盐度调节碳通量促进海洋原生生物thraustochtrium中角鲨烯和PUFA的生物合成。

IF 5.4 2区 医学 Q1 CHEMISTRY, MEDICINAL
Marine Drugs Pub Date : 2025-08-30 DOI:10.3390/md23090354
Yuetong Zhao, Xingyu Zhu, Nimra Riaz, Xiuping Liu, Jiaqian Li, Guangyi Wang
{"title":"盐度调节碳通量促进海洋原生生物thraustochtrium中角鲨烯和PUFA的生物合成。","authors":"Yuetong Zhao, Xingyu Zhu, Nimra Riaz, Xiuping Liu, Jiaqian Li, Guangyi Wang","doi":"10.3390/md23090354","DOIUrl":null,"url":null,"abstract":"<p><p>Salinity is a key environmental factor regulating lipid metabolism in marine oleaginous protists. This study examined the impact of NaCl concentration on growth, glucose utilization, and lipid biosynthesis in <i>Thraustochytrium</i> sp. ATCC 26185. Moderate salinity (20 g/L) enhanced biomass and glucose uptake, while high salinity (45 g/L) induced osmotic stress yet significantly promoted squalene accumulation (17.27 mg/g), a 3.26-fold increase compared with 0 g/L NaCl (5.29 mg/g). Integrated transcriptomic and metabolomic analyses revealed that salinity-dependent activation of glycolysis, the TCA cycle, and the pentose phosphate pathway increased cellular ATP, NADH, and NADPH levels. Under salt stress, the mevalonate (MVA) pathway was transcriptionally upregulated, with key enzymes, including ACAT, HMGR, and IDI, showing marked induction, which supports enhanced carbon flux toward squalene biosynthesis. Despite SQS downregulation, squalene accumulation increased, likely due to elevated precursor availability and reduced flux to downstream sterol pathways. Concurrently, high salinity repressed expression of ACC, FAS-α, and FAS-β, reducing saturated fatty acid levels, while upregulation of PKSB-favored polyunsaturated fatty acid (PUFA) synthesis. These findings suggest that high-salt stress triggers transcriptional reprogramming, redirecting acetyl-CoA from fatty acid synthesis toward squalene and PUFA production. This study offers new insights into the metabolic plasticity of thraustochytrids and highlights salinity modulation as a promising strategy for enhancing high-value lipid yields in marine biotechnology.</p>","PeriodicalId":18222,"journal":{"name":"Marine Drugs","volume":"23 9","pages":""},"PeriodicalIF":5.4000,"publicationDate":"2025-08-30","publicationTypes":"Journal Article","fieldsOfStudy":null,"isOpenAccess":false,"openAccessPdf":"https://www.ncbi.nlm.nih.gov/pmc/articles/PMC12472049/pdf/","citationCount":"0","resultStr":"{\"title\":\"Salinity Modulates Carbon Flux to Promote Squalene and PUFA Biosynthesis in the Marine Protist <i>Thraustochytrium</i>.\",\"authors\":\"Yuetong Zhao, Xingyu Zhu, Nimra Riaz, Xiuping Liu, Jiaqian Li, Guangyi Wang\",\"doi\":\"10.3390/md23090354\",\"DOIUrl\":null,\"url\":null,\"abstract\":\"<p><p>Salinity is a key environmental factor regulating lipid metabolism in marine oleaginous protists. This study examined the impact of NaCl concentration on growth, glucose utilization, and lipid biosynthesis in <i>Thraustochytrium</i> sp. ATCC 26185. Moderate salinity (20 g/L) enhanced biomass and glucose uptake, while high salinity (45 g/L) induced osmotic stress yet significantly promoted squalene accumulation (17.27 mg/g), a 3.26-fold increase compared with 0 g/L NaCl (5.29 mg/g). Integrated transcriptomic and metabolomic analyses revealed that salinity-dependent activation of glycolysis, the TCA cycle, and the pentose phosphate pathway increased cellular ATP, NADH, and NADPH levels. Under salt stress, the mevalonate (MVA) pathway was transcriptionally upregulated, with key enzymes, including ACAT, HMGR, and IDI, showing marked induction, which supports enhanced carbon flux toward squalene biosynthesis. Despite SQS downregulation, squalene accumulation increased, likely due to elevated precursor availability and reduced flux to downstream sterol pathways. Concurrently, high salinity repressed expression of ACC, FAS-α, and FAS-β, reducing saturated fatty acid levels, while upregulation of PKSB-favored polyunsaturated fatty acid (PUFA) synthesis. These findings suggest that high-salt stress triggers transcriptional reprogramming, redirecting acetyl-CoA from fatty acid synthesis toward squalene and PUFA production. This study offers new insights into the metabolic plasticity of thraustochytrids and highlights salinity modulation as a promising strategy for enhancing high-value lipid yields in marine biotechnology.</p>\",\"PeriodicalId\":18222,\"journal\":{\"name\":\"Marine Drugs\",\"volume\":\"23 9\",\"pages\":\"\"},\"PeriodicalIF\":5.4000,\"publicationDate\":\"2025-08-30\",\"publicationTypes\":\"Journal Article\",\"fieldsOfStudy\":null,\"isOpenAccess\":false,\"openAccessPdf\":\"https://www.ncbi.nlm.nih.gov/pmc/articles/PMC12472049/pdf/\",\"citationCount\":\"0\",\"resultStr\":null,\"platform\":\"Semanticscholar\",\"paperid\":null,\"PeriodicalName\":\"Marine Drugs\",\"FirstCategoryId\":\"3\",\"ListUrlMain\":\"https://doi.org/10.3390/md23090354\",\"RegionNum\":2,\"RegionCategory\":\"医学\",\"ArticlePicture\":[],\"TitleCN\":null,\"AbstractTextCN\":null,\"PMCID\":null,\"EPubDate\":\"\",\"PubModel\":\"\",\"JCR\":\"Q1\",\"JCRName\":\"CHEMISTRY, MEDICINAL\",\"Score\":null,\"Total\":0}","platform":"Semanticscholar","paperid":null,"PeriodicalName":"Marine Drugs","FirstCategoryId":"3","ListUrlMain":"https://doi.org/10.3390/md23090354","RegionNum":2,"RegionCategory":"医学","ArticlePicture":[],"TitleCN":null,"AbstractTextCN":null,"PMCID":null,"EPubDate":"","PubModel":"","JCR":"Q1","JCRName":"CHEMISTRY, MEDICINAL","Score":null,"Total":0}
引用次数: 0

