两性阴离子表面活性剂混合蠕虫状胶束合成多孔材料高效处理油田废水。

IF 5.3 3区 化学 Q1 POLYMER SCIENCE
Gels Pub Date : 2025-09-05 DOI:10.3390/gels11090714
Fei Liu, Zhenzhen Li, Chenye Yang, Ya Wu, Ying Tang
{"title":"两性阴离子表面活性剂混合蠕虫状胶束合成多孔材料高效处理油田废水。","authors":"Fei Liu, Zhenzhen Li, Chenye Yang, Ya Wu, Ying Tang","doi":"10.3390/gels11090714","DOIUrl":null,"url":null,"abstract":"<p><p>Addressing the challenge of sulfonated lignite (SL) removal from oilfield wastewater, this study introduces a novel hierarchical MgFe-layered double hydroxide (LDH) adsorbent. The material was fabricated via in situ co-precipitation, utilizing a template formed by the NaCl-induced co-assembly of oleylaminopropyl betaine (OAPB) and sodium dodecyl sulfate (SLS) into zwitterionic, anionic, shear-responsive viscoelastic gels. This gel-templating approach yielded an LDH structure featuring a hierarchical pore network spanning 1-80 nm and a notably high specific surface area of 199.82 m<sup>2</sup>/g, as characterized by SEM and BET. The resulting MgFe-LDH demonstrated exceptional efficacy, achieving a SL removal efficiency exceeding 96% and a maximum adsorption capacity of 90.68 mg/g at neutral pH. Adsorption kinetics were best described by a pseudo-second-order model (R<sup>2</sup> > 0.99), with intra-particle diffusion identified as the rate-determining step. Equilibrium adsorption data conformed to the Langmuir isotherm, signifying monolayer uptake. Thermodynamic analysis confirmed the process was spontaneous (ΔG < 0) and exothermic (ΔH = -20.09 kJ/mol), driven primarily by electrostatic interactions and ion exchange. The adsorbent exhibited robust recyclability, maintaining over 79% of its initial capacity after three adsorption-desorption cycles. This gel-directed synthesis presents a sustainable pathway for developing high-performance adsorbents targeting complex contaminants in oilfield effluents.</p>","PeriodicalId":12506,"journal":{"name":"Gels","volume":"11 9","pages":""},"PeriodicalIF":5.3000,"publicationDate":"2025-09-05","publicationTypes":"Journal Article","fieldsOfStudy":null,"isOpenAccess":false,"openAccessPdf":"https://www.ncbi.nlm.nih.gov/pmc/articles/PMC12469700/pdf/","citationCount":"0","resultStr":"{\"title\":\"Synthesis of Porous Materials on Hybrid Wormlike Micelles of Zwitterionic and Anionic Surfactants for Efficient Oilfield Wastewater Treatment.\",\"authors\":\"Fei Liu, Zhenzhen Li, Chenye Yang, Ya Wu, Ying Tang\",\"doi\":\"10.3390/gels11090714\",\"DOIUrl\":null,\"url\":null,\"abstract\":\"<p><p>Addressing the challenge of sulfonated lignite (SL) removal from oilfield wastewater, this study introduces a novel hierarchical MgFe-layered double hydroxide (LDH) adsorbent. The material was fabricated via in situ co-precipitation, utilizing a template formed by the NaCl-induced co-assembly of oleylaminopropyl betaine (OAPB) and sodium dodecyl sulfate (SLS) into zwitterionic, anionic, shear-responsive viscoelastic gels. This gel-templating approach yielded an LDH structure featuring a hierarchical pore network spanning 1-80 nm and a notably high specific surface area of 199.82 m<sup>2</sup>/g, as characterized by SEM and BET. The resulting MgFe-LDH demonstrated exceptional efficacy, achieving a SL removal efficiency exceeding 96% and a maximum adsorption capacity of 90.68 mg/g at neutral pH. Adsorption kinetics were best described by a pseudo-second-order model (R<sup>2</sup> > 0.99), with intra-particle diffusion identified as the rate-determining step. Equilibrium adsorption data conformed to the Langmuir isotherm, signifying monolayer uptake. Thermodynamic analysis confirmed the process was spontaneous (ΔG < 0) and exothermic (ΔH = -20.09 kJ/mol), driven primarily by electrostatic interactions and ion exchange. The adsorbent exhibited robust recyclability, maintaining over 79% of its initial capacity after three adsorption-desorption cycles. This gel-directed synthesis presents a sustainable pathway for developing high-performance adsorbents targeting complex contaminants in oilfield effluents.</p>\",\"PeriodicalId\":12506,\"journal\":{\"name\":\"Gels\",\"volume\":\"11 9\",\"pages\":\"\"},\"PeriodicalIF\":5.3000,\"publicationDate\":\"2025-09-05\",\"publicationTypes\":\"Journal Article\",\"fieldsOfStudy\":null,\"isOpenAccess\":false,\"openAccessPdf\":\"https://www.ncbi.nlm.nih.gov/pmc/articles/PMC12469700/pdf/\",\"citationCount\":\"0\",\"resultStr\":null,\"platform\":\"Semanticscholar\",\"paperid\":null,\"PeriodicalName\":\"Gels\",\"FirstCategoryId\":\"92\",\"ListUrlMain\":\"https://doi.org/10.3390/gels11090714\",\"RegionNum\":3,\"RegionCategory\":\"化学\",\"ArticlePicture\":[],\"TitleCN\":null,\"AbstractTextCN\":null,\"PMCID\":null,\"EPubDate\":\"\",\"PubModel\":\"\",\"JCR\":\"Q1\",\"JCRName\":\"POLYMER SCIENCE\",\"Score\":null,\"Total\":0}","platform":"Semanticscholar","paperid":null,"PeriodicalName":"Gels","FirstCategoryId":"92","ListUrlMain":"https://doi.org/10.3390/gels11090714","RegionNum":3,"RegionCategory":"化学","ArticlePicture":[],"TitleCN":null,"AbstractTextCN":null,"PMCID":null,"EPubDate":"","PubModel":"","JCR":"Q1","JCRName":"POLYMER SCIENCE","Score":null,"Total":0}
引用次数: 0

