设计勺状牛奶开菲尔凝胶:从发酵优化到使用车前草的清洁标签凝胶结构。

IF 5.3 3区 化学 Q1 POLYMER SCIENCE
Gels Pub Date : 2025-09-01 DOI:10.3390/gels11090693
María Cardenete-Fernández, Alicia Castillo-Rivas, M Montaña Durán-Barrantes, Luis A Trujillo-Cayado, Jenifer Santos
{"title":"设计勺状牛奶开菲尔凝胶:从发酵优化到使用车前草的清洁标签凝胶结构。","authors":"María Cardenete-Fernández, Alicia Castillo-Rivas, M Montaña Durán-Barrantes, Luis A Trujillo-Cayado, Jenifer Santos","doi":"10.3390/gels11090693","DOIUrl":null,"url":null,"abstract":"<p><p>Kefir is a fermented dairy product whose structural properties can be modified to enhance its nutritional and sensory profile. The objective of this study was to develop spoonable milk kefir gels by optimizing fermentation conditions and incorporating psyllium and calcium chloride as structuring agents. In the initial phase of the study, a full factorial design was employed to conduct a comparative analysis of whole milk and skimmed milk during the fermentation process of kefir. The study encompassed the evaluation of the impact of various parameters, including inoculum level, temperature, and fermentation time, on the acidification kinetics of the fermentation process. This evaluation was facilitated through the measurement of pH and total acidity levels. Skimmed milk demonstrated accelerated acidification, consistently attaining a final pH of 4.08 and a total acidity of 9.99 g·L<sup>-1</sup> lactic acid equivalents under optimized conditions (5.5% weight:weight grains, 26 °C, 24 h). In the subsequent phase, kefir obtained under these conditions was gelled with varying concentrations of psyllium and calcium chloride. Rheological characterization revealed that psyllium markedly strengthened the gel network: at 3.06% <i>w</i>:<i>w</i> psyllium, the elastic modulus increased up to 209.6 Pa, while the critical stress improved from 0.64 Pa at low psyllium/Ca<sup>2+</sup> to 10.42 Pa at high psyllium content. Furthermore, zero-shear viscosity increased substantially, exceeding 1500 Pa·s in high-psyllium, low-calcium formulations. The findings demonstrate that combining fermentation optimization with clean-label structuring agents enables the development of low-fat kefir gels with enhanced textural and processing properties, supporting their potential as synbiotic, functional dairy products.</p>","PeriodicalId":12506,"journal":{"name":"Gels","volume":"11 9","pages":""},"PeriodicalIF":5.3000,"publicationDate":"2025-09-01","publicationTypes":"Journal Article","fieldsOfStudy":null,"isOpenAccess":false,"openAccessPdf":"https://www.ncbi.nlm.nih.gov/pmc/articles/PMC12469569/pdf/","citationCount":"0","resultStr":"{\"title\":\"Designing Spoonable Milk Kefir Gels: From Fermentation Optimization to Clean-Label Gel Structuring with Psyllium.\",\"authors\":\"María Cardenete-Fernández, Alicia Castillo-Rivas, M Montaña Durán-Barrantes, Luis A Trujillo-Cayado, Jenifer Santos\",\"doi\":\"10.3390/gels11090693\",\"DOIUrl\":null,\"url\":null,\"abstract\":\"<p><p>Kefir is a fermented dairy product whose structural properties can be modified to enhance its nutritional and sensory profile. The objective of this study was to develop spoonable milk kefir gels by optimizing fermentation conditions and incorporating psyllium and calcium chloride as structuring agents. In the initial phase of the study, a full factorial design was employed to conduct a comparative analysis of whole milk and skimmed milk during the fermentation process of kefir. The study encompassed the evaluation of the impact of various parameters, including inoculum level, temperature, and fermentation time, on the acidification kinetics of the fermentation process. This evaluation was facilitated through the measurement of pH and total acidity levels. Skimmed milk demonstrated accelerated acidification, consistently attaining a final pH of 4.08 and a total acidity of 9.99 g·L<sup>-1</sup> lactic acid equivalents under optimized conditions (5.5% weight:weight grains, 26 °C, 24 h). In the subsequent phase, kefir obtained under these conditions was gelled with varying concentrations of psyllium and calcium chloride. Rheological characterization revealed that psyllium markedly strengthened the gel network: at 3.06% <i>w</i>:<i>w</i> psyllium, the elastic modulus increased up to 209.6 Pa, while the critical stress improved from 0.64 Pa at low psyllium/Ca<sup>2+</sup> to 10.42 Pa at high psyllium content. Furthermore, zero-shear viscosity increased substantially, exceeding 1500 Pa·s in high-psyllium, low-calcium formulations. The findings demonstrate that combining fermentation optimization with clean-label structuring agents enables the development of low-fat kefir gels with enhanced textural and processing properties, supporting their potential as synbiotic, functional dairy products.</p>\",\"PeriodicalId\":12506,\"journal\":{\"name\":\"Gels\",\"volume\":\"11 9\",\"pages\":\"\"},\"PeriodicalIF\":5.3000,\"publicationDate\":\"2025-09-01\",\"publicationTypes\":\"Journal Article\",\"fieldsOfStudy\":null,\"isOpenAccess\":false,\"openAccessPdf\":\"https://www.ncbi.nlm.nih.gov/pmc/articles/PMC12469569/pdf/\",\"citationCount\":\"0\",\"resultStr\":null,\"platform\":\"Semanticscholar\",\"paperid\":null,\"PeriodicalName\":\"Gels\",\"FirstCategoryId\":\"92\",\"ListUrlMain\":\"https://doi.org/10.3390/gels11090693\",\"RegionNum\":3,\"RegionCategory\":\"化学\",\"ArticlePicture\":[],\"TitleCN\":null,\"AbstractTextCN\":null,\"PMCID\":null,\"EPubDate\":\"\",\"PubModel\":\"\",\"JCR\":\"Q1\",\"JCRName\":\"POLYMER SCIENCE\",\"Score\":null,\"Total\":0}","platform":"Semanticscholar","paperid":null,"PeriodicalName":"Gels","FirstCategoryId":"92","ListUrlMain":"https://doi.org/10.3390/gels11090693","RegionNum":3,"RegionCategory":"化学","ArticlePicture":[],"TitleCN":null,"AbstractTextCN":null,"PMCID":null,"EPubDate":"","PubModel":"","JCR":"Q1","JCRName":"POLYMER SCIENCE","Score":null,"Total":0}
引用次数: 0

