曼陀罗代谢物和衍生物的生物有机化学、毒理学和药物用途。

IF 4 3区 医学 Q2 FOOD SCIENCE & TECHNOLOGY
Toxins Pub Date : 2025-09-18 DOI:10.3390/toxins17090469
Amin Mahmood Thawabteh, Saleh Sulaiman, Ilaf Omar Alabed, Laura Scrano, Donia Karaman, Rafik Karaman, Sabino A Bufo
{"title":"曼陀罗代谢物和衍生物的生物有机化学、毒理学和药物用途。","authors":"Amin Mahmood Thawabteh, Saleh Sulaiman, Ilaf Omar Alabed, Laura Scrano, Donia Karaman, Rafik Karaman, Sabino A Bufo","doi":"10.3390/toxins17090469","DOIUrl":null,"url":null,"abstract":"<p><p><i>Datura</i> species have been recognized for their potent pharmacological properties, producing a diverse array of tropane and non-tropane alkaloids with significant clinical and toxicological relevance. This review synthesizes current knowledge on the biosynthesis, pharmacology, and therapeutic applications of 43 compounds isolated from <i>Datura</i>, with emphasis on both major constituents-such as atropine, hyoscyamine, and scopolamine-and minor alkaloids, including anisodamine, apoatropine, and datumetine. These alkaloids were classified into four significant categories, drawing on recent advances in plant biochemistry and analytical chemistry. The analysis is based on 204 peer-reviewed scientific publications from the past decade (2015-2025), highlighting both traditional ethnobotanical knowledge and recent pharmacological advances. The review details their enzymatic pathways, mechanisms of action at muscarinic and other receptor systems, pharmacokinetics, and dose-dependent toxicological profiles. Particular attention is given to lesser-studied derivatives and metabolites with emerging therapeutic potential, as well as their role in metabolic engineering, drug discovery, and forensic analysis. Notably, datum tine is highlighted for its unique NMDA receptor modulatory effects and neurotoxic potential, while tropine and hygrine serve as critical biosynthetic intermediates and analytical markers. By integrating biochemical, pharmacological, and toxicological insights, this work provides a comprehensive framework for future exploration of <i>Datura</i> alkaloids as both therapeutic agents and research tools.</p>","PeriodicalId":23119,"journal":{"name":"Toxins","volume":"17 9","pages":""},"PeriodicalIF":4.0000,"publicationDate":"2025-09-18","publicationTypes":"Journal Article","fieldsOfStudy":null,"isOpenAccess":false,"openAccessPdf":"https://www.ncbi.nlm.nih.gov/pmc/articles/PMC12474130/pdf/","citationCount":"0","resultStr":"{\"title\":\"Bioorganic Chemistry, Toxinology, and Pharmaceutical Uses of <i>Datura</i> Metabolites and Derivatives.\",\"authors\":\"Amin Mahmood Thawabteh, Saleh Sulaiman, Ilaf Omar Alabed, Laura Scrano, Donia Karaman, Rafik Karaman, Sabino A Bufo\",\"doi\":\"10.3390/toxins17090469\",\"DOIUrl\":null,\"url\":null,\"abstract\":\"<p><p><i>Datura</i> species have been recognized for their potent pharmacological properties, producing a diverse array of tropane and non-tropane alkaloids with significant clinical and toxicological relevance. This review synthesizes current knowledge on the biosynthesis, pharmacology, and therapeutic applications of 43 compounds isolated from <i>Datura</i>, with emphasis on both major constituents-such as atropine, hyoscyamine, and scopolamine-and minor alkaloids, including anisodamine, apoatropine, and datumetine. These alkaloids were classified into four significant categories, drawing on recent advances in plant biochemistry and analytical chemistry. The analysis is based on 204 peer-reviewed scientific publications from the past decade (2015-2025), highlighting both traditional ethnobotanical knowledge and recent pharmacological advances. The review details their enzymatic pathways, mechanisms of action at muscarinic and other receptor systems, pharmacokinetics, and dose-dependent toxicological profiles. Particular attention is given to lesser-studied derivatives and metabolites with emerging therapeutic potential, as well as their role in metabolic engineering, drug discovery, and forensic analysis. Notably, datum tine is highlighted for its unique NMDA receptor modulatory effects and neurotoxic potential, while tropine and hygrine serve as critical biosynthetic intermediates and analytical markers. By integrating biochemical, pharmacological, and toxicological insights, this work provides a comprehensive framework for future exploration of <i>Datura</i> alkaloids as both therapeutic agents and research tools.</p>\",\"PeriodicalId\":23119,\"journal\":{\"name\":\"Toxins\",\"volume\":\"17 9\",\"pages\":\"\"},\"PeriodicalIF\":4.0000,\"publicationDate\":\"2025-09-18\",\"publicationTypes\":\"Journal Article\",\"fieldsOfStudy\":null,\"isOpenAccess\":false,\"openAccessPdf\":\"https://www.ncbi.nlm.nih.gov/pmc/articles/PMC12474130/pdf/\",\"citationCount\":\"0\",\"resultStr\":null,\"platform\":\"Semanticscholar\",\"paperid\":null,\"PeriodicalName\":\"Toxins\",\"FirstCategoryId\":\"3\",\"ListUrlMain\":\"https://doi.org/10.3390/toxins17090469\",\"RegionNum\":3,\"RegionCategory\":\"医学\",\"ArticlePicture\":[],\"TitleCN\":null,\"AbstractTextCN\":null,\"PMCID\":null,\"EPubDate\":\"\",\"PubModel\":\"\",\"JCR\":\"Q2\",\"JCRName\":\"FOOD SCIENCE & TECHNOLOGY\",\"Score\":null,\"Total\":0}","platform":"Semanticscholar","paperid":null,"PeriodicalName":"Toxins","FirstCategoryId":"3","ListUrlMain":"https://doi.org/10.3390/toxins17090469","RegionNum":3,"RegionCategory":"医学","ArticlePicture":[],"TitleCN":null,"AbstractTextCN":null,"PMCID":null,"EPubDate":"","PubModel":"","JCR":"Q2","JCRName":"FOOD SCIENCE & TECHNOLOGY","Score":null,"Total":0}
引用次数: 0