摘要

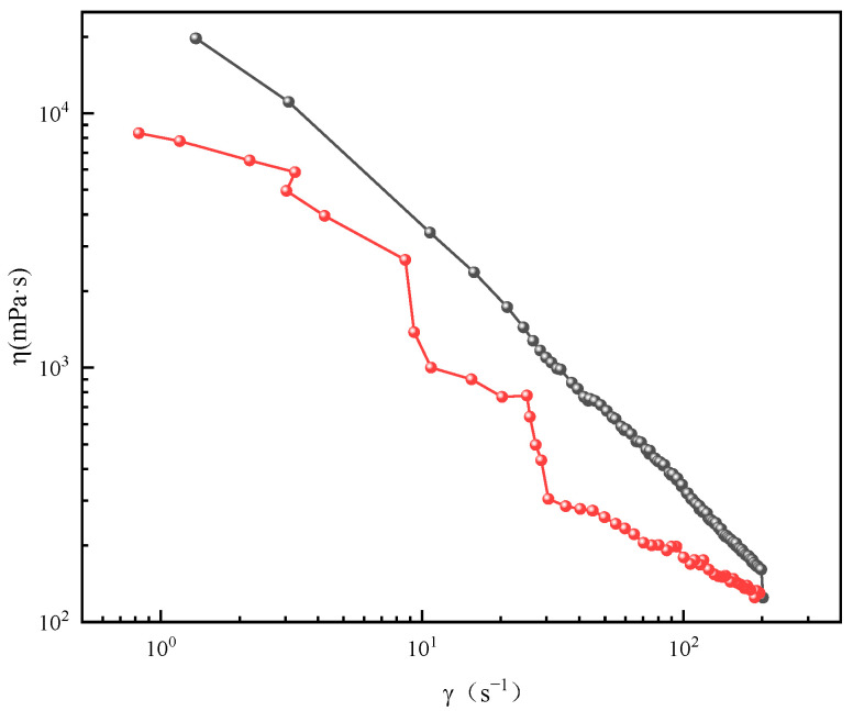
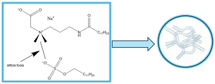
为了解决油田废水中磺化褐煤(SL)去除的难题,本研究引入了一种新型分层mgfe层状双氢氧化物(LDH)吸附剂。该材料是通过原位共沉淀法制备的,利用由nacl诱导的聚酰亚胺丙基甜菜碱(OAPB)和十二烷基硫酸钠(SLS)共组装形成的模板制备成两性离子、阴离子、剪切响应的粘弹性凝胶。这种凝胶模板方法得到的LDH结构具有1-80 nm的分层孔网络,通过SEM和BET表征,其比表面积达到199.82 m2/g。在中性ph下,MgFe-LDH对SL的去除效率超过96%,最大吸附量为90.68 mg/g。吸附动力学最好用伪二阶模型(R2 > 0.99)来描述,其中颗粒内扩散被确定为速率决定步骤。平衡吸附数据符合Langmuir等温线,表明是单层吸附。热力学分析证实该过程是自发的(ΔG < 0)和放热的(ΔH = -20.09 kJ/mol),主要由静电相互作用和离子交换驱动。吸附剂表现出强大的可回收性,在三次吸附-解吸循环后保持超过79%的初始容量。这种凝胶定向合成为开发针对油田废水中复杂污染物的高性能吸附剂提供了一条可持续的途径。
本文章由计算机程序翻译,如有差异,请以英文原文为准。

