欧文-格拉斯综合征个性化治疗结果:一项回顾性单中心队列研究。

IF 3 3区 医学 Q2 HEALTH CARE SCIENCES & SERVICES
Lorenzo Tomaschek, Laura Hoffmann, Robert Katamay, David Stocker, Asan Kochkorov, Katja Hatz
{"title":"欧文-格拉斯综合征个性化治疗结果:一项回顾性单中心队列研究。","authors":"Lorenzo Tomaschek, Laura Hoffmann, Robert Katamay, David Stocker, Asan Kochkorov, Katja Hatz","doi":"10.3390/jpm15090428","DOIUrl":null,"url":null,"abstract":"<p><p>Irvine-Gass syndrome (IGS) is a macular edema that is mostly observed after cataract surgery, also known as pseudophakic cystoid macular edema (PCME). To date, there are still no standardized guidelines for its treatment. <b>Background/Objectives</b>: This study aimed to compare the efficacy of local and systemic treatments on the resolution of Irvine-Gass Syndrome as well as the therapeutic outcomes of patients with known risk factors such as diabetes and arterial hypertension in order to be able to personalize treatment regimens for each patient. <b>Methods</b>: A total of 136 eyes were followed for a mean of 9.7 ± 15.2 months, with patients divided as follows: those who received only local treatment (LT), those who received systemic treatment (ST), those with cardiovascular diseases (CV), and those without cardiovascular diseases (NCV). We compared the time from the diagnosis of IGS to fully recovered edema (no sub- or intraretinal fluid), central subfield thickness (CST, as evaluated using optical coherence tomography), visual acuity (VA), and intraocular pressure (IOD) in each group. The time from diagnosis to resolution was measured from the initiation of therapy to the full resolution of edema. <b>Results</b>: A total of 136 eyes were examined. The mean CST significantly decreased in the LT (<i>n</i> = 75) (458.3 ± 96.5 µm to 320 ± 39.5 µm (<i>p</i> < 0.01)) and ST (<i>n</i> = 61) groups (519.3 ± 121.6 µm to 337.2 ± 70.6 µm (<i>p</i> < 0.01)) from baseline to 12 months, with no significant difference (<i>p</i> = 0.92). The mean VA significantly increased in both groups from baseline to 12 months (LT: 69.1 ± 11.9 to 80.4 ± 6.6 letters (<i>p</i> < 0.01); ST: 65.1 ± 11.8 to 78.5 ± 6.8 letters (<i>p</i> < 0.01)). The mean time to the resolution of edema was significantly shorter in the LT group (<i>p</i> < 0.05). There were no significant differences in the CST decrease, VA gain, or time to edema resolution between the CV and NCV patients. <b>Conclusions</b>: In regard to the non-inferiority of local treatment, a personalized approach for each patient should be considered, and systemic treatment must be critically evaluated to determine possible side effects.</p>","PeriodicalId":16722,"journal":{"name":"Journal of Personalized Medicine","volume":"15 9","pages":""},"PeriodicalIF":3.0000,"publicationDate":"2025-09-05","publicationTypes":"Journal Article","fieldsOfStudy":null,"isOpenAccess":false,"openAccessPdf":"https://www.ncbi.nlm.nih.gov/pmc/articles/PMC12471118/pdf/","citationCount":"0","resultStr":"{\"title\":\"Irvine-Gass Syndrome Personalized Treatment Outcomes: A Retrospective Single-Center Cohort Study.\",\"authors\":\"Lorenzo Tomaschek, Laura Hoffmann, Robert Katamay, David Stocker, Asan Kochkorov, Katja Hatz\",\"doi\":\"10.3390/jpm15090428\",\"DOIUrl\":null,\"url\":null,\"abstract\":\"<p><p>Irvine-Gass syndrome (IGS) is a macular edema that is mostly observed after cataract surgery, also known as pseudophakic cystoid macular edema (PCME). To date, there are still no standardized guidelines for its treatment. <b>Background/Objectives</b>: This study aimed to compare the efficacy of local and systemic treatments on the resolution of Irvine-Gass Syndrome as well as the therapeutic outcomes of patients with known risk factors such as diabetes and arterial hypertension in order to be able to personalize treatment regimens for each patient. <b>Methods</b>: A total of 136 eyes were followed for a mean of 9.7 ± 15.2 months, with patients divided as follows: those who received only local treatment (LT), those who received systemic treatment (ST), those with cardiovascular diseases (CV), and those without cardiovascular diseases (NCV). We compared the time from the diagnosis of IGS to fully recovered edema (no sub- or intraretinal fluid), central subfield thickness (CST, as evaluated using optical coherence tomography), visual acuity (VA), and intraocular pressure (IOD) in each group. The time from diagnosis to resolution was measured from the initiation of therapy to the full resolution of edema. <b>Results</b>: A total of 136 eyes were examined. The mean CST significantly decreased in the LT (<i>n</i> = 75) (458.3 ± 96.5 µm to 320 ± 39.5 µm (<i>p</i> < 0.01)) and ST (<i>n</i> = 61) groups (519.3 ± 121.6 µm to 337.2 ± 70.6 µm (<i>p</i> < 0.01)) from baseline to 12 months, with no significant difference (<i>p</i> = 0.92). The mean VA significantly increased in both groups from baseline to 12 months (LT: 69.1 ± 11.9 to 80.4 ± 6.6 letters (<i>p</i> < 0.01); ST: 65.1 ± 11.8 to 78.5 ± 6.8 letters (<i>p</i> < 0.01)). The mean time to the resolution of edema was significantly shorter in the LT group (<i>p</i> < 0.05). There were no significant differences in the CST decrease, VA gain, or time to edema resolution between the CV and NCV patients. <b>Conclusions</b>: In regard to the non-inferiority of local treatment, a personalized approach for each patient should be considered, and systemic treatment must be critically evaluated to determine possible side effects.</p>\",\"PeriodicalId\":16722,\"journal\":{\"name\":\"Journal of Personalized Medicine\",\"volume\":\"15 9\",\"pages\":\"\"},\"PeriodicalIF\":3.0000,\"publicationDate\":\"2025-09-05\",\"publicationTypes\":\"Journal Article\",\"fieldsOfStudy\":null,\"isOpenAccess\":false,\"openAccessPdf\":\"https://www.ncbi.nlm.nih.gov/pmc/articles/PMC12471118/pdf/\",\"citationCount\":\"0\",\"resultStr\":null,\"platform\":\"Semanticscholar\",\"paperid\":null,\"PeriodicalName\":\"Journal of Personalized Medicine\",\"FirstCategoryId\":\"3\",\"ListUrlMain\":\"https://doi.org/10.3390/jpm15090428\",\"RegionNum\":3,\"RegionCategory\":\"医学\",\"ArticlePicture\":[],\"TitleCN\":null,\"AbstractTextCN\":null,\"PMCID\":null,\"EPubDate\":\"\",\"PubModel\":\"\",\"JCR\":\"Q2\",\"JCRName\":\"HEALTH CARE SCIENCES & SERVICES\",\"Score\":null,\"Total\":0}","platform":"Semanticscholar","paperid":null,"PeriodicalName":"Journal of Personalized Medicine","FirstCategoryId":"3","ListUrlMain":"https://doi.org/10.3390/jpm15090428","RegionNum":3,"RegionCategory":"医学","ArticlePicture":[],"TitleCN":null,"AbstractTextCN":null,"PMCID":null,"EPubDate":"","PubModel":"","JCR":"Q2","JCRName":"HEALTH CARE SCIENCES & SERVICES","Score":null,"Total":0}
引用次数: 0

