青少年足球比赛中等速扭矩和外部负荷指标之间的关系。

IF 2.9 Q2 SPORT SCIENCES
Sports Pub Date : 2025-09-08 DOI:10.3390/sports13090311
Yiannis Michailidis
{"title":"青少年足球比赛中等速扭矩和外部负荷指标之间的关系。","authors":"Yiannis Michailidis","doi":"10.3390/sports13090311","DOIUrl":null,"url":null,"abstract":"<p><p>Physical fitness, especially strength, is key for football performance and injury prevention, but its role in match running remains unclear. This study examined correlations between knee flexor and extensor isokinetic torque (60°/s, 180°/s, 300°/s) and running performance in 20 U17 players (age 16 ± 0.5 years, height 1.78 ± 0.05 m, weight 71 ± 7.1 kg) across 16 matches, with GPS tracking (Apex, STATSports, Newry, Northern Ireland). Results varied by position. Central defenders showed a negative correlation between non-dominant knee flexor torque at 300°/s and high-speed running distance (r = -0.975, <i>p</i> = 0.025). Side defenders displayed positive correlations between dominant knee flexor torque at 300°/s and both total distance and moderate running (r = 0.885-0.976, <i>p</i> < 0.05), but negative correlations with maximum speed (r < -0.89, <i>p</i> < 0.05). Central midfielders had several negative associations between dominant knee flexor torque at 300°/s and accelerations or decelerations (r < -0.88, <i>p</i> < 0.05). Side midfielders and forwards showed positive correlations between torque at higher speeds (180°/s, 300°/s) and sprint distance (r ≥ 0.85, <i>p</i> < 0.05). Overall, associations differed by position, velocity, and performance variable, reflecting tactical demands and the limits of single-joint testing. However, in SMFs, high positive correlations were observed, highlighting the importance of strength and its necessity in the training process.</p>","PeriodicalId":53303,"journal":{"name":"Sports","volume":"13 9","pages":""},"PeriodicalIF":2.9000,"publicationDate":"2025-09-08","publicationTypes":"Journal Article","fieldsOfStudy":null,"isOpenAccess":false,"openAccessPdf":"https://www.ncbi.nlm.nih.gov/pmc/articles/PMC12473822/pdf/","citationCount":"0","resultStr":"{\"title\":\"Associations Between Isokinetic Torque and External Load Metrics During Youth Soccer Matches.\",\"authors\":\"Yiannis Michailidis\",\"doi\":\"10.3390/sports13090311\",\"DOIUrl\":null,\"url\":null,\"abstract\":\"<p><p>Physical fitness, especially strength, is key for football performance and injury prevention, but its role in match running remains unclear. This study examined correlations between knee flexor and extensor isokinetic torque (60°/s, 180°/s, 300°/s) and running performance in 20 U17 players (age 16 ± 0.5 years, height 1.78 ± 0.05 m, weight 71 ± 7.1 kg) across 16 matches, with GPS tracking (Apex, STATSports, Newry, Northern Ireland). Results varied by position. Central defenders showed a negative correlation between non-dominant knee flexor torque at 300°/s and high-speed running distance (r = -0.975, <i>p</i> = 0.025). Side defenders displayed positive correlations between dominant knee flexor torque at 300°/s and both total distance and moderate running (r = 0.885-0.976, <i>p</i> < 0.05), but negative correlations with maximum speed (r < -0.89, <i>p</i> < 0.05). Central midfielders had several negative associations between dominant knee flexor torque at 300°/s and accelerations or decelerations (r < -0.88, <i>p</i> < 0.05). Side midfielders and forwards showed positive correlations between torque at higher speeds (180°/s, 300°/s) and sprint distance (r ≥ 0.85, <i>p</i> < 0.05). Overall, associations differed by position, velocity, and performance variable, reflecting tactical demands and the limits of single-joint testing. However, in SMFs, high positive correlations were observed, highlighting the importance of strength and its necessity in the training process.</p>\",\"PeriodicalId\":53303,\"journal\":{\"name\":\"Sports\",\"volume\":\"13 9\",\"pages\":\"\"},\"PeriodicalIF\":2.9000,\"publicationDate\":\"2025-09-08\",\"publicationTypes\":\"Journal Article\",\"fieldsOfStudy\":null,\"isOpenAccess\":false,\"openAccessPdf\":\"https://www.ncbi.nlm.nih.gov/pmc/articles/PMC12473822/pdf/\",\"citationCount\":\"0\",\"resultStr\":null,\"platform\":\"Semanticscholar\",\"paperid\":null,\"PeriodicalName\":\"Sports\",\"FirstCategoryId\":\"1085\",\"ListUrlMain\":\"https://doi.org/10.3390/sports13090311\",\"RegionNum\":0,\"RegionCategory\":null,\"ArticlePicture\":[],\"TitleCN\":null,\"AbstractTextCN\":null,\"PMCID\":null,\"EPubDate\":\"\",\"PubModel\":\"\",\"JCR\":\"Q2\",\"JCRName\":\"SPORT SCIENCES\",\"Score\":null,\"Total\":0}","platform":"Semanticscholar","paperid":null,"PeriodicalName":"Sports","FirstCategoryId":"1085","ListUrlMain":"https://doi.org/10.3390/sports13090311","RegionNum":0,"RegionCategory":null,"ArticlePicture":[],"TitleCN":null,"AbstractTextCN":null,"PMCID":null,"EPubDate":"","PubModel":"","JCR":"Q2","JCRName":"SPORT SCIENCES","Score":null,"Total":0}
引用次数: 0

