平节螺旋藻藻胆蛋白提取物增强太平洋牡蛎免疫功能。

IF 5.4 2区 医学 Q1 CHEMISTRY, MEDICINAL
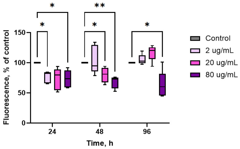
Marine Drugs Pub Date : 2025-09-10 DOI:10.3390/md23090355
Aleksandra Andreyeva, Tatyana Kukhareva, Anastasiya Tkachuk, Maria Podolskaya, Elina Chelebieva, Andrey Borovkov
{"title":"平节螺旋藻藻胆蛋白提取物增强太平洋牡蛎免疫功能。","authors":"Aleksandra Andreyeva, Tatyana Kukhareva, Anastasiya Tkachuk, Maria Podolskaya, Elina Chelebieva, Andrey Borovkov","doi":"10.3390/md23090355","DOIUrl":null,"url":null,"abstract":"<p><p>The utilization of functional feeds in oyster hatcheries to reduce disease-related issues and improve health in the prespawning period is expected to become essential in the near future. In the present study, an aqueous extract of phycobiliproteins (CBPs) sourced from the cyanobacterium <i>Arthrospira platensis</i> was tested as an immunomodulatory agent in the Pacific oyster (<i>Magallana gigas</i>). Adult oysters were given three distinct treatments with the aqueous extract of CBPs (2, 20 or 80 μg/mL) for 24-96 h. In vivo analysis demonstrated that the extract of CBPs enhanced phagocytosis, lysosomal content and mitochondrial membrane potential levels, but inhibited the production of reactive oxygen species in hemocytes of oysters. Higher concentrations of the extract (80 μg/mL) had a more rapid effect on phagocytosis, with significant differences found after the first 24 h of the experiment. Lower concentrations of the extract (2 μg/mL) enhanced the phagocytic activity of hemocytes at later stages of its administration. Additionally, the expression profiles of the <i>hsp70</i> and <i>hsp90</i> genes were monitored in gills from oysters exposed to the extract at concentrations of 2, 20 and 200 μg/mL for 48 h, considering their roles in regulating the innate immune system in bivalves. The results show that <i>hsp70</i> expression was down-regulated during the first 24 h of administration, whereas it recovered to control levels after 48 h. In contrast, the expression levels of <i>hsp90</i> were up-regulated throughout the entire period of extract administration. Combined, the results of the present study show that the aqueous extract of CBPs from <i>A. platensis</i> can rapidly enhance the cellular immune response in Pacific oysters, and could potentially be used as an immunomodulator in bivalve hatcheries.</p>","PeriodicalId":18222,"journal":{"name":"Marine Drugs","volume":"23 9","pages":""},"PeriodicalIF":5.4000,"publicationDate":"2025-09-10","publicationTypes":"Journal Article","fieldsOfStudy":null,"isOpenAccess":false,"openAccessPdf":"https://www.ncbi.nlm.nih.gov/pmc/articles/PMC12471697/pdf/","citationCount":"0","resultStr":"{\"title\":\"Phycobiliprotein Extract from <i>Arthrospira platensis</i> Boosts Immune Function in Pacific Oysters (<i>Magallana gigas</i>).\",\"authors\":\"Aleksandra Andreyeva, Tatyana Kukhareva, Anastasiya Tkachuk, Maria Podolskaya, Elina Chelebieva, Andrey Borovkov\",\"doi\":\"10.3390/md23090355\",\"DOIUrl\":null,\"url\":null,\"abstract\":\"<p><p>The utilization of functional feeds in oyster hatcheries to reduce disease-related issues and improve health in the prespawning period is expected to become essential in the near future. In the present study, an aqueous extract of phycobiliproteins (CBPs) sourced from the cyanobacterium <i>Arthrospira platensis</i> was tested as an immunomodulatory agent in the Pacific oyster (<i>Magallana gigas</i>). Adult oysters were given three distinct treatments with the aqueous extract of CBPs (2, 20 or 80 μg/mL) for 24-96 h. In vivo analysis demonstrated that the extract of CBPs enhanced phagocytosis, lysosomal content and mitochondrial membrane potential levels, but inhibited the production of reactive oxygen species in hemocytes of oysters. Higher concentrations of the extract (80 μg/mL) had a more rapid effect on phagocytosis, with significant differences found after the first 24 h of the experiment. Lower concentrations of the extract (2 μg/mL) enhanced the phagocytic activity of hemocytes at later stages of its administration. Additionally, the expression profiles of the <i>hsp70</i> and <i>hsp90</i> genes were monitored in gills from oysters exposed to the extract at concentrations of 2, 20 and 200 μg/mL for 48 h, considering their roles in regulating the innate immune system in bivalves. The results show that <i>hsp70</i> expression was down-regulated during the first 24 h of administration, whereas it recovered to control levels after 48 h. In contrast, the expression levels of <i>hsp90</i> were up-regulated throughout the entire period of extract administration. Combined, the results of the present study show that the aqueous extract of CBPs from <i>A. platensis</i> can rapidly enhance the cellular immune response in Pacific oysters, and could potentially be used as an immunomodulator in bivalve hatcheries.</p>\",\"PeriodicalId\":18222,\"journal\":{\"name\":\"Marine Drugs\",\"volume\":\"23 9\",\"pages\":\"\"},\"PeriodicalIF\":5.4000,\"publicationDate\":\"2025-09-10\",\"publicationTypes\":\"Journal Article\",\"fieldsOfStudy\":null,\"isOpenAccess\":false,\"openAccessPdf\":\"https://www.ncbi.nlm.nih.gov/pmc/articles/PMC12471697/pdf/\",\"citationCount\":\"0\",\"resultStr\":null,\"platform\":\"Semanticscholar\",\"paperid\":null,\"PeriodicalName\":\"Marine Drugs\",\"FirstCategoryId\":\"3\",\"ListUrlMain\":\"https://doi.org/10.3390/md23090355\",\"RegionNum\":2,\"RegionCategory\":\"医学\",\"ArticlePicture\":[],\"TitleCN\":null,\"AbstractTextCN\":null,\"PMCID\":null,\"EPubDate\":\"\",\"PubModel\":\"\",\"JCR\":\"Q1\",\"JCRName\":\"CHEMISTRY, MEDICINAL\",\"Score\":null,\"Total\":0}","platform":"Semanticscholar","paperid":null,"PeriodicalName":"Marine Drugs","FirstCategoryId":"3","ListUrlMain":"https://doi.org/10.3390/md23090355","RegionNum":2,"RegionCategory":"医学","ArticlePicture":[],"TitleCN":null,"AbstractTextCN":null,"PMCID":null,"EPubDate":"","PubModel":"","JCR":"Q1","JCRName":"CHEMISTRY, MEDICINAL","Score":null,"Total":0}
引用次数: 0