摘要

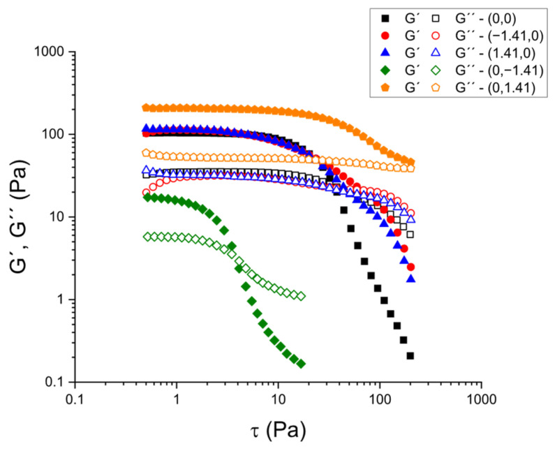
开菲尔是一种发酵乳制品,其结构特性可以被修改以提高其营养和感官特征。本研究的目的是通过优化发酵条件,以车前草和氯化钙为结构剂,制备勺状牛奶开菲尔凝胶。在研究的初始阶段,采用全因子设计对全脂牛奶和脱脂牛奶在开菲尔发酵过程中的作用进行了对比分析。该研究包括评估各种参数的影响,包括接种量、温度和发酵时间,对发酵过程的酸化动力学。通过测量pH值和总酸度水平,便于进行评估。在优化条件下(重量5.5%:重粒,26°C, 24 h),脱脂乳的酸化速度加快,最终pH为4.08,总酸度为9.99 g·L-1乳酸当量。在随后的阶段,在这些条件下得到的开菲尔用不同浓度的车前草和氯化钙凝胶化。流变学表征表明,车前子明显增强了凝胶网络,当车前子添加量为3.06% w:w时,弹性模量增加到209.6 Pa,临界应力从低车前子/Ca2+时的0.64 Pa提高到高车前子含量时的10.42 Pa。此外,零剪切粘度大幅增加,在高车前草、低钙配方中超过1500 Pa·s。研究结果表明,将发酵优化与清洁标签结构剂相结合,可以开发出具有增强质地和加工性能的低脂开菲尔凝胶,从而支持其作为合成功能性乳制品的潜力。
本文章由计算机程序翻译,如有差异,请以英文原文为准。

Designing Spoonable Milk Kefir Gels: From Fermentation Optimization to Clean-Label Gel Structuring with Psyllium.

