VAM-EVAL增量测试中峰值速度的生理预测因子及运动变量在铁人三项运动员跑步经济性中的作用。

IF 2.9 Q2 SPORT SCIENCES
Sports Pub Date : 2025-09-10 DOI:10.3390/sports13090316
Jordi Montraveta, Ignacio Fernández-Jarillo, Xavier Iglesias, Andri Feldmann, Diego Chaverri
{"title":"VAM-EVAL增量测试中峰值速度的生理预测因子及运动变量在铁人三项运动员跑步经济性中的作用。","authors":"Jordi Montraveta, Ignacio Fernández-Jarillo, Xavier Iglesias, Andri Feldmann, Diego Chaverri","doi":"10.3390/sports13090316","DOIUrl":null,"url":null,"abstract":"<p><p>This study examined the influence of physiological parameters on peak velocity (Vpeak) and of kinematic variables on running economy (RE) during an outdoor incremental VAM-EVAL test completed by eleven national-level triathletes. Maximal oxygen uptake (VO<sub>2</sub>max), ventilatory thresholds, RE, and minimum muscle oxygen saturation (SmO<sub>2</sub>min) were obtained with a portable gas analyzer and near-infrared spectroscopy (NIRS), while cadence, stride length, vertical oscillation, and contact time were recorded with a foot-mounted inertial sensor. Multiple linear regression showed that VO<sub>2</sub>max and SmO<sub>2</sub>min together accounted for 86% of the variance in Vpeak (VO<sub>2</sub>max: r = 0.76; SmO<sub>2</sub>min: r = -0.68), whereas RE at 16 km·h<sup>-1</sup> displayed only a moderate association (r = 0.54). Links between RE and kinematic metrics were negligible to weak (r ≤ 0.38). These findings confirm VO<sub>2</sub>max as the primary determinant of Vpeak and suggest that SmO<sub>2</sub>min can be used as a complementary, non-invasive marker of endurance capacity in triathletes, measurable in the field with portable NIRS. Additionally, inter-individual differences in cadence, stride length, vertical oscillation, and contact time suggest that kinematic adjustments are not universally effective but rather highly individualized, with their impact on RE likely depending on each athlete's specific characteristics.</p>","PeriodicalId":53303,"journal":{"name":"Sports","volume":"13 9","pages":""},"PeriodicalIF":2.9000,"publicationDate":"2025-09-10","publicationTypes":"Journal Article","fieldsOfStudy":null,"isOpenAccess":false,"openAccessPdf":"https://www.ncbi.nlm.nih.gov/pmc/articles/PMC12473766/pdf/","citationCount":"0","resultStr":"{\"title\":\"Physiological Predictors of Peak Velocity in the VAM-EVAL Incremental Test and the Role of Kinematic Variables in Running Economy in Triathletes.\",\"authors\":\"Jordi Montraveta, Ignacio Fernández-Jarillo, Xavier Iglesias, Andri Feldmann, Diego Chaverri\",\"doi\":\"10.3390/sports13090316\",\"DOIUrl\":null,\"url\":null,\"abstract\":\"<p><p>This study examined the influence of physiological parameters on peak velocity (Vpeak) and of kinematic variables on running economy (RE) during an outdoor incremental VAM-EVAL test completed by eleven national-level triathletes. Maximal oxygen uptake (VO<sub>2</sub>max), ventilatory thresholds, RE, and minimum muscle oxygen saturation (SmO<sub>2</sub>min) were obtained with a portable gas analyzer and near-infrared spectroscopy (NIRS), while cadence, stride length, vertical oscillation, and contact time were recorded with a foot-mounted inertial sensor. Multiple linear regression showed that VO<sub>2</sub>max and SmO<sub>2</sub>min together accounted for 86% of the variance in Vpeak (VO<sub>2</sub>max: r = 0.76; SmO<sub>2</sub>min: r = -0.68), whereas RE at 16 km·h<sup>-1</sup> displayed only a moderate association (r = 0.54). Links between RE and kinematic metrics were negligible to weak (r ≤ 0.38). These findings confirm VO<sub>2</sub>max as the primary determinant of Vpeak and suggest that SmO<sub>2</sub>min can be used as a complementary, non-invasive marker of endurance capacity in triathletes, measurable in the field with portable NIRS. Additionally, inter-individual differences in cadence, stride length, vertical oscillation, and contact time suggest that kinematic adjustments are not universally effective but rather highly individualized, with their impact on RE likely depending on each athlete's specific characteristics.</p>\",\"PeriodicalId\":53303,\"journal\":{\"name\":\"Sports\",\"volume\":\"13 9\",\"pages\":\"\"},\"PeriodicalIF\":2.9000,\"publicationDate\":\"2025-09-10\",\"publicationTypes\":\"Journal Article\",\"fieldsOfStudy\":null,\"isOpenAccess\":false,\"openAccessPdf\":\"https://www.ncbi.nlm.nih.gov/pmc/articles/PMC12473766/pdf/\",\"citationCount\":\"0\",\"resultStr\":null,\"platform\":\"Semanticscholar\",\"paperid\":null,\"PeriodicalName\":\"Sports\",\"FirstCategoryId\":\"1085\",\"ListUrlMain\":\"https://doi.org/10.3390/sports13090316\",\"RegionNum\":0,\"RegionCategory\":null,\"ArticlePicture\":[],\"TitleCN\":null,\"AbstractTextCN\":null,\"PMCID\":null,\"EPubDate\":\"\",\"PubModel\":\"\",\"JCR\":\"Q2\",\"JCRName\":\"SPORT SCIENCES\",\"Score\":null,\"Total\":0}","platform":"Semanticscholar","paperid":null,"PeriodicalName":"Sports","FirstCategoryId":"1085","ListUrlMain":"https://doi.org/10.3390/sports13090316","RegionNum":0,"RegionCategory":null,"ArticlePicture":[],"TitleCN":null,"AbstractTextCN":null,"PMCID":null,"EPubDate":"","PubModel":"","JCR":"Q2","JCRName":"SPORT SCIENCES","Score":null,"Total":0}
引用次数: 0

