来自国际奥委会首个奥运选手健康队列的见解:为2020年东京夏季奥运会和2022年北京冬季奥运会做准备的奥运选手受伤和疾病。

IF 3.2 Q1 SPORT SCIENCES
BMJ Open Sport & Exercise Medicine Pub Date : 2025-09-21 eCollection Date: 2025-01-01 DOI:10.1136/bmjsem-2025-002545
Debbie Palmer, Torbjorn Soligard, Gwen Fernandes, Dave Collins, Niall Elliott, Paul Kelly, Iain R Murray, Lars Engbretsen
{"title":"来自国际奥委会首个奥运选手健康队列的见解:为2020年东京夏季奥运会和2022年北京冬季奥运会做准备的奥运选手受伤和疾病。","authors":"Debbie Palmer, Torbjorn Soligard, Gwen Fernandes, Dave Collins, Niall Elliott, Paul Kelly, Iain R Murray, Lars Engbretsen","doi":"10.1136/bmjsem-2025-002545","DOIUrl":null,"url":null,"abstract":"<p><strong>Objective: </strong>To describe the prevalence and nature of Olympic-career related injuries and illnesses, and behaviours during injury/illness, in Olympians in the 4 years prior to their participation at the Tokyo 2020 and Beijing 2022 Olympic Games.</p><p><strong>Methods: </strong>315 current Olympians from 70 countries completed a cross-sectional online survey, distributed by direct email through National Olympian Associations and World Olympians Association databases. Questions included Olympic sport exposure, significant training and competition injury and illness history (lasting >2 weeks) and athlete behaviours during injury/illness.</p><p><strong>Results: </strong>65% of Olympians were women (35% men), representing 51 sports (37 summer, 14 winter), aged 28.6 years (4.6). Overall, 58.5% (95% CI 52.2% to 64.9%) of summer and 55.6% (95% CI 44.7% to 66.4%) of winter Olympians were injured, with knee injuries most frequent (19.6% summer, 27.8% winter Olympians). Injury rates were similar between males and females. 17.1% (95% CI 12.3% to 21.9%) of summer and 23.5% (95% CI 13.1% to 31.3%) of winter Olympians were ill, with respiratory illness most frequent. Illness rates were (non-significantly) higher for female versus male winter Olympians (adjusted relative risk 2.04 (95% CI 0.73 to 5.76)) but similar between male and female summer Olympians. 78% of Olympians said they put the most pressure on themselves to return from injury/illness quickly. Almost half reported using painkillers during injury, while one-quarter continued full training/competition during injury/illness. Injury and illness prevalence followed similar bimodal and trimodal seasonal patterns for summer and winter Olympians, respectively.</p><p><strong>Conclusions: </strong>Olympians report a significant history of injury and illness across the 4 years before the Olympic Games. A biopsychosocial approach that supports athletes during injury/illness absences is needed. Concurrent injury/illness prevention strategies should be considered to reduce the burden of both injuries and illnesses at key times in an athlete's season.</p>","PeriodicalId":47417,"journal":{"name":"BMJ Open Sport & Exercise Medicine","volume":"11 3","pages":"e002545"},"PeriodicalIF":3.2000,"publicationDate":"2025-09-21","publicationTypes":"Journal Article","fieldsOfStudy":null,"isOpenAccess":false,"openAccessPdf":"https://www.ncbi.nlm.nih.gov/pmc/articles/PMC12458888/pdf/","citationCount":"0","resultStr":"{\"title\":\"Insights from the first IOC Olympian Health Cohort: injury and illness in Olympians preparing for the Tokyo 2020 Summer and Beijing 2022 Winter Olympic Games.\",\"authors\":\"Debbie Palmer, Torbjorn Soligard, Gwen Fernandes, Dave Collins, Niall Elliott, Paul Kelly, Iain R Murray, Lars Engbretsen\",\"doi\":\"10.1136/bmjsem-2025-002545\",\"DOIUrl\":null,\"url\":null,\"abstract\":\"<p><strong>Objective: </strong>To describe the prevalence and nature of Olympic-career related injuries and illnesses, and behaviours during injury/illness, in Olympians in the 4 years prior to their participation at the Tokyo 2020 and Beijing 2022 Olympic Games.</p><p><strong>Methods: </strong>315 current Olympians from 70 countries completed a cross-sectional online survey, distributed by direct email through National Olympian Associations and World Olympians Association databases. Questions included Olympic sport exposure, significant training and competition injury and illness history (lasting >2 weeks) and athlete behaviours during injury/illness.</p><p><strong>Results: </strong>65% of Olympians were women (35% men), representing 51 sports (37 summer, 14 winter), aged 28.6 years (4.6). Overall, 58.5% (95% CI 52.2% to 64.9%) of summer and 55.6% (95% CI 44.7% to 66.4%) of winter Olympians were injured, with knee injuries most frequent (19.6% summer, 27.8% winter Olympians). Injury rates were similar between males and females. 17.1% (95% CI 12.3% to 21.9%) of summer and 23.5% (95% CI 13.1% to 31.3%) of winter Olympians were ill, with respiratory illness most frequent. Illness rates were (non-significantly) higher for female versus male winter Olympians (adjusted relative risk 2.04 (95% CI 0.73 to 5.76)) but similar between male and female summer Olympians. 78% of Olympians said they put the most pressure on themselves to return from injury/illness quickly. Almost half reported using painkillers during injury, while one-quarter continued full training/competition during injury/illness. Injury and illness prevalence followed similar bimodal and trimodal seasonal patterns for summer and winter Olympians, respectively.</p><p><strong>Conclusions: </strong>Olympians report a significant history of injury and illness across the 4 years before the Olympic Games. A biopsychosocial approach that supports athletes during injury/illness absences is needed. Concurrent injury/illness prevention strategies should be considered to reduce the burden of both injuries and illnesses at key times in an athlete's season.</p>\",\"PeriodicalId\":47417,\"journal\":{\"name\":\"BMJ Open Sport & Exercise Medicine\",\"volume\":\"11 3\",\"pages\":\"e002545\"},\"PeriodicalIF\":3.2000,\"publicationDate\":\"2025-09-21\",\"publicationTypes\":\"Journal Article\",\"fieldsOfStudy\":null,\"isOpenAccess\":false,\"openAccessPdf\":\"https://www.ncbi.nlm.nih.gov/pmc/articles/PMC12458888/pdf/\",\"citationCount\":\"0\",\"resultStr\":null,\"platform\":\"Semanticscholar\",\"paperid\":null,\"PeriodicalName\":\"BMJ Open Sport & Exercise Medicine\",\"FirstCategoryId\":\"1085\",\"ListUrlMain\":\"https://doi.org/10.1136/bmjsem-2025-002545\",\"RegionNum\":0,\"RegionCategory\":null,\"ArticlePicture\":[],\"TitleCN\":null,\"AbstractTextCN\":null,\"PMCID\":null,\"EPubDate\":\"2025/1/1 0:00:00\",\"PubModel\":\"eCollection\",\"JCR\":\"Q1\",\"JCRName\":\"SPORT SCIENCES\",\"Score\":null,\"Total\":0}","platform":"Semanticscholar","paperid":null,"PeriodicalName":"BMJ Open Sport & Exercise Medicine","FirstCategoryId":"1085","ListUrlMain":"https://doi.org/10.1136/bmjsem-2025-002545","RegionNum":0,"RegionCategory":null,"ArticlePicture":[],"TitleCN":null,"AbstractTextCN":null,"PMCID":null,"EPubDate":"2025/1/1 0:00:00","PubModel":"eCollection","JCR":"Q1","JCRName":"SPORT SCIENCES","Score":null,"Total":0}
引用次数: 0