Designing Spoonable Milk Kefir Gels: From Fermentation Optimization to Clean-Label Gel Structuring with Psyllium.

Designing Spoonable Milk Kefir Gels: From Fermentation Optimization to Clean-Label Gel Structuring with Psyllium.

Designing Spoonable Milk Kefir Gels: From Fermentation Optimization to Clean-Label Gel Structuring with Psyllium.

Kefir is a fermented dairy product whose structural properties can be modified to enhance its nutritional and sensory profile. The objective of this study was to develop spoonable milk kefir gels by optimizing fermentation conditions and incorporating psyllium and calcium chloride as structuring agents. In the initial phase of the study, a full factorial design was employed to conduct a comparative analysis of whole milk and skimmed milk during the fermentation process of kefir. The study encompassed the evaluation of the impact of various parameters, including inoculum level, temperature, and fermentation time, on the acidification kinetics of the fermentation process. This evaluation was facilitated through the measurement of pH and total acidity levels. Skimmed milk demonstrated accelerated acidification, consistently attaining a final pH of 4.08 and a total acidity of 9.99 g·L-1 lactic acid equivalents under optimized conditions (5.5% weight:weight grains, 26 °C, 24 h). In the subsequent phase, kefir obtained under these conditions was gelled with varying concentrations of psyllium and calcium chloride. Rheological characterization revealed that psyllium markedly strengthened the gel network: at 3.06% w:w psyllium, the elastic modulus increased up to 209.6 Pa, while the critical stress improved from 0.64 Pa at low psyllium/Ca2+ to 10.42 Pa at high psyllium content. Furthermore, zero-shear viscosity increased substantially, exceeding 1500 Pa·s in high-psyllium, low-calcium formulations. The findings demonstrate that combining fermentation optimization with clean-label structuring agents enables the development of low-fat kefir gels with enhanced textural and processing properties, supporting their potential as synbiotic, functional dairy products.

求助全文
通过发布文献求助,成功后即可免费获取论文全文。 去求助
来源期刊
Gels
Gels POLYMER SCIENCE-
CiteScore
4.70
自引率
19.60%
发文量
707
审稿时长
11 weeks
期刊介绍: The journal Gels (ISSN 2310-2861) is an international, open access journal on physical (supramolecular) and chemical gel-based materials. Our aim is to encourage scientists to publish their experimental and theoretical results in as much detail as possible. Therefore, there is no restriction on the maximum length of the papers, and full experimental details must be provided so that the results can be reproduced. Short communications, full research papers and review papers are accepted formats for the preparation of the manuscripts. Gels aims to serve as a reference journal with a focus on gel materials for researchers working in both academia and industry. Therefore, papers demonstrating practical applications of these materials are particularly welcome. Occasionally, invited contributions (i.e., original research and review articles) on emerging issues and high-tech applications of gels are published as special issues.
×
引用
GB/T 7714-2015
复制
MLA
复制
APA
复制
导出至
BibTeX EndNote RefMan NoteFirst NoteExpress
×
提示
您的信息不完整,为了账户安全,请先补充。
现在去补充
×
提示
您因"违规操作"
具体请查看互助需知
我知道了
×
提示
确定
请完成安全验证×
copy
已复制链接
快去分享给好友吧!
我知道了
右上角分享
点击右上角分享
0
联系我们:info@booksci.cn Book学术提供免费学术资源搜索服务,方便国内外学者检索中英文文献。致力于提供最便捷和优质的服务体验。 Copyright © 2023 布克学术 All rights reserved.
京ICP备2023020795号-1
ghs 京公网安备 11010802042870号
Book学术文献互助
Book学术文献互助群
群 号:604180095
Book学术官方微信