摘要

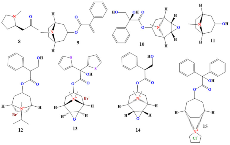
曼陀罗因其强大的药理特性而得到认可,产生多种具有重要临床和毒理学意义的tropane和非tropane生物碱。本文综述了从曼陀罗中分离的43种化合物的生物合成、药理学和治疗应用方面的最新知识,重点介绍了主要成分(如阿托品、山莨菪碱和东莨菪碱)和次要生物碱(包括山莨菪碱、阿托品和datumetine)。根据植物生物化学和分析化学的最新进展,将这些生物碱分为四大类。该分析基于过去十年(2015-2025)的204份同行评议的科学出版物,突出了传统的民族植物学知识和最近的药理学进展。这篇综述详细介绍了它们的酶促途径、在毒蕈碱和其他受体系统中的作用机制、药代动力学和剂量依赖性毒理学特征。特别关注较少研究的衍生品和代谢物,它们具有新兴的治疗潜力,以及它们在代谢工程、药物发现和法医分析中的作用。值得注意的是,基准时间因其独特的NMDA受体调节作用和神经毒性潜力而被强调,而托品和海格碱则是关键的生物合成中间体和分析标记物。通过整合生化、药理学和毒理学的见解,这项工作为曼陀罗生物碱作为治疗药物和研究工具的未来探索提供了一个全面的框架。
本文章由计算机程序翻译,如有差异,请以英文原文为准。

Bioorganic Chemistry, Toxinology, and Pharmaceutical Uses of <i>Datura</i> Metabolites and Derivatives.

Bioorganic Chemistry, Toxinology, and Pharmaceutical Uses of <i>Datura</i> Metabolites and Derivatives.

Bioorganic Chemistry, Toxinology, and Pharmaceutical Uses of <i>Datura</i> Metabolites and Derivatives.

Bioorganic Chemistry, Toxinology, and Pharmaceutical Uses of Datura Metabolites and Derivatives.

Datura species have been recognized for their potent pharmacological properties, producing a diverse array of tropane and non-tropane alkaloids with significant clinical and toxicological relevance. This review synthesizes current knowledge on the biosynthesis, pharmacology, and therapeutic applications of 43 compounds isolated from Datura, with emphasis on both major constituents-such as atropine, hyoscyamine, and scopolamine-and minor alkaloids, including anisodamine, apoatropine, and datumetine. These alkaloids were classified into four significant categories, drawing on recent advances in plant biochemistry and analytical chemistry. The analysis is based on 204 peer-reviewed scientific publications from the past decade (2015-2025), highlighting both traditional ethnobotanical knowledge and recent pharmacological advances. The review details their enzymatic pathways, mechanisms of action at muscarinic and other receptor systems, pharmacokinetics, and dose-dependent toxicological profiles. Particular attention is given to lesser-studied derivatives and metabolites with emerging therapeutic potential, as well as their role in metabolic engineering, drug discovery, and forensic analysis. Notably, datum tine is highlighted for its unique NMDA receptor modulatory effects and neurotoxic potential, while tropine and hygrine serve as critical biosynthetic intermediates and analytical markers. By integrating biochemical, pharmacological, and toxicological insights, this work provides a comprehensive framework for future exploration of Datura alkaloids as both therapeutic agents and research tools.

求助全文
通过发布文献求助,成功后即可免费获取论文全文。 去求助
来源期刊
Toxins
Toxins TOXICOLOGY-
CiteScore
7.50
自引率
16.70%
发文量
765
审稿时长
16.24 days
期刊介绍: Toxins (ISSN 2072-6651) is an international, peer-reviewed open access journal which provides an advanced forum for studies related to toxins and toxinology. It publishes reviews, regular research papers and short communications. Our aim is to encourage scientists to publish their experimental and theoretical results in as much detail as possible. There is no restriction on the length of the papers. The full experimental details must be provided so that the results can be reproduced.
×
引用
GB/T 7714-2015
复制
MLA
复制
APA
复制
导出至
BibTeX EndNote RefMan NoteFirst NoteExpress
×
提示
您的信息不完整,为了账户安全,请先补充。
现在去补充
×
提示
您因"违规操作"
具体请查看互助需知
我知道了
×
提示
确定
请完成安全验证×
copy
已复制链接
快去分享给好友吧!
我知道了
右上角分享
点击右上角分享
0
联系我们:info@booksci.cn Book学术提供免费学术资源搜索服务,方便国内外学者检索中英文文献。致力于提供最便捷和优质的服务体验。 Copyright © 2023 布克学术 All rights reserved.
京ICP备2023020795号-1
ghs 京公网安备 11010802042870号
Book学术文献互助
Book学术文献互助群
群 号:604180095
Book学术官方微信