运动青年男女足弓指数及稳定性变量与身体参数、年龄的关系

IF 2.9 Q2 SPORT SCIENCES
Sports Pub Date : 2025-09-12 DOI:10.3390/sports13090324
Marco Alessandria, Irene Pivetta, Goran Kuvacic, Nicola Luigi Bragazzi, Sonia Angilletta, Andrea De Giorgio
{"title":"运动青年男女足弓指数及稳定性变量与身体参数、年龄的关系","authors":"Marco Alessandria, Irene Pivetta, Goran Kuvacic, Nicola Luigi Bragazzi, Sonia Angilletta, Andrea De Giorgio","doi":"10.3390/sports13090324","DOIUrl":null,"url":null,"abstract":"<p><p>Postural stability is influenced by several anthropometric factors as well as age. The aim of this study was to investigate the relationship between body height, body mass, BMI, and arch index with stabilometric parameters in physically active young adults. A total of 169 sport science university students participated in the study. Their arch index and their stabilometric parameters were measured using the P-Walk BTS platform. Spearman's rank correlations showed a significant positive correlation between body mass and arch index (r = 0.25, <i>p</i> = 0.001), and BMI and arch index (r = 0.30, <i>p</i> < 0.001). Also, negative correlations were observed between body height and CoP speed (r = -0.22, <i>p</i> = 0.004) and CoP distance (r = -0.23, <i>p</i> = 0.003), as well as body weight and CoP speed (r = -0.17, <i>p</i> = 0.028) and CoP distance (r = -0.19, <i>p</i> = 0.015). Age was negatively correlated to postural sway variables (i.e., CoP distance, CoP area, and CoP speed). The findings suggest that, in physically active people, larger anthropometric values may confer stabilizing advantages, potentially due to increased body volume. Also, the significant correlation of age to stability metrics may highlight enhanced proprioceptive integration or adaptive neural mechanisms. The results highlight the importance of individualised proprioceptive training programmes, particularly for athletes of lower body mass or stature. Future research should extend on the results' potential training and rehabilitative implications.</p>","PeriodicalId":53303,"journal":{"name":"Sports","volume":"13 9","pages":""},"PeriodicalIF":2.9000,"publicationDate":"2025-09-12","publicationTypes":"Journal Article","fieldsOfStudy":null,"isOpenAccess":false,"openAccessPdf":"https://www.ncbi.nlm.nih.gov/pmc/articles/PMC12474270/pdf/","citationCount":"0","resultStr":"{\"title\":\"Correlation of Body Parameters and Age with Foot Arch Index and Stabilometric Variables in Physically Active Young Males and Females.\",\"authors\":\"Marco Alessandria, Irene Pivetta, Goran Kuvacic, Nicola Luigi Bragazzi, Sonia Angilletta, Andrea De Giorgio\",\"doi\":\"10.3390/sports13090324\",\"DOIUrl\":null,\"url\":null,\"abstract\":\"<p><p>Postural stability is influenced by several anthropometric factors as well as age. The aim of this study was to investigate the relationship between body height, body mass, BMI, and arch index with stabilometric parameters in physically active young adults. A total of 169 sport science university students participated in the study. Their arch index and their stabilometric parameters were measured using the P-Walk BTS platform. Spearman's rank correlations showed a significant positive correlation between body mass and arch index (r = 0.25, <i>p</i> = 0.001), and BMI and arch index (r = 0.30, <i>p</i> < 0.001). Also, negative correlations were observed between body height and CoP speed (r = -0.22, <i>p</i> = 0.004) and CoP distance (r = -0.23, <i>p</i> = 0.003), as well as body weight and CoP speed (r = -0.17, <i>p</i> = 0.028) and CoP distance (r = -0.19, <i>p</i> = 0.015). Age was negatively correlated to postural sway variables (i.e., CoP distance, CoP area, and CoP speed). The findings suggest that, in physically active people, larger anthropometric values may confer stabilizing advantages, potentially due to increased body volume. Also, the significant correlation of age to stability metrics may highlight enhanced proprioceptive integration or adaptive neural mechanisms. The results highlight the importance of individualised proprioceptive training programmes, particularly for athletes of lower body mass or stature. Future research should extend on the results' potential training and rehabilitative implications.</p>\",\"PeriodicalId\":53303,\"journal\":{\"name\":\"Sports\",\"volume\":\"13 9\",\"pages\":\"\"},\"PeriodicalIF\":2.9000,\"publicationDate\":\"2025-09-12\",\"publicationTypes\":\"Journal Article\",\"fieldsOfStudy\":null,\"isOpenAccess\":false,\"openAccessPdf\":\"https://www.ncbi.nlm.nih.gov/pmc/articles/PMC12474270/pdf/\",\"citationCount\":\"0\",\"resultStr\":null,\"platform\":\"Semanticscholar\",\"paperid\":null,\"PeriodicalName\":\"Sports\",\"FirstCategoryId\":\"1085\",\"ListUrlMain\":\"https://doi.org/10.3390/sports13090324\",\"RegionNum\":0,\"RegionCategory\":null,\"ArticlePicture\":[],\"TitleCN\":null,\"AbstractTextCN\":null,\"PMCID\":null,\"EPubDate\":\"\",\"PubModel\":\"\",\"JCR\":\"Q2\",\"JCRName\":\"SPORT SCIENCES\",\"Score\":null,\"Total\":0}","platform":"Semanticscholar","paperid":null,"PeriodicalName":"Sports","FirstCategoryId":"1085","ListUrlMain":"https://doi.org/10.3390/sports13090324","RegionNum":0,"RegionCategory":null,"ArticlePicture":[],"TitleCN":null,"AbstractTextCN":null,"PMCID":null,"EPubDate":"","PubModel":"","JCR":"Q2","JCRName":"SPORT SCIENCES","Score":null,"Total":0}
引用次数: 0

