废瓷砖和玻璃粉沥青混凝土的力学、电磁和微形貌性能

IF 3.9 3区 工程技术 Q2 CONSTRUCTION & BUILDING TECHNOLOGY
Hatice Merve Annagür, Orhan Kaya, Olcay Altıntaş, Muharrem Karaaslan
{"title":"废瓷砖和玻璃粉沥青混凝土的力学、电磁和微形貌性能","authors":"Hatice Merve Annagür,&nbsp;Orhan Kaya,&nbsp;Olcay Altıntaş,&nbsp;Muharrem Karaaslan","doi":"10.1617/s11527-025-02725-7","DOIUrl":null,"url":null,"abstract":"<div><p>The mechanical and electromagnetic properties of asphalt concrete with waste glass powder and ceramic material additives were investigated for possible usage of these voluminous waste products as environmentally friendly aggregates in asphalt mixtures for both regular asphalt pavements and wireless electric roads. Two sets of asphalt mixes containing five different ratios of glass powder as a filler (0%, 1.25%, 2.5%, 3.75% and 5%, by weight of the aggregate blend) and four different ratios of ceramic materials as an aggregate replacement (0%, 5%, 15% and 25%) were prepared. The mechanical testing included Marshall stability (MS) and flow tests along with other volumetric properties of the mixes based on the Marshall mix design methodology. Microscopic analyses were performed in order to delineate the relationships, and interactions between the constituents making up the mixtures.The results revealed that the changes in the mechanical and volumetric properties of the mixes were comparably small when waste glass powder and ceramic were used in lower ratios. The asphalt mixtures mostly had lower electromagnetic transmission and higher electromagnetic shielding effectiveness compared to the ones with no waste additives. Up to 25% glass powder and 5% ceramic contents provide satisfactory performance though some limitations indicate lower ratios, especially for the ceramic waste. Micromorphological analysis indicates critical information on the relationships and interactions between the constituents making up the mixtures and, in turn, the skeletal stability. Measurements on the fully developed asphalt binder films indicate minimum and maximum of 8 μm and 150 μm film thicknesses, respectively.</p></div>","PeriodicalId":691,"journal":{"name":"Materials and Structures","volume":"58 6","pages":""},"PeriodicalIF":3.9000,"publicationDate":"2025-07-16","publicationTypes":"Journal Article","fieldsOfStudy":null,"isOpenAccess":false,"openAccessPdf":"","citationCount":"0","resultStr":"{\"title\":\"Mechanical, electromagnetic and micromorphological properties of the asphalt concrete with waste ceramic tiles and glass powder\",\"authors\":\"Hatice Merve Annagür,&nbsp;Orhan Kaya,&nbsp;Olcay Altıntaş,&nbsp;Muharrem Karaaslan\",\"doi\":\"10.1617/s11527-025-02725-7\",\"DOIUrl\":null,\"url\":null,\"abstract\":\"<div><p>The mechanical and electromagnetic properties of asphalt concrete with waste glass powder and ceramic material additives were investigated for possible usage of these voluminous waste products as environmentally friendly aggregates in asphalt mixtures for both regular asphalt pavements and wireless electric roads. Two sets of asphalt mixes containing five different ratios of glass powder as a filler (0%, 1.25%, 2.5%, 3.75% and 5%, by weight of the aggregate blend) and four different ratios of ceramic materials as an aggregate replacement (0%, 5%, 15% and 25%) were prepared. The mechanical testing included Marshall stability (MS) and flow tests along with other volumetric properties of the mixes based on the Marshall mix design methodology. Microscopic analyses were performed in order to delineate the relationships, and interactions between the constituents making up the mixtures.The results revealed that the changes in the mechanical and volumetric properties of the mixes were comparably small when waste glass powder and ceramic were used in lower ratios. The asphalt mixtures mostly had lower electromagnetic transmission and higher electromagnetic shielding effectiveness compared to the ones with no waste additives. Up to 25% glass powder and 5% ceramic contents provide satisfactory performance though some limitations indicate lower ratios, especially for the ceramic waste. Micromorphological analysis indicates critical information on the relationships and interactions between the constituents making up the mixtures and, in turn, the skeletal stability. Measurements on the fully developed asphalt binder films indicate minimum and maximum of 8 μm and 150 μm film thicknesses, respectively.</p></div>\",\"PeriodicalId\":691,\"journal\":{\"name\":\"Materials and Structures\",\"volume\":\"58 6\",\"pages\":\"\"},\"PeriodicalIF\":3.9000,\"publicationDate\":\"2025-07-16\",\"publicationTypes\":\"Journal Article\",\"fieldsOfStudy\":null,\"isOpenAccess\":false,\"openAccessPdf\":\"\",\"citationCount\":\"0\",\"resultStr\":null,\"platform\":\"Semanticscholar\",\"paperid\":null,\"PeriodicalName\":\"Materials and Structures\",\"FirstCategoryId\":\"5\",\"ListUrlMain\":\"https://link.springer.com/article/10.1617/s11527-025-02725-7\",\"RegionNum\":3,\"RegionCategory\":\"工程技术\",\"ArticlePicture\":[],\"TitleCN\":null,\"AbstractTextCN\":null,\"PMCID\":null,\"EPubDate\":\"\",\"PubModel\":\"\",\"JCR\":\"Q2\",\"JCRName\":\"CONSTRUCTION & BUILDING TECHNOLOGY\",\"Score\":null,\"Total\":0}","platform":"Semanticscholar","paperid":null,"PeriodicalName":"Materials and Structures","FirstCategoryId":"5","ListUrlMain":"https://link.springer.com/article/10.1617/s11527-025-02725-7","RegionNum":3,"RegionCategory":"工程技术","ArticlePicture":[],"TitleCN":null,"AbstractTextCN":null,"PMCID":null,"EPubDate":"","PubModel":"","JCR":"Q2","JCRName":"CONSTRUCTION & BUILDING TECHNOLOGY","Score":null,"Total":0}
引用次数: 0