摘要

在不久的将来,在牡蛎孵化场中使用功能饲料以减少与产卵前期有关的疾病和改善健康状况预计将变得至关重要。在本研究中,从蓝藻Arthrospira platensis中提取的藻胆蛋白(CBPs)的水提取物被测试为太平洋牡蛎(Magallana gigas)的免疫调节剂。用CBPs水提物(2、20或80 μg/mL)处理成年牡蛎24-96 h。体内实验表明,CBPs水提物提高了牡蛎的吞噬能力、溶酶体含量和线粒体膜电位水平,但抑制了牡蛎血细胞中活性氧的产生。越高浓度的提取物(80 μg/mL),其吞噬作用越快,在实验开始24 h后差异显著。较低浓度的提取物(2 μg/mL)在给药后期增强了血细胞的吞噬活性。此外,考虑到hsp70和hsp90基因在调节双壳类动物先天免疫系统中的作用,我们监测了hsp70和hsp90基因在暴露于浓度为2、20和200 μg/mL的牡蛎鳃中48 h的表达谱。结果表明,hsp70在给药前24 h表达下调,48 h后恢复到对照水平,而hsp90在整个给药期间表达上调。综上所述,本研究结果表明,platensis CBPs水提物可以快速增强太平洋牡蛎的细胞免疫反应,并有可能作为双壳类孵化场的免疫调节剂。
本文章由计算机程序翻译,如有差异,请以英文原文为准。

Phycobiliprotein Extract from <i>Arthrospira platensis</i> Boosts Immune Function in Pacific Oysters (<i>Magallana gigas</i>).

