国际CP足球比赛与训练体能要求及其与现场体能测试的关系

IF 2.9 Q2 SPORT SCIENCES
Sports Pub Date : 2025-09-08 DOI:10.3390/sports13090312
Juan Francisco Maggiolo, Alejandro Caña-Pino, Manuel Moya-Ramón, Iván Peña-González
{"title":"国际CP足球比赛与训练体能要求及其与现场体能测试的关系","authors":"Juan Francisco Maggiolo, Alejandro Caña-Pino, Manuel Moya-Ramón, Iván Peña-González","doi":"10.3390/sports13090312","DOIUrl":null,"url":null,"abstract":"<p><strong>Objetives: </strong>This study aimed to (1) describe and compare the external physical requirements of international cerebral palsy (CP) football players during training sessions and official matches at the 2024 IFCPF World Cup, and (2) analyze the relationships between standardized field-based physical performance tests and the physical requirements recorded in both contexts.</p><p><strong>Methods: </strong>Twelve international outfield players from the Spanish national CP football team were monitored throughout the tournament. Physical performance was evaluated two weeks prior using 5-m and 30-m sprints, a Modified Agility Test (MAT), a dribbling test, and the 30-15 Intermittent Fitness Test (vIFT). Match and training physical requirements were assessed using inertial devices, including total and relative distances, velocity metrics, and acceleration/deceleration outputs.</p><p><strong>Results: </strong>Matches imposed significantly greater demands than training sessions in terms of peak velocity, total distance per minute, and distance at moderate (>12-18 km/h) and high (>18 km/h) intensities (t = 2.79 to 8.06; <i>p</i> = 0.01; ES(d) = 0.50 to 1.45). Training sessions exhibited greater variability in load while match requirements were consistent across games. Performance in the MAT and dribbling tests correlated with several physical indicators in both training and competition. In contrast, vIFT and sprint tests showed limited associations, especially with match variables.</p><p><strong>Conclusions: </strong>Match play elicits higher and more stable physical requirements than training. The MAT and dribbling tests appear to be ecologically valid tools for assessing functional readiness in CP football. These findings support the integration of specific physical tests and tailored training designs to better replicate the competitive requirements of international CP football.</p>","PeriodicalId":53303,"journal":{"name":"Sports","volume":"13 9","pages":""},"PeriodicalIF":2.9000,"publicationDate":"2025-09-08","publicationTypes":"Journal Article","fieldsOfStudy":null,"isOpenAccess":false,"openAccessPdf":"https://www.ncbi.nlm.nih.gov/pmc/articles/PMC12473195/pdf/","citationCount":"0","resultStr":"{\"title\":\"Match vs. Training Physical Requirements and Their Association with Field-Based Physical Tests in International CP Football.\",\"authors\":\"Juan Francisco Maggiolo, Alejandro Caña-Pino, Manuel Moya-Ramón, Iván Peña-González\",\"doi\":\"10.3390/sports13090312\",\"DOIUrl\":null,\"url\":null,\"abstract\":\"<p><strong>Objetives: </strong>This study aimed to (1) describe and compare the external physical requirements of international cerebral palsy (CP) football players during training sessions and official matches at the 2024 IFCPF World Cup, and (2) analyze the relationships between standardized field-based physical performance tests and the physical requirements recorded in both contexts.</p><p><strong>Methods: </strong>Twelve international outfield players from the Spanish national CP football team were monitored throughout the tournament. Physical performance was evaluated two weeks prior using 5-m and 30-m sprints, a Modified Agility Test (MAT), a dribbling test, and the 30-15 Intermittent Fitness Test (vIFT). Match and training physical requirements were assessed using inertial devices, including total and relative distances, velocity metrics, and acceleration/deceleration outputs.</p><p><strong>Results: </strong>Matches imposed significantly greater demands than training sessions in terms of peak velocity, total distance per minute, and distance at moderate (>12-18 km/h) and high (>18 km/h) intensities (t = 2.79 to 8.06; <i>p</i> = 0.01; ES(d) = 0.50 to 1.45). Training sessions exhibited greater variability in load while match requirements were consistent across games. Performance in the MAT and dribbling tests correlated with several physical indicators in both training and competition. In contrast, vIFT and sprint tests showed limited associations, especially with match variables.</p><p><strong>Conclusions: </strong>Match play elicits higher and more stable physical requirements than training. The MAT and dribbling tests appear to be ecologically valid tools for assessing functional readiness in CP football. These findings support the integration of specific physical tests and tailored training designs to better replicate the competitive requirements of international CP football.</p>\",\"PeriodicalId\":53303,\"journal\":{\"name\":\"Sports\",\"volume\":\"13 9\",\"pages\":\"\"},\"PeriodicalIF\":2.9000,\"publicationDate\":\"2025-09-08\",\"publicationTypes\":\"Journal Article\",\"fieldsOfStudy\":null,\"isOpenAccess\":false,\"openAccessPdf\":\"https://www.ncbi.nlm.nih.gov/pmc/articles/PMC12473195/pdf/\",\"citationCount\":\"0\",\"resultStr\":null,\"platform\":\"Semanticscholar\",\"paperid\":null,\"PeriodicalName\":\"Sports\",\"FirstCategoryId\":\"1085\",\"ListUrlMain\":\"https://doi.org/10.3390/sports13090312\",\"RegionNum\":0,\"RegionCategory\":null,\"ArticlePicture\":[],\"TitleCN\":null,\"AbstractTextCN\":null,\"PMCID\":null,\"EPubDate\":\"\",\"PubModel\":\"\",\"JCR\":\"Q2\",\"JCRName\":\"SPORT SCIENCES\",\"Score\":null,\"Total\":0}","platform":"Semanticscholar","paperid":null,"PeriodicalName":"Sports","FirstCategoryId":"1085","ListUrlMain":"https://doi.org/10.3390/sports13090312","RegionNum":0,"RegionCategory":null,"ArticlePicture":[],"TitleCN":null,"AbstractTextCN":null,"PMCID":null,"EPubDate":"","PubModel":"","JCR":"Q2","JCRName":"SPORT SCIENCES","Score":null,"Total":0}
引用次数: 0