摘要

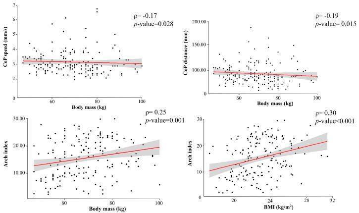
姿势稳定性受几个人体测量因素以及年龄的影响。本研究旨在探讨积极运动的年轻人的身高、体重、身体质量指数和足弓指数与稳定测量参数的关系。共有169名体育科学专业的大学生参与了这项研究。采用P-Walk BTS平台测量其足弓指数和稳定性参数。Spearman秩相关显示体重与足弓指数(r = 0.25, p = 0.001)、BMI与足弓指数(r = 0.30, p < 0.001)呈显著正相关。身高与CoP速度(r = -0.22, p = 0.004)、CoP距离(r = -0.23, p = 0.003)、体重与CoP速度(r = -0.17, p = 0.028)、CoP距离(r = -0.19, p = 0.015)呈负相关。年龄与姿势摇摆变量(即CoP距离、CoP面积和CoP速度)呈负相关。研究结果表明,在身体活跃的人群中,较大的人体测量值可能会带来稳定的优势,这可能是由于身体体积的增加。此外,年龄与稳定性指标的显著相关性可能突出了本体感觉整合或适应性神经机制的增强。研究结果强调了个性化本体感觉训练方案的重要性,特别是对于身体质量或身材较低的运动员。未来的研究应扩展结果的潜在训练和康复意义。
本文章由计算机程序翻译,如有差异,请以英文原文为准。

Correlation of Body Parameters and Age with Foot Arch Index and Stabilometric Variables in Physically Active Young Males and Females.

Correlation of Body Parameters and Age with Foot Arch Index and Stabilometric Variables in Physically Active Young Males and Females.

Correlation of Body Parameters and Age with Foot Arch Index and Stabilometric Variables in Physically Active Young Males and Females.

Correlation of Body Parameters and Age with Foot Arch Index and Stabilometric Variables in Physically Active Young Males and Females.

Postural stability is influenced by several anthropometric factors as well as age. The aim of this study was to investigate the relationship between body height, body mass, BMI, and arch index with stabilometric parameters in physically active young adults. A total of 169 sport science university students participated in the study. Their arch index and their stabilometric parameters were measured using the P-Walk BTS platform. Spearman's rank correlations showed a significant positive correlation between body mass and arch index (r = 0.25, p = 0.001), and BMI and arch index (r = 0.30, p < 0.001). Also, negative correlations were observed between body height and CoP speed (r = -0.22, p = 0.004) and CoP distance (r = -0.23, p = 0.003), as well as body weight and CoP speed (r = -0.17, p = 0.028) and CoP distance (r = -0.19, p = 0.015). Age was negatively correlated to postural sway variables (i.e., CoP distance, CoP area, and CoP speed). The findings suggest that, in physically active people, larger anthropometric values may confer stabilizing advantages, potentially due to increased body volume. Also, the significant correlation of age to stability metrics may highlight enhanced proprioceptive integration or adaptive neural mechanisms. The results highlight the importance of individualised proprioceptive training programmes, particularly for athletes of lower body mass or stature. Future research should extend on the results' potential training and rehabilitative implications.

求助全文
通过发布文献求助,成功后即可免费获取论文全文。 去求助
来源期刊
Sports
Sports SPORT SCIENCES-
CiteScore
4.10
自引率
7.40%
发文量
167
审稿时长
11 weeks
×
引用
GB/T 7714-2015
复制
MLA
复制
APA
复制
导出至
BibTeX EndNote RefMan NoteFirst NoteExpress
×
提示
您的信息不完整,为了账户安全,请先补充。
现在去补充
×
提示
您因"违规操作"
具体请查看互助需知
我知道了
×
提示
确定
请完成安全验证×
copy
已复制链接
快去分享给好友吧!
我知道了
右上角分享
点击右上角分享
0
联系我们:info@booksci.cn Book学术提供免费学术资源搜索服务,方便国内外学者检索中英文文献。致力于提供最便捷和优质的服务体验。 Copyright © 2023 布克学术 All rights reserved.
京ICP备2023020795号-1
ghs 京公网安备 11010802042870号
Book学术文献互助
Book学术文献互助群
群 号:604180095
Book学术官方微信