合成可回收磁性纳米破乳剂处理脱盐装置含油废水的实验评价

IF 2.5 4区 化学 Q2 Engineering
Reza Rahimi, Mohammadali Ghadri, Michael Razmjo, Asadollah Farhadi
{"title":"合成可回收磁性纳米破乳剂处理脱盐装置含油废水的实验评价","authors":"Reza Rahimi,&nbsp;Mohammadali Ghadri,&nbsp;Michael Razmjo,&nbsp;Asadollah Farhadi","doi":"10.1007/s11696-025-04114-4","DOIUrl":null,"url":null,"abstract":"<div><p>Oil–water emulsions pose significant environmental challenges due to their complex treatment requirements. Conventional chemical demulsifiers, while effective, often pose environmental risks and are non-recyclable, limiting their long-term viability. This study explores a sustainable alternative: a recyclable magnetic demulsifier based on graphene oxide nanocomposites coated with oleic acid (Fe<sub>3</sub>O<sub>4</sub>@OA@GO). The morphology, particle size, and structure of the demulsifier were analyzed using TEM, XRD, and TGA, while its functional groups were identified through FTIR spectroscopy. XRD analysis confirmed the cubic spinel structure of Fe<sub>3</sub>O<sub>4</sub>, with characteristic peaks at 2<i>θ</i> = 30.1°, 35.5°, 43.1°, 53.4°, 57.0°, and 62.6°. TGA revealed the thermal stability of Fe<sub>3</sub>O<sub>4</sub>, with weight loss corresponding to the decomposition of organic components (oleic acid and graphene oxide) and a stable residue at high temperatures. Adsorption characteristics of oil on the particles followed the Freundlich isotherm model, while the kinetics were described by the pseudo-second-order model. Structural analysis revealed a particle size of approximately 30 nm. Performance tests demonstrated that the demulsifier's structure, featuring functional groups such as C–OH, C=O, C–O, and Fe–O, promotes the aggregation of organic compounds within the emulsion, leading to destabilization. A dosage comparison indicated that 100 ppm of the demulsifier achieved optimal efficiency of over <b>90%</b>. Higher dosages resulted in excessive accumulation of magnetic particles, reducing effectiveness. UV tests confirmed enhanced water clarity at this concentration. This study highlights the potential of Fe<sub>3</sub>O<sub>4</sub>@OA@GO as an eco-friendly, recyclable solution for treating oily wastewater in desalting units. </p></div>","PeriodicalId":513,"journal":{"name":"Chemical Papers","volume":"79 8","pages":"4849 - 4863"},"PeriodicalIF":2.5000,"publicationDate":"2025-06-09","publicationTypes":"Journal Article","fieldsOfStudy":null,"isOpenAccess":false,"openAccessPdf":"","citationCount":"0","resultStr":"{\"title\":\"Experimental evaluation of synthetic recyclable magnetic nanodemulsifier for desalting unit oily wastewater treatment\",\"authors\":\"Reza Rahimi,&nbsp;Mohammadali Ghadri,&nbsp;Michael Razmjo,&nbsp;Asadollah Farhadi\",\"doi\":\"10.1007/s11696-025-04114-4\",\"DOIUrl\":null,\"url\":null,\"abstract\":\"<div><p>Oil–water emulsions pose significant environmental challenges due to their complex treatment requirements. Conventional chemical demulsifiers, while effective, often pose environmental risks and are non-recyclable, limiting their long-term viability. This study explores a sustainable alternative: a recyclable magnetic demulsifier based on graphene oxide nanocomposites coated with oleic acid (Fe<sub>3</sub>O<sub>4</sub>@OA@GO). The morphology, particle size, and structure of the demulsifier were analyzed using TEM, XRD, and TGA, while its functional groups were identified through FTIR spectroscopy. XRD analysis confirmed the cubic spinel structure of Fe<sub>3</sub>O<sub>4</sub>, with characteristic peaks at 2<i>θ</i> = 30.1°, 35.5°, 43.1°, 53.4°, 57.0°, and 62.6°. TGA revealed the thermal stability of Fe<sub>3</sub>O<sub>4</sub>, with weight loss corresponding to the decomposition of organic components (oleic acid and graphene oxide) and a stable residue at high temperatures. Adsorption characteristics of oil on the particles followed the Freundlich isotherm model, while the kinetics were described by the pseudo-second-order model. Structural analysis revealed a particle size of approximately 30 nm. Performance tests demonstrated that the demulsifier's structure, featuring functional groups such as C–OH, C=O, C–O, and Fe–O, promotes the aggregation of organic compounds within the emulsion, leading to destabilization. A dosage comparison indicated that 100 ppm of the demulsifier achieved optimal efficiency of over <b>90%</b>. Higher dosages resulted in excessive accumulation of magnetic particles, reducing effectiveness. UV tests confirmed enhanced water clarity at this concentration. This study highlights the potential of Fe<sub>3</sub>O<sub>4</sub>@OA@GO as an eco-friendly, recyclable solution for treating oily wastewater in desalting units. </p></div>\",\"PeriodicalId\":513,\"journal\":{\"name\":\"Chemical Papers\",\"volume\":\"79 8\",\"pages\":\"4849 - 4863\"},\"PeriodicalIF\":2.5000,\"publicationDate\":\"2025-06-09\",\"publicationTypes\":\"Journal Article\",\"fieldsOfStudy\":null,\"isOpenAccess\":false,\"openAccessPdf\":\"\",\"citationCount\":\"0\",\"resultStr\":null,\"platform\":\"Semanticscholar\",\"paperid\":null,\"PeriodicalName\":\"Chemical Papers\",\"FirstCategoryId\":\"92\",\"ListUrlMain\":\"https://link.springer.com/article/10.1007/s11696-025-04114-4\",\"RegionNum\":4,\"RegionCategory\":\"化学\",\"ArticlePicture\":[],\"TitleCN\":null,\"AbstractTextCN\":null,\"PMCID\":null,\"EPubDate\":\"\",\"PubModel\":\"\",\"JCR\":\"Q2\",\"JCRName\":\"Engineering\",\"Score\":null,\"Total\":0}","platform":"Semanticscholar","paperid":null,"PeriodicalName":"Chemical Papers","FirstCategoryId":"92","ListUrlMain":"https://link.springer.com/article/10.1007/s11696-025-04114-4","RegionNum":4,"RegionCategory":"化学","ArticlePicture":[],"TitleCN":null,"AbstractTextCN":null,"PMCID":null,"EPubDate":"","PubModel":"","JCR":"Q2","JCRName":"Engineering","Score":null,"Total":0}
引用次数: 0