摘要

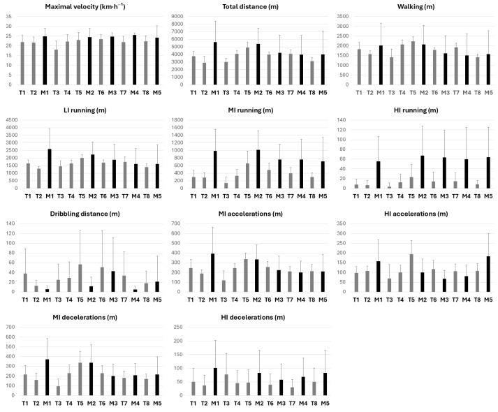
目的:本研究旨在(1)描述和比较国际脑瘫(CP)足球运动员在2024年IFCPF世界杯训练期间和正式比赛期间的外部身体要求,(2)分析标准化场地体能测试与两种情况下记录的身体要求之间的关系。方法:对西班牙国家CP足球队的12名国际外场球员进行全程监测。身体表现在两周前通过5米和30米短跑、改进敏捷性测试(MAT)、运球测试和30-15间歇性体能测试(vIFT)进行评估。使用惯性装置评估比赛和训练的物理要求,包括总距离和相对距离、速度指标和加速/减速输出。结果:在峰值速度、每分钟总距离以及中等强度(12-18 km/h)和高强度(18 km/h)下的距离方面,比赛的要求明显高于训练(t = 2.79至8.06;p = 0.01; ES(d) = 0.50至1.45)。训练课程表现出更大的负荷变化,而比赛要求在比赛中是一致的。在MAT和运球测试中的表现与训练和比赛中的几个身体指标相关。相比之下,vIFT和sprint测试显示有限的关联,特别是匹配变量。结论:比赛比训练对体能的要求更高、更稳定。MAT和运球测试似乎是评估CP足球功能准备的生态有效工具。这些发现支持将特定的体能测试和量身定制的训练设计相结合,以更好地复制国际CP足球的竞争要求。
本文章由计算机程序翻译,如有差异,请以英文原文为准。

Match vs. Training Physical Requirements and Their Association with Field-Based Physical Tests in International CP Football.

Match vs. Training Physical Requirements and Their Association with Field-Based Physical Tests in International CP Football.

Objetives: This study aimed to (1) describe and compare the external physical requirements of international cerebral palsy (CP) football players during training sessions and official matches at the 2024 IFCPF World Cup, and (2) analyze the relationships between standardized field-based physical performance tests and the physical requirements recorded in both contexts.

Methods: Twelve international outfield players from the Spanish national CP football team were monitored throughout the tournament. Physical performance was evaluated two weeks prior using 5-m and 30-m sprints, a Modified Agility Test (MAT), a dribbling test, and the 30-15 Intermittent Fitness Test (vIFT). Match and training physical requirements were assessed using inertial devices, including total and relative distances, velocity metrics, and acceleration/deceleration outputs.

Results: Matches imposed significantly greater demands than training sessions in terms of peak velocity, total distance per minute, and distance at moderate (>12-18 km/h) and high (>18 km/h) intensities (t = 2.79 to 8.06; p = 0.01; ES(d) = 0.50 to 1.45). Training sessions exhibited greater variability in load while match requirements were consistent across games. Performance in the MAT and dribbling tests correlated with several physical indicators in both training and competition. In contrast, vIFT and sprint tests showed limited associations, especially with match variables.

Conclusions: Match play elicits higher and more stable physical requirements than training. The MAT and dribbling tests appear to be ecologically valid tools for assessing functional readiness in CP football. These findings support the integration of specific physical tests and tailored training designs to better replicate the competitive requirements of international CP football.

求助全文
通过发布文献求助,成功后即可免费获取论文全文。 去求助
来源期刊
Sports
Sports SPORT SCIENCES-
CiteScore
4.10
自引率
7.40%
发文量
167
审稿时长
11 weeks
×
引用
GB/T 7714-2015
复制
MLA
复制
APA
复制
导出至
BibTeX EndNote RefMan NoteFirst NoteExpress
×
提示
您的信息不完整,为了账户安全,请先补充。
现在去补充
×
提示
您因"违规操作"
具体请查看互助需知
我知道了
×
提示
确定
请完成安全验证×
copy
已复制链接
快去分享给好友吧!
我知道了
右上角分享
点击右上角分享
0
联系我们:info@booksci.cn Book学术提供免费学术资源搜索服务,方便国内外学者检索中英文文献。致力于提供最便捷和优质的服务体验。 Copyright © 2023 布克学术 All rights reserved.
京ICP备2023020795号-1
ghs 京公网安备 11010802042870号
Book学术文献互助
Book学术文献互助群
群 号:604180095
Book学术官方微信