摘要

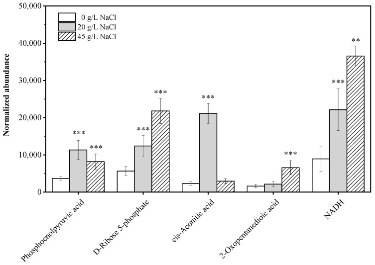
盐度是调节海洋产油原生生物脂质代谢的关键环境因子。研究了NaCl浓度对Thraustochytrium sp. ATCC 26185生长、葡萄糖利用和脂质生物合成的影响。中等盐度(20 g/L)促进了生物量和葡萄糖的吸收,而高盐度(45 g/L)诱导了渗透胁迫,但显著促进了角鲨烯的积累(17.27 mg/g),比0 g/L NaCl (5.29 mg/g)增加了3.26倍。综合转录组学和代谢组学分析显示,糖酵解、TCA循环和戊糖磷酸途径的盐依赖性激活增加了细胞ATP、NADH和NADPH水平。盐胁迫下,甲羟戊酸(MVA)通路转录上调,ACAT、HMGR和IDI等关键酶表现出明显的诱导作用,支持了角鲨烯生物合成碳通量的增强。尽管SQS下调,角鲨烯积累增加,可能是由于前体可用性升高和下游固醇途径的通量减少。同时,高盐度抑制ACC、FAS-α和FAS-β的表达,降低饱和脂肪酸水平,同时上调pksb有利于多不饱和脂肪酸(PUFA)的合成。这些发现表明,高盐胁迫触发转录重编程,将乙酰辅酶a从脂肪酸合成转向角鲨烯和PUFA的生产。该研究为thraustochytrids的代谢可塑性提供了新的见解,并强调了盐度调节是提高海洋生物技术中高价值脂质产量的有前途的策略。
本文章由计算机程序翻译,如有差异,请以英文原文为准。

Salinity Modulates Carbon Flux to Promote Squalene and PUFA Biosynthesis in the Marine Protist <i>Thraustochytrium</i>.

