Pr5Mo3O16+δ结构中镨取代镉和铅的研究

IF 1.5 3区 化学 Q3 CHEMISTRY, INORGANIC & NUCLEAR
A. O. Sidorenko, T. S. Berezhnaya, L. V. Pasechnik, I. Y. Ukleina, A. V. Guseva, K. A. Chebyshev
{"title":"Pr5Mo3O16+δ结构中镨取代镉和铅的研究","authors":"A. O. Sidorenko,&nbsp;T. S. Berezhnaya,&nbsp;L. V. Pasechnik,&nbsp;I. Y. Ukleina,&nbsp;A. V. Guseva,&nbsp;K. A. Chebyshev","doi":"10.1134/S0036023624603179","DOIUrl":null,"url":null,"abstract":"<p>Solid solutions based on fluorite-like phase in systems Pr<sub>5–<i>x</i></sub>Me<sub><i>x</i></sub>Mo<sub>3</sub>O<sub>16+δ</sub>, where Me = Cd, Pb, have been obtained by solid-phase synthesis from metal oxides. The phase content after calcination at 1000°C has been studied by X-ray powder diffraction; the substitution limits and the dependences of the unit cell parameter on the composition of the systems have been determined. The parameters of the crystal structure of solid solutions have been specified by the Rietveld method. The influence of magnesium oxide additives on the sinterability of cadmium-containing solid solutions has been established. Isomorphous substitution of praseodymium by lead and cadmium has been found to result in a decrease in the conductivity value of the samples in the studied systems.</p>","PeriodicalId":762,"journal":{"name":"Russian Journal of Inorganic Chemistry","volume":"70 5","pages":"666 - 673"},"PeriodicalIF":1.5000,"publicationDate":"2025-07-09","publicationTypes":"Journal Article","fieldsOfStudy":null,"isOpenAccess":false,"openAccessPdf":"","citationCount":"0","resultStr":"{\"title\":\"Substitution of Praseodymium for Cadmium and Lead in the Structure of Pr5Mo3O16+δ\",\"authors\":\"A. O. Sidorenko,&nbsp;T. S. Berezhnaya,&nbsp;L. V. Pasechnik,&nbsp;I. Y. Ukleina,&nbsp;A. V. Guseva,&nbsp;K. A. Chebyshev\",\"doi\":\"10.1134/S0036023624603179\",\"DOIUrl\":null,\"url\":null,\"abstract\":\"<p>Solid solutions based on fluorite-like phase in systems Pr<sub>5–<i>x</i></sub>Me<sub><i>x</i></sub>Mo<sub>3</sub>O<sub>16+δ</sub>, where Me = Cd, Pb, have been obtained by solid-phase synthesis from metal oxides. The phase content after calcination at 1000°C has been studied by X-ray powder diffraction; the substitution limits and the dependences of the unit cell parameter on the composition of the systems have been determined. The parameters of the crystal structure of solid solutions have been specified by the Rietveld method. The influence of magnesium oxide additives on the sinterability of cadmium-containing solid solutions has been established. Isomorphous substitution of praseodymium by lead and cadmium has been found to result in a decrease in the conductivity value of the samples in the studied systems.</p>\",\"PeriodicalId\":762,\"journal\":{\"name\":\"Russian Journal of Inorganic Chemistry\",\"volume\":\"70 5\",\"pages\":\"666 - 673\"},\"PeriodicalIF\":1.5000,\"publicationDate\":\"2025-07-09\",\"publicationTypes\":\"Journal Article\",\"fieldsOfStudy\":null,\"isOpenAccess\":false,\"openAccessPdf\":\"\",\"citationCount\":\"0\",\"resultStr\":null,\"platform\":\"Semanticscholar\",\"paperid\":null,\"PeriodicalName\":\"Russian Journal of Inorganic Chemistry\",\"FirstCategoryId\":\"92\",\"ListUrlMain\":\"https://link.springer.com/article/10.1134/S0036023624603179\",\"RegionNum\":3,\"RegionCategory\":\"化学\",\"ArticlePicture\":[],\"TitleCN\":null,\"AbstractTextCN\":null,\"PMCID\":null,\"EPubDate\":\"\",\"PubModel\":\"\",\"JCR\":\"Q3\",\"JCRName\":\"CHEMISTRY, INORGANIC & NUCLEAR\",\"Score\":null,\"Total\":0}","platform":"Semanticscholar","paperid":null,"PeriodicalName":"Russian Journal of Inorganic Chemistry","FirstCategoryId":"92","ListUrlMain":"https://link.springer.com/article/10.1134/S0036023624603179","RegionNum":3,"RegionCategory":"化学","ArticlePicture":[],"TitleCN":null,"AbstractTextCN":null,"PMCID":null,"EPubDate":"","PubModel":"","JCR":"Q3","JCRName":"CHEMISTRY, INORGANIC & NUCLEAR","Score":null,"Total":0}
引用次数: 0