摘要

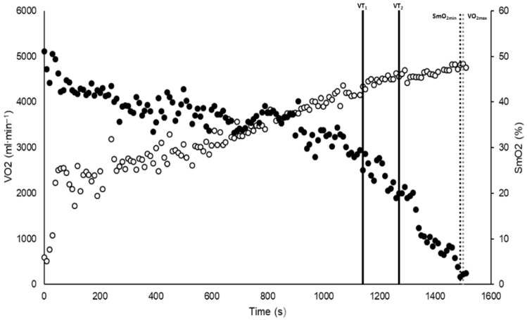
本研究对11名国家级铁人三项运动员进行了室外增量式VAM-EVAL测试,考察了生理参数对峰值速度(Vpeak)和运动学变量对跑步经济性(RE)的影响。使用便携式气体分析仪和近红外光谱(NIRS)获得最大摄氧量(VO2max)、通气阈值、RE和最小肌肉氧饱和度(SmO2min),同时使用足部惯性传感器记录节奏、步幅、垂直振荡和接触时间。多元线性回归表明,VO2max和SmO2min共同占Vpeak方差的86% (VO2max: r = 0.76; SmO2min: r = -0.68),而16 km·h-1时RE仅显示中等相关性(r = 0.54)。RE和运动学指标之间的联系可以忽略不计(r≤0.38)。这些发现证实了VO2max是Vpeak的主要决定因素,并表明SmO2min可以作为铁人三项运动员耐力能力的补充、非侵入性标志,可以在现场用便携式近红外光谱测量。此外,节奏、步幅、垂直摆动和接触时间的个体差异表明,运动学调整不是普遍有效的,而是高度个性化的,它们对RE的影响可能取决于每个运动员的具体特征。
本文章由计算机程序翻译,如有差异,请以英文原文为准。

Physiological Predictors of Peak Velocity in the VAM-EVAL Incremental Test and the Role of Kinematic Variables in Running Economy in Triathletes.

Physiological Predictors of Peak Velocity in the VAM-EVAL Incremental Test and the Role of Kinematic Variables in Running Economy in Triathletes.

This study examined the influence of physiological parameters on peak velocity (Vpeak) and of kinematic variables on running economy (RE) during an outdoor incremental VAM-EVAL test completed by eleven national-level triathletes. Maximal oxygen uptake (VO2max), ventilatory thresholds, RE, and minimum muscle oxygen saturation (SmO2min) were obtained with a portable gas analyzer and near-infrared spectroscopy (NIRS), while cadence, stride length, vertical oscillation, and contact time were recorded with a foot-mounted inertial sensor. Multiple linear regression showed that VO2max and SmO2min together accounted for 86% of the variance in Vpeak (VO2max: r = 0.76; SmO2min: r = -0.68), whereas RE at 16 km·h-1 displayed only a moderate association (r = 0.54). Links between RE and kinematic metrics were negligible to weak (r ≤ 0.38). These findings confirm VO2max as the primary determinant of Vpeak and suggest that SmO2min can be used as a complementary, non-invasive marker of endurance capacity in triathletes, measurable in the field with portable NIRS. Additionally, inter-individual differences in cadence, stride length, vertical oscillation, and contact time suggest that kinematic adjustments are not universally effective but rather highly individualized, with their impact on RE likely depending on each athlete's specific characteristics.

求助全文
通过发布文献求助,成功后即可免费获取论文全文。 去求助
来源期刊
Sports
Sports SPORT SCIENCES-
CiteScore
4.10
自引率
7.40%
发文量
167
审稿时长
11 weeks
×
引用
GB/T 7714-2015
复制
MLA
复制
APA
复制
导出至
BibTeX EndNote RefMan NoteFirst NoteExpress
×
提示
您的信息不完整,为了账户安全,请先补充。
现在去补充
×
提示
您因"违规操作"
具体请查看互助需知
我知道了
×
提示
确定
请完成安全验证×
copy
已复制链接
快去分享给好友吧!
我知道了
右上角分享
点击右上角分享
0
联系我们:info@booksci.cn Book学术提供免费学术资源搜索服务,方便国内外学者检索中英文文献。致力于提供最便捷和优质的服务体验。 Copyright © 2023 布克学术 All rights reserved.
京ICP备2023020795号-1
ghs 京公网安备 11010802042870号
Book学术文献互助
Book学术文献互助群
群 号:604180095
Book学术官方微信