突破障碍:理解智力损伤对篮球归纳推理的影响。

IF 2.9 Q2 SPORT SCIENCES
Sports Pub Date : 2025-09-10 DOI:10.3390/sports13090318
Javier Pinilla-Arbex, Javier Pérez-Tejero, Yves Vanlandewijck
{"title":"突破障碍:理解智力损伤对篮球归纳推理的影响。","authors":"Javier Pinilla-Arbex, Javier Pérez-Tejero, Yves Vanlandewijck","doi":"10.3390/sports13090318","DOIUrl":null,"url":null,"abstract":"<p><p>Access to high-performance sports is crucial for the holistic development and well-being of athletes with intellectual impairment (II). However, ensuring fair and equitable participation requires effective eligibility systems. This study investigates how basketball-specific inductive reasoning impacts athletes with II. A total of 92 elite male players with II (average age 26.3 ± 7 years) and 128 control players without II participated. This study used a tailored test to assess the ability to quickly and accurately arrange 12 photo series depicting basketball sequences. Athletes with II were hypothesized to require more time and arrange the image sequences less accurately compared to their peers. The results indicated that athletes with II took significantly more time (41.2 s ± 20.2 s) and arranged the image sequences less accurately than senior players without II (19.2 s ± 5.9 s). A discriminant function analysis classified 84.1% of players accurately, confirming that athletes with II performed at a lower level in basketball-specific activities that require inductive reasoning. These findings contribute to the development of Phase 3 of the classification model for athletes with II, which consists of 4 phases. This helps establish the eligibility system boundaries in basketball for individuals with II, promoting equitable access for athletes to high-performance sports.</p>","PeriodicalId":53303,"journal":{"name":"Sports","volume":"13 9","pages":""},"PeriodicalIF":2.9000,"publicationDate":"2025-09-10","publicationTypes":"Journal Article","fieldsOfStudy":null,"isOpenAccess":false,"openAccessPdf":"https://www.ncbi.nlm.nih.gov/pmc/articles/PMC12473677/pdf/","citationCount":"0","resultStr":"{\"title\":\"Breaking Barriers: Understanding the Impact of Intellectual Impairment on Inductive Reasoning in Basketball.\",\"authors\":\"Javier Pinilla-Arbex, Javier Pérez-Tejero, Yves Vanlandewijck\",\"doi\":\"10.3390/sports13090318\",\"DOIUrl\":null,\"url\":null,\"abstract\":\"<p><p>Access to high-performance sports is crucial for the holistic development and well-being of athletes with intellectual impairment (II). However, ensuring fair and equitable participation requires effective eligibility systems. This study investigates how basketball-specific inductive reasoning impacts athletes with II. A total of 92 elite male players with II (average age 26.3 ± 7 years) and 128 control players without II participated. This study used a tailored test to assess the ability to quickly and accurately arrange 12 photo series depicting basketball sequences. Athletes with II were hypothesized to require more time and arrange the image sequences less accurately compared to their peers. The results indicated that athletes with II took significantly more time (41.2 s ± 20.2 s) and arranged the image sequences less accurately than senior players without II (19.2 s ± 5.9 s). A discriminant function analysis classified 84.1% of players accurately, confirming that athletes with II performed at a lower level in basketball-specific activities that require inductive reasoning. These findings contribute to the development of Phase 3 of the classification model for athletes with II, which consists of 4 phases. This helps establish the eligibility system boundaries in basketball for individuals with II, promoting equitable access for athletes to high-performance sports.</p>\",\"PeriodicalId\":53303,\"journal\":{\"name\":\"Sports\",\"volume\":\"13 9\",\"pages\":\"\"},\"PeriodicalIF\":2.9000,\"publicationDate\":\"2025-09-10\",\"publicationTypes\":\"Journal Article\",\"fieldsOfStudy\":null,\"isOpenAccess\":false,\"openAccessPdf\":\"https://www.ncbi.nlm.nih.gov/pmc/articles/PMC12473677/pdf/\",\"citationCount\":\"0\",\"resultStr\":null,\"platform\":\"Semanticscholar\",\"paperid\":null,\"PeriodicalName\":\"Sports\",\"FirstCategoryId\":\"1085\",\"ListUrlMain\":\"https://doi.org/10.3390/sports13090318\",\"RegionNum\":0,\"RegionCategory\":null,\"ArticlePicture\":[],\"TitleCN\":null,\"AbstractTextCN\":null,\"PMCID\":null,\"EPubDate\":\"\",\"PubModel\":\"\",\"JCR\":\"Q2\",\"JCRName\":\"SPORT SCIENCES\",\"Score\":null,\"Total\":0}","platform":"Semanticscholar","paperid":null,"PeriodicalName":"Sports","FirstCategoryId":"1085","ListUrlMain":"https://doi.org/10.3390/sports13090318","RegionNum":0,"RegionCategory":null,"ArticlePicture":[],"TitleCN":null,"AbstractTextCN":null,"PMCID":null,"EPubDate":"","PubModel":"","JCR":"Q2","JCRName":"SPORT SCIENCES","Score":null,"Total":0}
引用次数: 0