摘要

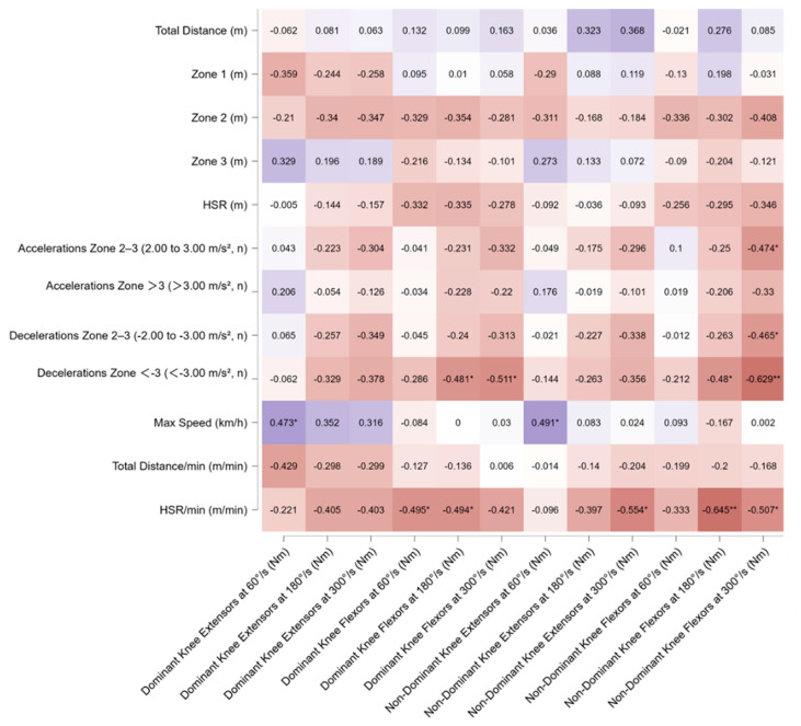
身体健康,尤其是力量,是足球表现和预防受伤的关键,但它在比赛中的作用尚不清楚。本研究对20名U17球员(年龄16±0.5岁,身高1.78±0.05 m,体重71±7.1 kg)进行了16场比赛,通过GPS跟踪(Apex, STATSports, newwry, Northern Ireland),研究了膝关节屈肌和伸肌等速扭矩(60°/s, 180°/s, 300°/s)与跑步表现之间的相关性。结果因位置而异。中后卫300°/s时非优势屈膝扭矩与高速跑距呈负相关(r = -0.975, p = 0.025)。侧卫300°/s优势屈膝转矩与总距离和中等跑速呈正相关(r = 0.885 ~ 0.976, p < 0.05),与最大跑速呈负相关(r < -0.89, p < 0.05)。中腰球员在300°/s的膝关节屈曲力矩与加速或减速之间存在负相关(r < -0.88, p < 0.05)。边路中场和前锋在180°/s、300°/s速度下的扭矩与冲刺距离呈显著正相关(r≥0.85,p < 0.05)。总的来说,关联因位置、速度和性能变量而异,反映了战术需求和单关节测试的局限性。然而,在smf中,观察到高度正相关,突出了力量的重要性及其在训练过程中的必要性。
本文章由计算机程序翻译,如有差异,请以英文原文为准。

Associations Between Isokinetic Torque and External Load Metrics During Youth Soccer Matches.

Associations Between Isokinetic Torque and External Load Metrics During Youth Soccer Matches.

Associations Between Isokinetic Torque and External Load Metrics During Youth Soccer Matches.

Associations Between Isokinetic Torque and External Load Metrics During Youth Soccer Matches.

Physical fitness, especially strength, is key for football performance and injury prevention, but its role in match running remains unclear. This study examined correlations between knee flexor and extensor isokinetic torque (60°/s, 180°/s, 300°/s) and running performance in 20 U17 players (age 16 ± 0.5 years, height 1.78 ± 0.05 m, weight 71 ± 7.1 kg) across 16 matches, with GPS tracking (Apex, STATSports, Newry, Northern Ireland). Results varied by position. Central defenders showed a negative correlation between non-dominant knee flexor torque at 300°/s and high-speed running distance (r = -0.975, p = 0.025). Side defenders displayed positive correlations between dominant knee flexor torque at 300°/s and both total distance and moderate running (r = 0.885-0.976, p < 0.05), but negative correlations with maximum speed (r < -0.89, p < 0.05). Central midfielders had several negative associations between dominant knee flexor torque at 300°/s and accelerations or decelerations (r < -0.88, p < 0.05). Side midfielders and forwards showed positive correlations between torque at higher speeds (180°/s, 300°/s) and sprint distance (r ≥ 0.85, p < 0.05). Overall, associations differed by position, velocity, and performance variable, reflecting tactical demands and the limits of single-joint testing. However, in SMFs, high positive correlations were observed, highlighting the importance of strength and its necessity in the training process.

求助全文
通过发布文献求助,成功后即可免费获取论文全文。 去求助
来源期刊
Sports
Sports SPORT SCIENCES-
CiteScore
4.10
自引率
7.40%
发文量
167
审稿时长
11 weeks
×
引用
GB/T 7714-2015
复制
MLA
复制
APA
复制
导出至
BibTeX EndNote RefMan NoteFirst NoteExpress
×
提示
您的信息不完整,为了账户安全,请先补充。
现在去补充
×
提示
您因"违规操作"
具体请查看互助需知
我知道了
×
提示
确定
请完成安全验证×
copy
已复制链接
快去分享给好友吧!
我知道了
右上角分享
点击右上角分享
0
联系我们:info@booksci.cn Book学术提供免费学术资源搜索服务,方便国内外学者检索中英文文献。致力于提供最便捷和优质的服务体验。 Copyright © 2023 布克学术 All rights reserved.
京ICP备2023020795号-1
ghs 京公网安备 11010802042870号
Book学术文献互助
Book学术文献互助群
群 号:604180095
Book学术官方微信