摘要

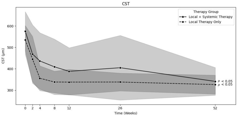
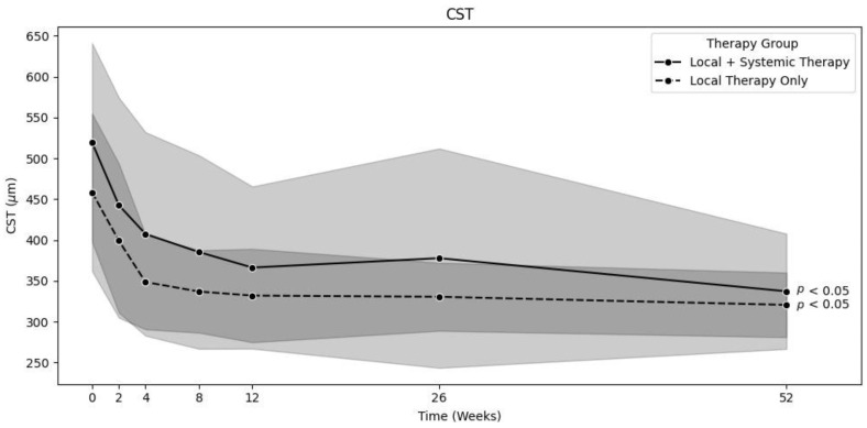
Irvine-Gass综合征(IGS)是一种黄斑水肿,主要发生在白内障手术后,也称为假性晶状体囊样黄斑水肿(PCME)。迄今为止,仍然没有标准化的治疗指南。背景/目的:本研究旨在比较局部治疗和全身治疗对已知危险因素(如糖尿病、动脉性高血压)患者的治疗效果,以便为每位患者制定个性化的治疗方案。方法:对136只眼进行随访,平均9.7±15.2个月,分为局部治疗组(LT)、全身治疗组(ST)、合并心血管疾病组(CV)和无心血管疾病组(NCV)。我们比较了从诊断为IGS到完全恢复水肿(无亚区或视网膜内液体)、中央亚区厚度(CST,通过光学相干断层扫描评估)、视力(VA)和眼压(IOD)的时间。从开始治疗到水肿完全消退,从诊断到消退的时间被测量。结果:共检查136只眼。从基线到12个月,LT组(n = 75)(458.3±96.5µm至320±39.5µm (p < 0.01))和ST组(n = 61)(519.3±121.6µm至337.2±70.6µm (p < 0.01))的平均CST显著降低,差异无统计学意义(p = 0.92)。从基线到12个月,两组的平均VA显著增加(LT: 69.1±11.9至80.4±6.6个字母(p < 0.01);ST: 65.1±11.8 ~ 78.5±6.8个字母(p < 0.01)。LT组水肿消退的平均时间明显缩短(p < 0.05)。CV和NCV患者在CST降低、VA增加或水肿消退时间方面没有显著差异。结论:关于局部治疗的非劣效性,应考虑针对每位患者的个性化治疗方法,必须对全身治疗进行严格评估,以确定可能的副作用。
本文章由计算机程序翻译,如有差异,请以英文原文为准。

Irvine-Gass Syndrome Personalized Treatment Outcomes: A Retrospective Single-Center Cohort Study.