摘要

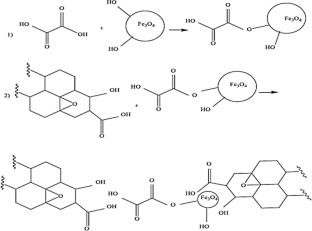
油水乳液由于其复杂的处理要求,对环境构成了重大挑战。传统的化学破乳剂虽然有效,但往往会造成环境风险,并且不可回收,限制了它们的长期生存能力。本研究探索了一种可持续的替代方案:一种基于油酸涂层的氧化石墨烯纳米复合材料的可回收磁性破乳剂(Fe3O4@OA@GO)。采用TEM、XRD、TGA对破乳剂的形貌、粒径、结构进行了分析,并用FTIR对其官能团进行了鉴定。XRD分析证实了Fe3O4的立方尖晶石结构,其特征峰位于2θ = 30.1°、35.5°、43.1°、53.4°、57.0°和62.6°。热重分析表明,Fe3O4具有热稳定性,其重量损失与有机成分(油酸和氧化石墨烯)的分解相对应,并且在高温下具有稳定的残留物。颗粒对油的吸附特性符合Freundlich等温模型,动力学用拟二阶模型描述。结构分析显示其粒径约为30 nm。性能测试表明,破乳剂的结构以C - oh、C=O、C - O和Fe-O等官能团为特征,促进了乳液内有机化合物的聚集,导致失稳。用量比较表明,当破乳剂用量为100 ppm时,破乳剂的最佳效率可达90%以上。较高的剂量导致磁性颗粒过度积聚,降低了有效性。紫外线测试证实,在这种浓度下,水的清晰度有所提高。这项研究强调了Fe3O4@OA@GO作为一种环保、可回收的解决方案在脱盐装置中处理含油废水的潜力。
本文章由计算机程序翻译,如有差异,请以英文原文为准。

