osmac驱动下从冷渗源真菌Talaromyces amestolkiae HDN21-0307中发现六种新的生物碱。

IF 5.4 2区 医学 Q1 CHEMISTRY, MEDICINAL
Marine Drugs Pub Date : 2025-08-25 DOI:10.3390/md23090337
Xinsheng Huang, Jiajin Wu, Luning Zhou, Zhengjie Wang, Qian Che, Liangzhen Chen, Wenxue Wang, Tianjiao Zhu, Dehai Li
{"title":"osmac驱动下从冷渗源真菌Talaromyces amestolkiae HDN21-0307中发现六种新的生物碱。","authors":"Xinsheng Huang, Jiajin Wu, Luning Zhou, Zhengjie Wang, Qian Che, Liangzhen Chen, Wenxue Wang, Tianjiao Zhu, Dehai Li","doi":"10.3390/md23090337","DOIUrl":null,"url":null,"abstract":"<p><p>Six new alkaloid compounds, including two rare aromatic nitrile compounds talaronitriles A-B (<b>1</b>-<b>2</b>), a novel oxime-functionalized azadiphilone analogue talarooxime A (<b>3</b>), a new phenylhydrazone alkaloid talarohydrazone E (<b>4</b>), and two new dipeptide compounds talarodipeptides A-B (<b>5</b>-<b>6</b>), were isolated from the deep-sea cold-seep-derived fungus <i>Talaromyces amestolkiae</i> HDN21-0307 via OSMAC approach. Compound <b>1</b> is the first natural naphthalene compound with cyano groups. Compound <b>3</b> represents the first natural product containing an oxime-functionalized azadiphilone scaffold. Their structures and absolute configurations were elucidated through spectroscopic data analysis and quantum chemical calculations. Notably, compound <b>3</b> demonstrated moderate DPPH free-radical-scavenging activity, with an IC<sub>50</sub> value of 29.41 μM.</p>","PeriodicalId":18222,"journal":{"name":"Marine Drugs","volume":"23 9","pages":""},"PeriodicalIF":5.4000,"publicationDate":"2025-08-25","publicationTypes":"Journal Article","fieldsOfStudy":null,"isOpenAccess":false,"openAccessPdf":"https://www.ncbi.nlm.nih.gov/pmc/articles/PMC12472177/pdf/","citationCount":"0","resultStr":"{\"title\":\"OSMAC-Driven Discovery of Six New Alkaloids from the Cold-Seep-Derived Fungus <i>Talaromyces amestolkiae</i> HDN21-0307.\",\"authors\":\"Xinsheng Huang, Jiajin Wu, Luning Zhou, Zhengjie Wang, Qian Che, Liangzhen Chen, Wenxue Wang, Tianjiao Zhu, Dehai Li\",\"doi\":\"10.3390/md23090337\",\"DOIUrl\":null,\"url\":null,\"abstract\":\"<p><p>Six new alkaloid compounds, including two rare aromatic nitrile compounds talaronitriles A-B (<b>1</b>-<b>2</b>), a novel oxime-functionalized azadiphilone analogue talarooxime A (<b>3</b>), a new phenylhydrazone alkaloid talarohydrazone E (<b>4</b>), and two new dipeptide compounds talarodipeptides A-B (<b>5</b>-<b>6</b>), were isolated from the deep-sea cold-seep-derived fungus <i>Talaromyces amestolkiae</i> HDN21-0307 via OSMAC approach. Compound <b>1</b> is the first natural naphthalene compound with cyano groups. Compound <b>3</b> represents the first natural product containing an oxime-functionalized azadiphilone scaffold. Their structures and absolute configurations were elucidated through spectroscopic data analysis and quantum chemical calculations. Notably, compound <b>3</b> demonstrated moderate DPPH free-radical-scavenging activity, with an IC<sub>50</sub> value of 29.41 μM.</p>\",\"PeriodicalId\":18222,\"journal\":{\"name\":\"Marine Drugs\",\"volume\":\"23 9\",\"pages\":\"\"},\"PeriodicalIF\":5.4000,\"publicationDate\":\"2025-08-25\",\"publicationTypes\":\"Journal Article\",\"fieldsOfStudy\":null,\"isOpenAccess\":false,\"openAccessPdf\":\"https://www.ncbi.nlm.nih.gov/pmc/articles/PMC12472177/pdf/\",\"citationCount\":\"0\",\"resultStr\":null,\"platform\":\"Semanticscholar\",\"paperid\":null,\"PeriodicalName\":\"Marine Drugs\",\"FirstCategoryId\":\"3\",\"ListUrlMain\":\"https://doi.org/10.3390/md23090337\",\"RegionNum\":2,\"RegionCategory\":\"医学\",\"ArticlePicture\":[],\"TitleCN\":null,\"AbstractTextCN\":null,\"PMCID\":null,\"EPubDate\":\"\",\"PubModel\":\"\",\"JCR\":\"Q1\",\"JCRName\":\"CHEMISTRY, MEDICINAL\",\"Score\":null,\"Total\":0}","platform":"Semanticscholar","paperid":null,"PeriodicalName":"Marine Drugs","FirstCategoryId":"3","ListUrlMain":"https://doi.org/10.3390/md23090337","RegionNum":2,"RegionCategory":"医学","ArticlePicture":[],"TitleCN":null,"AbstractTextCN":null,"PMCID":null,"EPubDate":"","PubModel":"","JCR":"Q1","JCRName":"CHEMISTRY, MEDICINAL","Score":null,"Total":0}
引用次数: 0