Synthesis of Porous Materials on Hybrid Wormlike Micelles of Zwitterionic and Anionic Surfactants for Efficient Oilfield Wastewater Treatment.

Synthesis of Porous Materials on Hybrid Wormlike Micelles of Zwitterionic and Anionic Surfactants for Efficient Oilfield Wastewater Treatment.

Synthesis of Porous Materials on Hybrid Wormlike Micelles of Zwitterionic and Anionic Surfactants for Efficient Oilfield Wastewater Treatment.

Synthesis of Porous Materials on Hybrid Wormlike Micelles of Zwitterionic and Anionic Surfactants for Efficient Oilfield Wastewater Treatment.

Addressing the challenge of sulfonated lignite (SL) removal from oilfield wastewater, this study introduces a novel hierarchical MgFe-layered double hydroxide (LDH) adsorbent. The material was fabricated via in situ co-precipitation, utilizing a template formed by the NaCl-induced co-assembly of oleylaminopropyl betaine (OAPB) and sodium dodecyl sulfate (SLS) into zwitterionic, anionic, shear-responsive viscoelastic gels. This gel-templating approach yielded an LDH structure featuring a hierarchical pore network spanning 1-80 nm and a notably high specific surface area of 199.82 m2/g, as characterized by SEM and BET. The resulting MgFe-LDH demonstrated exceptional efficacy, achieving a SL removal efficiency exceeding 96% and a maximum adsorption capacity of 90.68 mg/g at neutral pH. Adsorption kinetics were best described by a pseudo-second-order model (R2 > 0.99), with intra-particle diffusion identified as the rate-determining step. Equilibrium adsorption data conformed to the Langmuir isotherm, signifying monolayer uptake. Thermodynamic analysis confirmed the process was spontaneous (ΔG < 0) and exothermic (ΔH = -20.09 kJ/mol), driven primarily by electrostatic interactions and ion exchange. The adsorbent exhibited robust recyclability, maintaining over 79% of its initial capacity after three adsorption-desorption cycles. This gel-directed synthesis presents a sustainable pathway for developing high-performance adsorbents targeting complex contaminants in oilfield effluents.

求助全文
通过发布文献求助,成功后即可免费获取论文全文。 去求助
来源期刊
Gels
Gels POLYMER SCIENCE-
CiteScore
4.70
自引率
19.60%
发文量
707
审稿时长
11 weeks
期刊介绍: The journal Gels (ISSN 2310-2861) is an international, open access journal on physical (supramolecular) and chemical gel-based materials. Our aim is to encourage scientists to publish their experimental and theoretical results in as much detail as possible. Therefore, there is no restriction on the maximum length of the papers, and full experimental details must be provided so that the results can be reproduced. Short communications, full research papers and review papers are accepted formats for the preparation of the manuscripts. Gels aims to serve as a reference journal with a focus on gel materials for researchers working in both academia and industry. Therefore, papers demonstrating practical applications of these materials are particularly welcome. Occasionally, invited contributions (i.e., original research and review articles) on emerging issues and high-tech applications of gels are published as special issues.
×
引用
GB/T 7714-2015
复制
MLA
复制
APA
复制
导出至
BibTeX EndNote RefMan NoteFirst NoteExpress
×
提示
您的信息不完整,为了账户安全,请先补充。
现在去补充
×
提示
您因"违规操作"
具体请查看互助需知
我知道了
×
提示
确定
请完成安全验证×
copy
已复制链接
快去分享给好友吧!
我知道了
右上角分享
点击右上角分享
0
联系我们:info@booksci.cn Book学术提供免费学术资源搜索服务,方便国内外学者检索中英文文献。致力于提供最便捷和优质的服务体验。 Copyright © 2023 布克学术 All rights reserved.
京ICP备2023020795号-1
ghs 京公网安备 11010802042870号
Book学术文献互助
Book学术文献互助群
群 号:604180095
Book学术官方微信