Experimental evaluation of synthetic recyclable magnetic nanodemulsifier for desalting unit oily wastewater treatment

Experimental evaluation of synthetic recyclable magnetic nanodemulsifier for desalting unit oily wastewater treatment

Oil–water emulsions pose significant environmental challenges due to their complex treatment requirements. Conventional chemical demulsifiers, while effective, often pose environmental risks and are non-recyclable, limiting their long-term viability. This study explores a sustainable alternative: a recyclable magnetic demulsifier based on graphene oxide nanocomposites coated with oleic acid (Fe3O4@OA@GO). The morphology, particle size, and structure of the demulsifier were analyzed using TEM, XRD, and TGA, while its functional groups were identified through FTIR spectroscopy. XRD analysis confirmed the cubic spinel structure of Fe3O4, with characteristic peaks at 2θ = 30.1°, 35.5°, 43.1°, 53.4°, 57.0°, and 62.6°. TGA revealed the thermal stability of Fe3O4, with weight loss corresponding to the decomposition of organic components (oleic acid and graphene oxide) and a stable residue at high temperatures. Adsorption characteristics of oil on the particles followed the Freundlich isotherm model, while the kinetics were described by the pseudo-second-order model. Structural analysis revealed a particle size of approximately 30 nm. Performance tests demonstrated that the demulsifier's structure, featuring functional groups such as C–OH, C=O, C–O, and Fe–O, promotes the aggregation of organic compounds within the emulsion, leading to destabilization. A dosage comparison indicated that 100 ppm of the demulsifier achieved optimal efficiency of over 90%. Higher dosages resulted in excessive accumulation of magnetic particles, reducing effectiveness. UV tests confirmed enhanced water clarity at this concentration. This study highlights the potential of Fe3O4@OA@GO as an eco-friendly, recyclable solution for treating oily wastewater in desalting units.

求助全文
通过发布文献求助,成功后即可免费获取论文全文。 去求助
来源期刊
Chemical Papers
Chemical Papers Chemical Engineering-General Chemical Engineering
CiteScore
3.30
自引率
4.50%
发文量
590
期刊介绍: Chemical Papers is a peer-reviewed, international journal devoted to basic and applied chemical research. It has a broad scope covering the chemical sciences, but favors interdisciplinary research and studies that bring chemistry together with other disciplines.
×
引用
GB/T 7714-2015
复制
MLA
复制
APA
复制
导出至
BibTeX EndNote RefMan NoteFirst NoteExpress
×
提示
您的信息不完整,为了账户安全,请先补充。
现在去补充
×
提示
您因"违规操作"
具体请查看互助需知
我知道了
×
提示
确定
请完成安全验证×
copy
已复制链接
快去分享给好友吧!
我知道了
右上角分享
点击右上角分享
0
联系我们:info@booksci.cn Book学术提供免费学术资源搜索服务,方便国内外学者检索中英文文献。致力于提供最便捷和优质的服务体验。 Copyright © 2023 布克学术 All rights reserved.
京ICP备2023020795号-1
ghs 京公网安备 11010802042870号
Book学术文献互助
Book学术文献互助群
群 号:604180095
Book学术官方微信