摘要

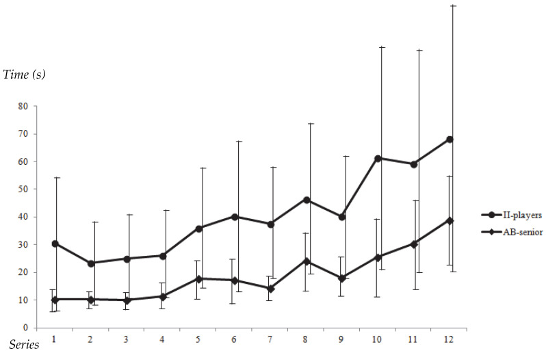
参加高性能运动对智力障碍运动员的全面发展和福祉至关重要(II)。然而,确保公平和公平的参与需要有效的资格制度。本研究探讨了篮球专项归纳推理对II型运动员的影响。共有92名优秀男性II型运动员(平均年龄26.3±7岁)和128名非II型运动员参加。这项研究使用了一个量身定制的测试来评估快速准确地排列12幅描绘篮球序列的照片的能力。据推测,与同龄人相比,II型运动员需要更多的时间,并且排列图像序列的准确性较低。结果表明,具有II的运动员比未具有II的运动员(19.2 s±5.9 s)花费了更多的时间(41.2 s±20.2 s),排列图像序列的准确性也明显低于具有II的运动员(19.2 s±5.9 s)。判别函数分析对84.1%的球员进行了准确分类,证实了II型运动员在需要归纳推理的篮球专项活动中表现较低。这些发现有助于II型运动员分类模型的第三阶段的发展,该模型包括4个阶段。这有助于为II型个体建立篮球资格制度边界,促进运动员公平获得高性能运动。
本文章由计算机程序翻译,如有差异,请以英文原文为准。

Breaking Barriers: Understanding the Impact of Intellectual Impairment on Inductive Reasoning in Basketball.

Breaking Barriers: Understanding the Impact of Intellectual Impairment on Inductive Reasoning in Basketball.

Breaking Barriers: Understanding the Impact of Intellectual Impairment on Inductive Reasoning in Basketball.

Breaking Barriers: Understanding the Impact of Intellectual Impairment on Inductive Reasoning in Basketball.

Access to high-performance sports is crucial for the holistic development and well-being of athletes with intellectual impairment (II). However, ensuring fair and equitable participation requires effective eligibility systems. This study investigates how basketball-specific inductive reasoning impacts athletes with II. A total of 92 elite male players with II (average age 26.3 ± 7 years) and 128 control players without II participated. This study used a tailored test to assess the ability to quickly and accurately arrange 12 photo series depicting basketball sequences. Athletes with II were hypothesized to require more time and arrange the image sequences less accurately compared to their peers. The results indicated that athletes with II took significantly more time (41.2 s ± 20.2 s) and arranged the image sequences less accurately than senior players without II (19.2 s ± 5.9 s). A discriminant function analysis classified 84.1% of players accurately, confirming that athletes with II performed at a lower level in basketball-specific activities that require inductive reasoning. These findings contribute to the development of Phase 3 of the classification model for athletes with II, which consists of 4 phases. This helps establish the eligibility system boundaries in basketball for individuals with II, promoting equitable access for athletes to high-performance sports.

求助全文
通过发布文献求助,成功后即可免费获取论文全文。 去求助
来源期刊
Sports
Sports SPORT SCIENCES-
CiteScore
4.10
自引率
7.40%
发文量
167
审稿时长
11 weeks
×
引用
GB/T 7714-2015
复制
MLA
复制
APA
复制
导出至
BibTeX EndNote RefMan NoteFirst NoteExpress
×
提示
您的信息不完整,为了账户安全,请先补充。
现在去补充
×
提示
您因"违规操作"
具体请查看互助需知
我知道了
×
提示
确定
请完成安全验证×
copy
已复制链接
快去分享给好友吧!
我知道了
右上角分享
点击右上角分享
0
联系我们:info@booksci.cn Book学术提供免费学术资源搜索服务,方便国内外学者检索中英文文献。致力于提供最便捷和优质的服务体验。 Copyright © 2023 布克学术 All rights reserved.
京ICP备2023020795号-1
ghs 京公网安备 11010802042870号
Book学术文献互助
Book学术文献互助群
群 号:604180095
Book学术官方微信