Salinity Modulates Carbon Flux to Promote Squalene and PUFA Biosynthesis in the Marine Protist <i>Thraustochytrium</i>.

Salinity Modulates Carbon Flux to Promote Squalene and PUFA Biosynthesis in the Marine Protist <i>Thraustochytrium</i>.

Salinity Modulates Carbon Flux to Promote Squalene and PUFA Biosynthesis in the Marine Protist Thraustochytrium.

Salinity is a key environmental factor regulating lipid metabolism in marine oleaginous protists. This study examined the impact of NaCl concentration on growth, glucose utilization, and lipid biosynthesis in Thraustochytrium sp. ATCC 26185. Moderate salinity (20 g/L) enhanced biomass and glucose uptake, while high salinity (45 g/L) induced osmotic stress yet significantly promoted squalene accumulation (17.27 mg/g), a 3.26-fold increase compared with 0 g/L NaCl (5.29 mg/g). Integrated transcriptomic and metabolomic analyses revealed that salinity-dependent activation of glycolysis, the TCA cycle, and the pentose phosphate pathway increased cellular ATP, NADH, and NADPH levels. Under salt stress, the mevalonate (MVA) pathway was transcriptionally upregulated, with key enzymes, including ACAT, HMGR, and IDI, showing marked induction, which supports enhanced carbon flux toward squalene biosynthesis. Despite SQS downregulation, squalene accumulation increased, likely due to elevated precursor availability and reduced flux to downstream sterol pathways. Concurrently, high salinity repressed expression of ACC, FAS-α, and FAS-β, reducing saturated fatty acid levels, while upregulation of PKSB-favored polyunsaturated fatty acid (PUFA) synthesis. These findings suggest that high-salt stress triggers transcriptional reprogramming, redirecting acetyl-CoA from fatty acid synthesis toward squalene and PUFA production. This study offers new insights into the metabolic plasticity of thraustochytrids and highlights salinity modulation as a promising strategy for enhancing high-value lipid yields in marine biotechnology.

求助全文
通过发布文献求助,成功后即可免费获取论文全文。 去求助
来源期刊
Marine Drugs
Marine Drugs 医学-医药化学
CiteScore
9.60
自引率
14.80%
发文量
671
审稿时长
1 months
期刊介绍: Marine Drugs (ISSN 1660-3397) publishes reviews, regular research papers and short notes on the research, development and production of drugs from the sea. Our aim is to encourage scientists to publish their experimental and theoretical research in as much detail as possible, particularly synthetic procedures and characterization information for bioactive compounds. There is no restriction on the length of the experimental section.
×
引用
GB/T 7714-2015
复制
MLA
复制
APA
复制
导出至
BibTeX EndNote RefMan NoteFirst NoteExpress
×
提示
您的信息不完整,为了账户安全,请先补充。
现在去补充
×
提示
您因"违规操作"
具体请查看互助需知
我知道了
×
提示
确定
请完成安全验证×
copy
已复制链接
快去分享给好友吧!
我知道了
右上角分享
点击右上角分享
0
联系我们:info@booksci.cn Book学术提供免费学术资源搜索服务,方便国内外学者检索中英文文献。致力于提供最便捷和优质的服务体验。 Copyright © 2023 布克学术 All rights reserved.
京ICP备2023020795号-1
ghs 京公网安备 11010802042870号
Book学术文献互助
Book学术文献互助群
群 号:604180095
Book学术官方微信
小红书