摘要

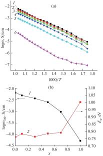
在Pr5-xMexMo3O16 +δ体系中,Me = Cd, Pb,采用固相合成方法制备了类萤石相固溶体。用x射线粉末衍射法研究了1000℃煅烧后的相含量;确定了替代极限和单位胞参数对系统组成的依赖关系。用Rietveld法确定了固溶体的晶体结构参数。研究了氧化镁添加剂对含镉固溶体烧结性能的影响。发现铅和镉对镨的同形取代会导致所研究体系中样品的电导率值下降。
本文章由计算机程序翻译,如有差异,请以英文原文为准。

Substitution of Praseodymium for Cadmium and Lead in the Structure of Pr5Mo3O16+δ

Substitution of Praseodymium for Cadmium and Lead in the Structure of Pr5Mo3O16+δ

Solid solutions based on fluorite-like phase in systems Pr5–xMexMo3O16+δ, where Me = Cd, Pb, have been obtained by solid-phase synthesis from metal oxides. The phase content after calcination at 1000°C has been studied by X-ray powder diffraction; the substitution limits and the dependences of the unit cell parameter on the composition of the systems have been determined. The parameters of the crystal structure of solid solutions have been specified by the Rietveld method. The influence of magnesium oxide additives on the sinterability of cadmium-containing solid solutions has been established. Isomorphous substitution of praseodymium by lead and cadmium has been found to result in a decrease in the conductivity value of the samples in the studied systems.

求助全文
通过发布文献求助,成功后即可免费获取论文全文。 去求助
来源期刊
Russian Journal of Inorganic Chemistry
Russian Journal of Inorganic Chemistry 化学-无机化学与核化学
CiteScore
3.10
自引率
38.10%
发文量
237
审稿时长
3 months
期刊介绍: Russian Journal of Inorganic Chemistry is a monthly periodical that covers the following topics of research: the synthesis and properties of inorganic compounds, coordination compounds, physicochemical analysis of inorganic systems, theoretical inorganic chemistry, physical methods of investigation, chemistry of solutions, inorganic materials, and nanomaterials.
×
引用
GB/T 7714-2015
复制
MLA
复制
APA
复制
导出至
BibTeX EndNote RefMan NoteFirst NoteExpress
×
提示
您的信息不完整,为了账户安全,请先补充。
现在去补充
×
提示
您因"违规操作"
具体请查看互助需知
我知道了
×
提示
确定
请完成安全验证×
copy
已复制链接
快去分享给好友吧!
我知道了
右上角分享
点击右上角分享
0
联系我们:info@booksci.cn Book学术提供免费学术资源搜索服务,方便国内外学者检索中英文文献。致力于提供最便捷和优质的服务体验。 Copyright © 2023 布克学术 All rights reserved.
京ICP备2023020795号-1
ghs 京公网安备 11010802042870号
Book学术文献互助
Book学术文献互助群
群 号:604180095
Book学术官方微信