摘要

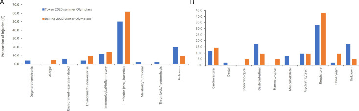
目的:描述奥运会运动员参加2020年东京奥运会和2022年北京奥运会前4年与奥运会职业生涯相关的伤害和疾病的患病率和性质,以及受伤/疾病期间的行为。方法:来自70个国家的315名现役奥运选手完成了一项横断面在线调查,通过国家奥林匹克协会和世界奥林匹克协会的数据库直接发送电子邮件。问题包括奥林匹克运动暴露,重大训练和比赛损伤和疾病史(持续bb10 - 2周)以及运动员在损伤/疾病期间的行为。结果:65%的奥运选手为女性(35%为男性),代表51个项目(37个夏季项目,14个冬季项目),年龄28.6岁(4.6岁)。总体而言,58.5% (95% CI 52.2% ~ 64.9%)的夏季奥运会运动员和55.6% (95% CI 44.7% ~ 66.4%)的冬季奥运会运动员受伤,其中膝关节损伤最为常见(夏季奥运会运动员19.6%,冬季奥运会运动员27.8%)。男性和女性的受伤率相似。17.1%(95%可信区间12.3% ~ 21.9%)的夏季奥运会运动员和23.5%(95%可信区间13.1% ~ 31.3%)的冬季奥运会运动员患病,其中呼吸系统疾病最为常见。冬季奥运会女性运动员的患病率(无显著性)高于男性运动员(调整后的相对风险为2.04 (95% CI 0.73至5.76)),但夏季奥运会男性和女性运动员之间的患病率相似。78%的奥运会运动员表示,他们给自己施加了最大的压力,以便尽快从伤病中恢复过来。几乎一半的人在受伤期间使用止痛药,而四分之一的人在受伤/生病期间继续进行全面训练/比赛。夏季和冬季奥运会运动员的伤害和疾病患病率分别遵循类似的双峰和三峰季节性模式。结论:奥运选手在奥运会前的4年里都有明显的伤病史。需要一种支持运动员在受伤/疾病缺席期间的生物-心理-社会方法。在运动员赛季的关键时刻,应该考虑同时预防伤病的策略,以减轻伤病的负担。
本文章由计算机程序翻译,如有差异,请以英文原文为准。