Irvine-Gass Syndrome Personalized Treatment Outcomes: A Retrospective Single-Center Cohort Study.

Irvine-Gass Syndrome Personalized Treatment Outcomes: A Retrospective Single-Center Cohort Study.

Irvine-Gass Syndrome Personalized Treatment Outcomes: A Retrospective Single-Center Cohort Study.

Irvine-Gass syndrome (IGS) is a macular edema that is mostly observed after cataract surgery, also known as pseudophakic cystoid macular edema (PCME). To date, there are still no standardized guidelines for its treatment. Background/Objectives: This study aimed to compare the efficacy of local and systemic treatments on the resolution of Irvine-Gass Syndrome as well as the therapeutic outcomes of patients with known risk factors such as diabetes and arterial hypertension in order to be able to personalize treatment regimens for each patient. Methods: A total of 136 eyes were followed for a mean of 9.7 ± 15.2 months, with patients divided as follows: those who received only local treatment (LT), those who received systemic treatment (ST), those with cardiovascular diseases (CV), and those without cardiovascular diseases (NCV). We compared the time from the diagnosis of IGS to fully recovered edema (no sub- or intraretinal fluid), central subfield thickness (CST, as evaluated using optical coherence tomography), visual acuity (VA), and intraocular pressure (IOD) in each group. The time from diagnosis to resolution was measured from the initiation of therapy to the full resolution of edema. Results: A total of 136 eyes were examined. The mean CST significantly decreased in the LT (n = 75) (458.3 ± 96.5 µm to 320 ± 39.5 µm (p < 0.01)) and ST (n = 61) groups (519.3 ± 121.6 µm to 337.2 ± 70.6 µm (p < 0.01)) from baseline to 12 months, with no significant difference (p = 0.92). The mean VA significantly increased in both groups from baseline to 12 months (LT: 69.1 ± 11.9 to 80.4 ± 6.6 letters (p < 0.01); ST: 65.1 ± 11.8 to 78.5 ± 6.8 letters (p < 0.01)). The mean time to the resolution of edema was significantly shorter in the LT group (p < 0.05). There were no significant differences in the CST decrease, VA gain, or time to edema resolution between the CV and NCV patients. Conclusions: In regard to the non-inferiority of local treatment, a personalized approach for each patient should be considered, and systemic treatment must be critically evaluated to determine possible side effects.

求助全文
通过发布文献求助,成功后即可免费获取论文全文。 去求助
来源期刊
Journal of Personalized Medicine
Journal of Personalized Medicine Medicine-Medicine (miscellaneous)
CiteScore
4.10
自引率
0.00%
发文量
1878
审稿时长
11 weeks
期刊介绍: Journal of Personalized Medicine (JPM; ISSN 2075-4426) is an international, open access journal aimed at bringing all aspects of personalized medicine to one platform. JPM publishes cutting edge, innovative preclinical and translational scientific research and technologies related to personalized medicine (e.g., pharmacogenomics/proteomics, systems biology). JPM recognizes that personalized medicine—the assessment of genetic, environmental and host factors that cause variability of individuals—is a challenging, transdisciplinary topic that requires discussions from a range of experts. For a comprehensive perspective of personalized medicine, JPM aims to integrate expertise from the molecular and translational sciences, therapeutics and diagnostics, as well as discussions of regulatory, social, ethical and policy aspects. We provide a forum to bring together academic and clinical researchers, biotechnology, diagnostic and pharmaceutical companies, health professionals, regulatory and ethical experts, and government and regulatory authorities.
×
引用
GB/T 7714-2015
复制
MLA
复制
APA
复制
导出至
BibTeX EndNote RefMan NoteFirst NoteExpress
×
提示
您的信息不完整,为了账户安全,请先补充。
现在去补充
×
提示
您因"违规操作"
具体请查看互助需知
我知道了
×
提示
确定
请完成安全验证×
copy
已复制链接
快去分享给好友吧!
我知道了
右上角分享
点击右上角分享
0
联系我们:info@booksci.cn Book学术提供免费学术资源搜索服务,方便国内外学者检索中英文文献。致力于提供最便捷和优质的服务体验。 Copyright © 2023 布克学术 All rights reserved.
京ICP备2023020795号-1
ghs 京公网安备 11010802042870号
Book学术文献互助
Book学术文献互助群
群 号:604180095
Book学术官方微信