Phycobiliprotein Extract from <i>Arthrospira platensis</i> Boosts Immune Function in Pacific Oysters (<i>Magallana gigas</i>).

Phycobiliprotein Extract from <i>Arthrospira platensis</i> Boosts Immune Function in Pacific Oysters (<i>Magallana gigas</i>).

Phycobiliprotein Extract from Arthrospira platensis Boosts Immune Function in Pacific Oysters (Magallana gigas).

The utilization of functional feeds in oyster hatcheries to reduce disease-related issues and improve health in the prespawning period is expected to become essential in the near future. In the present study, an aqueous extract of phycobiliproteins (CBPs) sourced from the cyanobacterium Arthrospira platensis was tested as an immunomodulatory agent in the Pacific oyster (Magallana gigas). Adult oysters were given three distinct treatments with the aqueous extract of CBPs (2, 20 or 80 μg/mL) for 24-96 h. In vivo analysis demonstrated that the extract of CBPs enhanced phagocytosis, lysosomal content and mitochondrial membrane potential levels, but inhibited the production of reactive oxygen species in hemocytes of oysters. Higher concentrations of the extract (80 μg/mL) had a more rapid effect on phagocytosis, with significant differences found after the first 24 h of the experiment. Lower concentrations of the extract (2 μg/mL) enhanced the phagocytic activity of hemocytes at later stages of its administration. Additionally, the expression profiles of the hsp70 and hsp90 genes were monitored in gills from oysters exposed to the extract at concentrations of 2, 20 and 200 μg/mL for 48 h, considering their roles in regulating the innate immune system in bivalves. The results show that hsp70 expression was down-regulated during the first 24 h of administration, whereas it recovered to control levels after 48 h. In contrast, the expression levels of hsp90 were up-regulated throughout the entire period of extract administration. Combined, the results of the present study show that the aqueous extract of CBPs from A. platensis can rapidly enhance the cellular immune response in Pacific oysters, and could potentially be used as an immunomodulator in bivalve hatcheries.

求助全文
通过发布文献求助,成功后即可免费获取论文全文。 去求助
来源期刊
Marine Drugs
Marine Drugs 医学-医药化学
CiteScore
9.60
自引率
14.80%
发文量
671
审稿时长
1 months
期刊介绍: Marine Drugs (ISSN 1660-3397) publishes reviews, regular research papers and short notes on the research, development and production of drugs from the sea. Our aim is to encourage scientists to publish their experimental and theoretical research in as much detail as possible, particularly synthetic procedures and characterization information for bioactive compounds. There is no restriction on the length of the experimental section.
×
引用
GB/T 7714-2015
复制
MLA
复制
APA
复制
导出至
BibTeX EndNote RefMan NoteFirst NoteExpress
×
提示
您的信息不完整,为了账户安全,请先补充。
现在去补充
×
提示
您因"违规操作"
具体请查看互助需知
我知道了
×
提示
确定
请完成安全验证×
copy
已复制链接
快去分享给好友吧!
我知道了
右上角分享
点击右上角分享
0
联系我们:info@booksci.cn Book学术提供免费学术资源搜索服务,方便国内外学者检索中英文文献。致力于提供最便捷和优质的服务体验。 Copyright © 2023 布克学术 All rights reserved.
京ICP备2023020795号-1
ghs 京公网安备 11010802042870号
Book学术文献互助
Book学术文献互助群
群 号:604180095
Book学术官方微信