Insights from the first IOC Olympian Health Cohort: injury and illness in Olympians preparing for the Tokyo 2020 Summer and Beijing 2022 Winter Olympic Games.

Insights from the first IOC Olympian Health Cohort: injury and illness in Olympians preparing for the Tokyo 2020 Summer and Beijing 2022 Winter Olympic Games.

Insights from the first IOC Olympian Health Cohort: injury and illness in Olympians preparing for the Tokyo 2020 Summer and Beijing 2022 Winter Olympic Games.

Insights from the first IOC Olympian Health Cohort: injury and illness in Olympians preparing for the Tokyo 2020 Summer and Beijing 2022 Winter Olympic Games.

Objective: To describe the prevalence and nature of Olympic-career related injuries and illnesses, and behaviours during injury/illness, in Olympians in the 4 years prior to their participation at the Tokyo 2020 and Beijing 2022 Olympic Games.

Methods: 315 current Olympians from 70 countries completed a cross-sectional online survey, distributed by direct email through National Olympian Associations and World Olympians Association databases. Questions included Olympic sport exposure, significant training and competition injury and illness history (lasting >2 weeks) and athlete behaviours during injury/illness.

Results: 65% of Olympians were women (35% men), representing 51 sports (37 summer, 14 winter), aged 28.6 years (4.6). Overall, 58.5% (95% CI 52.2% to 64.9%) of summer and 55.6% (95% CI 44.7% to 66.4%) of winter Olympians were injured, with knee injuries most frequent (19.6% summer, 27.8% winter Olympians). Injury rates were similar between males and females. 17.1% (95% CI 12.3% to 21.9%) of summer and 23.5% (95% CI 13.1% to 31.3%) of winter Olympians were ill, with respiratory illness most frequent. Illness rates were (non-significantly) higher for female versus male winter Olympians (adjusted relative risk 2.04 (95% CI 0.73 to 5.76)) but similar between male and female summer Olympians. 78% of Olympians said they put the most pressure on themselves to return from injury/illness quickly. Almost half reported using painkillers during injury, while one-quarter continued full training/competition during injury/illness. Injury and illness prevalence followed similar bimodal and trimodal seasonal patterns for summer and winter Olympians, respectively.

Conclusions: Olympians report a significant history of injury and illness across the 4 years before the Olympic Games. A biopsychosocial approach that supports athletes during injury/illness absences is needed. Concurrent injury/illness prevention strategies should be considered to reduce the burden of both injuries and illnesses at key times in an athlete's season.

求助全文
通过发布文献求助,成功后即可免费获取论文全文。 去求助
来源期刊
CiteScore
7.10
自引率
4.20%
发文量
106
审稿时长
20 weeks
×
引用
GB/T 7714-2015
复制
MLA
复制
APA
复制
导出至
BibTeX EndNote RefMan NoteFirst NoteExpress
×
提示
您的信息不完整,为了账户安全,请先补充。
现在去补充
×
提示
您因"违规操作"
具体请查看互助需知
我知道了
×
提示
确定
请完成安全验证×
copy
已复制链接
快去分享给好友吧!
我知道了
右上角分享
点击右上角分享
0
联系我们:info@booksci.cn Book学术提供免费学术资源搜索服务,方便国内外学者检索中英文文献。致力于提供最便捷和优质的服务体验。 Copyright © 2023 布克学术 All rights reserved.
京ICP备2023020795号-1
ghs 京公网安备 11010802042870号
Book学术文献互助
Book学术文献互助群
群 号:604180095
Book学术官方微信