectively, compared to the control. Field trials demonstrated a 66.81% disease control efficacy, accompanied by a 22.01% yield increase (4245.58 kg/ha). Notably, antofine application significantly improved grain quality, elevating total sugar (8.26%), soluble sugar (67.32%), yellow pigment (12.04%), vitamin C (46.29%) and crude protein (30.64%) contents. These results collectively indicate that antofine functions as a multifunctional agent that not only suppresses <i>S. graminicola</i> infection but also activates plant defense mechanisms, enhances stress tolerance, and improves crop productivity and nutritional value. The study provides compelling evidence for antofine's dual role as both an effective biocontrol agent and a plant growth regulator in foxtail millet cultivation systems.</p></div>\",\"PeriodicalId\":8598,\"journal\":{\"name\":\"Australasian Plant Pathology\",\"volume\":\"54 3\",\"pages\":\"399 - 411\"},\"PeriodicalIF\":1.1000,\"publicationDate\":\"2025-06-19\",\"publicationTypes\":\"Journal Article\",\"fieldsOfStudy\":null,\"isOpenAccess\":false,\"openAccessPdf\":\"\",\"citationCount\":\"0\",\"resultStr\":null,\"platform\":\"Semanticscholar\",\"paperid\":null,\"PeriodicalName\":\"Australasian Plant Pathology\",\"FirstCategoryId\":\"97\",\"ListUrlMain\":\"https://link.springer.com/article/10.1007/s13313-025-01059-w\",\"RegionNum\":4,\"RegionCategory\":\"农林科学\",\"ArticlePicture\":[],\"TitleCN\":null,\"AbstractTextCN\":null,\"PMCID\":null,\"EPubDate\":\"\",\"PubModel\":\"\",\"JCR\":\"Q4\",\"JCRName\":\"PLANT SCIENCES\",\"Score\":null,\"Total\":0}","platform":"Semanticscholar","paperid":null,"PeriodicalName":"Australasian Plant Pathology","FirstCategoryId":"97","ListUrlMain":"https://link.springer.com/article/10.1007/s13313-025-01059-w","RegionNum":4,"RegionCategory":"农林科学","ArticlePicture":[],"TitleCN":null,"AbstractTextCN":null,"PMCID":null,"EPubDate":"","PubModel":"","JCR":"Q4","JCRName":"PLANT SCIENCES","Score":null,"Total":0}
引用次数: 0

摘要

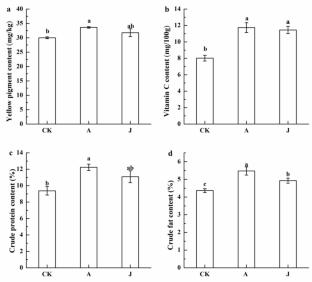
谷粒霜霉病是一种破坏性的卵菌病原体,是谷子霜霉病的致病因子,是一种严重影响作物生产力的破坏性疾病。安托芬是一种从金钱菊中分离得到的生物碱,对谷草球菌有明显的抑制作用。本试验研究了2%安托芬悬浮液(通过种包衣施用)对谷子生理性状、营养品质和产量的影响。结果表明,2%的安托芬处理显著提高了苗期和拔节期植株的生长参数,包括株高、总根长和根冠比。酶学分析表明,2%安托芬处理在伸长期诱导关键防御相关酶活性达到峰值,过氧化氢酶(CAT)、过氧化物酶(POD)、超氧化物歧化酶(SOD)和苯丙氨酸解氨酶(PAL)活性分别较对照显著提高11.06%、34.70%、345.67%和8.68%。田间试验表明,防治效果为66.81%,增产22.01%(4245.58公斤/公顷)。施用antofine显著改善了籽粒品质,提高了籽粒总糖(8.26%)、可溶性糖(67.32%)、黄色素(12.04%)、维生素C(46.29%)和粗蛋白质(30.64%)含量。综上所述,安托芬作为一种多功能制剂,不仅具有抑制稻瘟病的作用,还具有激活植物防御机制、增强抗逆性、提高作物产量和营养价值的作用。本研究为安托芬在谷子栽培系统中作为有效的生物防治剂和植物生长调节剂的双重作用提供了强有力的证据。
本文章由计算机程序翻译,如有差异,请以英文原文为准。

Evaluating antofine's dual effects: Controlling Sclerospora graminicola infection while improving physiological performance and yield in foxtail millet

Evaluating antofine's dual effects: Controlling Sclerospora graminicola infection while improving physiological performance and yield in foxtail millet

Sclerospora graminicola, a destructive oomycete pathogen, is the causal agent of downy mildew in foxtail millet (Setaria italica L.), a devastating disease that severely impacts crop productivity. Antofine, an alkaloid isolated from Cynanchum komarovii Al. Iljinski, exhibits significant inhibitory effects on S. graminicola. This study evaluated the effects of 2% antofine suspension (applied via seed coating) on physiological traits, nutritional quality, and yield in foxtail millet. The results revealed that 2% antofine treatment significantly enhanced plant growth parameters, including plant height, total root length, and root-shoot ratio during both seedling and jointing stages. The enzymatic analysis revealed that 2% antofine treatment induced peak activity of key defense-related enzymes at the elongation stage, with catalase (CAT), peroxidase (POD), superoxide dismutase (SOD), and phenylalanine ammonia-lyase (PAL) showing significant increases of 11.06%, 34.70%, 345.67%, and 8.68%, respectively, compared to the control. Field trials demonstrated a 66.81% disease control efficacy, accompanied by a 22.01% yield increase (4245.58 kg/ha). Notably, antofine application significantly improved grain quality, elevating total sugar (8.26%), soluble sugar (67.32%), yellow pigment (12.04%), vitamin C (46.29%) and crude protein (30.64%) contents. These results collectively indicate that antofine functions as a multifunctional agent that not only suppresses S. graminicola infection but also activates plant defense mechanisms, enhances stress tolerance, and improves crop productivity and nutritional value. The study provides compelling evidence for antofine's dual role as both an effective biocontrol agent and a plant growth regulator in foxtail millet cultivation systems.

求助全文
通过发布文献求助,成功后即可免费获取论文全文。 去求助
来源期刊
Australasian Plant Pathology
Australasian Plant Pathology 生物-植物科学
CiteScore
2.90
自引率
0.00%
发文量
51
审稿时长
3 months
期刊介绍: Australasian Plant Pathology presents new and significant research in all facets of the field of plant pathology. Dedicated to a worldwide readership, the journal focuses on research in the Australasian region, including Australia, New Zealand and Papua New Guinea, as well as the Indian, Pacific regions. Australasian Plant Pathology is the official journal of the Australasian Plant Pathology Society.
×
引用
GB/T 7714-2015
复制
MLA
复制
APA
复制
导出至
BibTeX EndNote RefMan NoteFirst NoteExpress
×
提示
您的信息不完整,为了账户安全,请先补充。
现在去补充
×
提示
您因"违规操作"
具体请查看互助需知
我知道了
×
提示
确定
请完成安全验证×
copy
已复制链接
快去分享给好友吧!
我知道了
右上角分享
点击右上角分享
0
联系我们:info@booksci.cn Book学术提供免费学术资源搜索服务,方便国内外学者检索中英文文献。致力于提供最便捷和优质的服务体验。 Copyright © 2023 布克学术 All rights reserved.
京ICP备2023020795号-1
ghs 京公网安备 11010802042870号
Book学术文献互助
Book学术文献互助群
群 号:604180095
Book学术官方微信