摘要

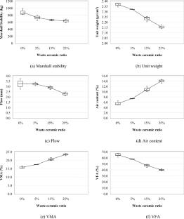
研究了含废玻璃粉和陶瓷材料添加剂的沥青混凝土的机械和电磁性能,以研究这些大量废料作为环保骨料在普通沥青路面和无线电力道路的沥青混合料中的可能用途。制备了两组沥青混合料,其中含有五种不同比例的玻璃粉作为填料(按骨料混合料重量计为0%、1.25%、2.5%、3.75%和5%)和四种不同比例的陶瓷材料作为骨料替代(0%、5%、15%和25%)。力学测试包括马歇尔稳定性(MS)和流动测试,以及基于马歇尔混合料设计方法的混合料的其他体积特性。显微分析进行,以描绘的关系,以及组成混合物的成分之间的相互作用。结果表明,当废玻璃粉和陶瓷的比例较低时,混合料的力学性能和体积性能变化较小。与未添加废添加剂的沥青混合料相比,大部分沥青混合料具有较低的电磁透射率和较高的电磁屏蔽效能。高达25%的玻璃粉和5%的陶瓷含量提供了令人满意的性能,尽管一些限制表明较低的比例,特别是陶瓷废料。微观形态分析表明了组成混合物的成分之间的关系和相互作用的关键信息,进而表明了骨骼的稳定性。对完全发育的沥青胶结膜的测量表明,膜厚度最小和最大分别为8 μm和150 μm。
本文章由计算机程序翻译,如有差异,请以英文原文为准。

Mechanical, electromagnetic and micromorphological properties of the asphalt concrete with waste ceramic tiles and glass powder

Mechanical, electromagnetic and micromorphological properties of the asphalt concrete with waste ceramic tiles and glass powder

The mechanical and electromagnetic properties of asphalt concrete with waste glass powder and ceramic material additives were investigated for possible usage of these voluminous waste products as environmentally friendly aggregates in asphalt mixtures for both regular asphalt pavements and wireless electric roads. Two sets of asphalt mixes containing five different ratios of glass powder as a filler (0%, 1.25%, 2.5%, 3.75% and 5%, by weight of the aggregate blend) and four different ratios of ceramic materials as an aggregate replacement (0%, 5%, 15% and 25%) were prepared. The mechanical testing included Marshall stability (MS) and flow tests along with other volumetric properties of the mixes based on the Marshall mix design methodology. Microscopic analyses were performed in order to delineate the relationships, and interactions between the constituents making up the mixtures.The results revealed that the changes in the mechanical and volumetric properties of the mixes were comparably small when waste glass powder and ceramic were used in lower ratios. The asphalt mixtures mostly had lower electromagnetic transmission and higher electromagnetic shielding effectiveness compared to the ones with no waste additives. Up to 25% glass powder and 5% ceramic contents provide satisfactory performance though some limitations indicate lower ratios, especially for the ceramic waste. Micromorphological analysis indicates critical information on the relationships and interactions between the constituents making up the mixtures and, in turn, the skeletal stability. Measurements on the fully developed asphalt binder films indicate minimum and maximum of 8 μm and 150 μm film thicknesses, respectively.

求助全文
通过发布文献求助,成功后即可免费获取论文全文。 去求助
来源期刊
Materials and Structures
Materials and Structures 工程技术-材料科学:综合
CiteScore
6.40
自引率
7.90%
发文量
222
审稿时长
5.9 months
期刊介绍: Materials and Structures, the flagship publication of the International Union of Laboratories and Experts in Construction Materials, Systems and Structures (RILEM), provides a unique international and interdisciplinary forum for new research findings on the performance of construction materials. A leader in cutting-edge research, the journal is dedicated to the publication of high quality papers examining the fundamental properties of building materials, their characterization and processing techniques, modeling, standardization of test methods, and the application of research results in building and civil engineering. Materials and Structures also publishes comprehensive reports prepared by the RILEM’s technical committees.
×
引用
GB/T 7714-2015
复制
MLA
复制
APA
复制
导出至
BibTeX EndNote RefMan NoteFirst NoteExpress
×
提示
您的信息不完整,为了账户安全,请先补充。
现在去补充
×
提示
您因"违规操作"
具体请查看互助需知
我知道了
×
提示
确定
请完成安全验证×
copy
已复制链接
快去分享给好友吧!
我知道了
右上角分享
点击右上角分享
0
联系我们:info@booksci.cn Book学术提供免费学术资源搜索服务,方便国内外学者检索中英文文献。致力于提供最便捷和优质的服务体验。 Copyright © 2023 布克学术 All rights reserved.
京ICP备2023020795号-1
ghs 京公网安备 11010802042870号
Book学术文献互助
Book学术文献互助群
群 号:604180095
Book学术官方微信