摘要

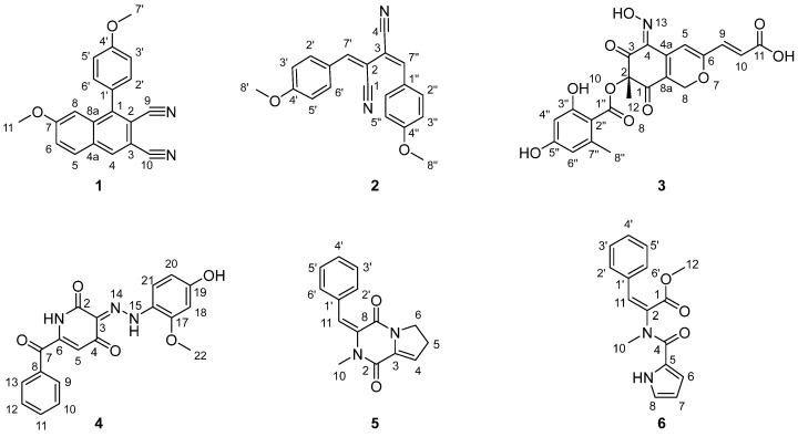
通过OSMAC法从深海冷源真菌Talaromyces amestolkiae HDN21-0307中分离得到6个新的生物碱化合物,包括2个稀有芳香腈化合物talaronitriles a - b(1-2)、1个新的肟功能化氮杂二酮类似物talarooxime a(3)、1个新的苯基腙生物碱talarohydrazone E(4)和2个新的二肽化合物talarodizone a - b(5-6)。化合物1是第一个含氰基的天然萘化合物。化合物3是第一个含有肟功能化氮杂二酮支架的天然产物。通过光谱数据分析和量子化学计算阐明了它们的结构和绝对构型。值得注意的是,化合物3具有中等的DPPH自由基清除活性,IC50值为29.41 μM。
本文章由计算机程序翻译,如有差异,请以英文原文为准。

OSMAC-Driven Discovery of Six New Alkaloids from the Cold-Seep-Derived Fungus <i>Talaromyces amestolkiae</i> HDN21-0307.

OSMAC-Driven Discovery of Six New Alkaloids from the Cold-Seep-Derived Fungus <i>Talaromyces amestolkiae</i> HDN21-0307.

OSMAC-Driven Discovery of Six New Alkaloids from the Cold-Seep-Derived Fungus <i>Talaromyces amestolkiae</i> HDN21-0307.

OSMAC-Driven Discovery of Six New Alkaloids from the Cold-Seep-Derived Fungus Talaromyces amestolkiae HDN21-0307.

Six new alkaloid compounds, including two rare aromatic nitrile compounds talaronitriles A-B (1-2), a novel oxime-functionalized azadiphilone analogue talarooxime A (3), a new phenylhydrazone alkaloid talarohydrazone E (4), and two new dipeptide compounds talarodipeptides A-B (5-6), were isolated from the deep-sea cold-seep-derived fungus Talaromyces amestolkiae HDN21-0307 via OSMAC approach. Compound 1 is the first natural naphthalene compound with cyano groups. Compound 3 represents the first natural product containing an oxime-functionalized azadiphilone scaffold. Their structures and absolute configurations were elucidated through spectroscopic data analysis and quantum chemical calculations. Notably, compound 3 demonstrated moderate DPPH free-radical-scavenging activity, with an IC50 value of 29.41 μM.

求助全文
通过发布文献求助,成功后即可免费获取论文全文。 去求助
来源期刊
Marine Drugs
Marine Drugs 医学-医药化学
CiteScore
9.60
自引率
14.80%
发文量
671
审稿时长
1 months
期刊介绍: Marine Drugs (ISSN 1660-3397) publishes reviews, regular research papers and short notes on the research, development and production of drugs from the sea. Our aim is to encourage scientists to publish their experimental and theoretical research in as much detail as possible, particularly synthetic procedures and characterization information for bioactive compounds. There is no restriction on the length of the experimental section.
×
引用
GB/T 7714-2015
复制
MLA
复制
APA
复制
导出至
BibTeX EndNote RefMan NoteFirst NoteExpress
×
提示
您的信息不完整,为了账户安全,请先补充。
现在去补充
×
提示
您因"违规操作"
具体请查看互助需知
我知道了
×
提示
确定
请完成安全验证×
copy
已复制链接
快去分享给好友吧!
我知道了
右上角分享
点击右上角分享
0
联系我们:info@booksci.cn Book学术提供免费学术资源搜索服务,方便国内外学者检索中英文文献。致力于提供最便捷和优质的服务体验。 Copyright © 2023 布克学术 All rights reserved.
京ICP备2023020795号-1
ghs 京公网安备 11010802042870号
Book学术文献互助
Book学术文献互助群
群 号:604180095
Book学术官方微信