2022年1月至12月在比利时日托环境中对室内空气进行鸟枪宏基因组学研究,以监测呼吸道、肠道和皮肤病毒。

IF 7.8 2区 医学 Q1 INFECTIOUS DISEASES
Mustafa Karatas, Caspar Geenen, Els Keyaerts, Lore Budts, Joren Raymenants, Charlotte Eggers, Bastiaan Craessaerts, Emmanuel André, Jelle Matthijnssens
{"title":"2022年1月至12月在比利时日托环境中对室内空气进行鸟枪宏基因组学研究,以监测呼吸道、肠道和皮肤病毒。","authors":"Mustafa Karatas, Caspar Geenen, Els Keyaerts, Lore Budts, Joren Raymenants, Charlotte Eggers, Bastiaan Craessaerts, Emmanuel André, Jelle Matthijnssens","doi":"10.2807/1560-7917.ES.2025.30.38.2400711","DOIUrl":null,"url":null,"abstract":"<p><p>BACKGROUNDHospital-based communicable disease surveillance may be costly during large outbreaks and often misses mild or asymptomatic infections. It can be enhanced by environmental surveillance, which monitors circulating pathogens, even from asymptomatic carriers.AIMWe investigated if tracking viruses in indoor air could be used for their surveillance in a community setting. We also tested the value of untargeted metagenomics to identify viruses in air samples.METHODSWeekly indoor air samples were collected with active air samplers from January until December 2022 from a daycare centre in Leuven, Belgium. Samples were analysed using respiratory and enteric quantitative (q)PCR panels, as well as with untargeted metagenomics, enabling both targeted and agnostic viral detections.RESULTSHuman-associated viruses were detected in 40 of 42 samples across the study period, with MW polyomavirus being most prevalent (33 samples). Respiratory agents such as rhinoviruses and RSV-B and enteric viruses including rotavirus A, astrovirus, and adenovirus appeared at epidemiologically expected times. Skin-associated viruses were also observed, notably Merkel cell polyomavirus and STL polyomavirus. Metagenomics enabled reconstructing multiple complete genomes, distinguishing viral subtypes and detecting copresence of closely related variants. Additionally, several animal, insect, fungal, and plant viruses were found, reflecting both indoor and outdoor environmental exposure.CONCLUSIONIndoor air monitoring, combined with untargeted metagenomics, demonstrates a potential to support virus surveillance. This approach can allow monitoring circulation of viruses in community settings, including those causing asymptomatic or mild infections. By enabling to reconstruct complete viral genomes, it allows detailed variant tracking, facilitating adapted public health responses.</p>","PeriodicalId":12161,"journal":{"name":"Eurosurveillance","volume":"30 38","pages":""},"PeriodicalIF":7.8000,"publicationDate":"2025-09-01","publicationTypes":"Journal Article","fieldsOfStudy":null,"isOpenAccess":false,"openAccessPdf":"https://www.ncbi.nlm.nih.gov/pmc/articles/PMC12475893/pdf/","citationCount":"0","resultStr":"{\"title\":\"Shotgun metagenomics on indoor air for surveillance of respiratory, enteric, and skin viruses in a Belgian daycare setting, January to December 2022.\",\"authors\":\"Mustafa Karatas, Caspar Geenen, Els Keyaerts, Lore Budts, Joren Raymenants, Charlotte Eggers, Bastiaan Craessaerts, Emmanuel André, Jelle Matthijnssens\",\"doi\":\"10.2807/1560-7917.ES.2025.30.38.2400711\",\"DOIUrl\":null,\"url\":null,\"abstract\":\"<p><p>BACKGROUNDHospital-based communicable disease surveillance may be costly during large outbreaks and often misses mild or asymptomatic infections. It can be enhanced by environmental surveillance, which monitors circulating pathogens, even from asymptomatic carriers.AIMWe investigated if tracking viruses in indoor air could be used for their surveillance in a community setting. We also tested the value of untargeted metagenomics to identify viruses in air samples.METHODSWeekly indoor air samples were collected with active air samplers from January until December 2022 from a daycare centre in Leuven, Belgium. Samples were analysed using respiratory and enteric quantitative (q)PCR panels, as well as with untargeted metagenomics, enabling both targeted and agnostic viral detections.RESULTSHuman-associated viruses were detected in 40 of 42 samples across the study period, with MW polyomavirus being most prevalent (33 samples). Respiratory agents such as rhinoviruses and RSV-B and enteric viruses including rotavirus A, astrovirus, and adenovirus appeared at epidemiologically expected times. Skin-associated viruses were also observed, notably Merkel cell polyomavirus and STL polyomavirus. Metagenomics enabled reconstructing multiple complete genomes, distinguishing viral subtypes and detecting copresence of closely related variants. Additionally, several animal, insect, fungal, and plant viruses were found, reflecting both indoor and outdoor environmental exposure.CONCLUSIONIndoor air monitoring, combined with untargeted metagenomics, demonstrates a potential to support virus surveillance. This approach can allow monitoring circulation of viruses in community settings, including those causing asymptomatic or mild infections. By enabling to reconstruct complete viral genomes, it allows detailed variant tracking, facilitating adapted public health responses.</p>\",\"PeriodicalId\":12161,\"journal\":{\"name\":\"Eurosurveillance\",\"volume\":\"30 38\",\"pages\":\"\"},\"PeriodicalIF\":7.8000,\"publicationDate\":\"2025-09-01\",\"publicationTypes\":\"Journal Article\",\"fieldsOfStudy\":null,\"isOpenAccess\":false,\"openAccessPdf\":\"https://www.ncbi.nlm.nih.gov/pmc/articles/PMC12475893/pdf/\",\"citationCount\":\"0\",\"resultStr\":null,\"platform\":\"Semanticscholar\",\"paperid\":null,\"PeriodicalName\":\"Eurosurveillance\",\"FirstCategoryId\":\"3\",\"ListUrlMain\":\"https://doi.org/10.2807/1560-7917.ES.2025.30.38.2400711\",\"RegionNum\":2,\"RegionCategory\":\"医学\",\"ArticlePicture\":[],\"TitleCN\":null,\"AbstractTextCN\":null,\"PMCID\":null,\"EPubDate\":\"\",\"PubModel\":\"\",\"JCR\":\"Q1\",\"JCRName\":\"INFECTIOUS DISEASES\",\"Score\":null,\"Total\":0}","platform":"Semanticscholar","paperid":null,"PeriodicalName":"Eurosurveillance","FirstCategoryId":"3","ListUrlMain":"https://doi.org/10.2807/1560-7917.ES.2025.30.38.2400711","RegionNum":2,"RegionCategory":"医学","ArticlePicture":[],"TitleCN":null,"AbstractTextCN":null,"PMCID":null,"EPubDate":"","PubModel":"","JCR":"Q1","JCRName":"INFECTIOUS DISEASES","Score":null,"Total":0}
引用次数: 0

摘要

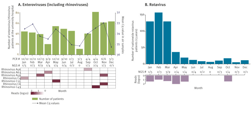
背景:在大规模疫情爆发期间,以医院为基础的传染病监测可能成本高昂,并且经常遗漏轻度或无症状感染。它可以通过环境监测来加强,监测传播的病原体,甚至是来自无症状携带者的病原体。我们调查了室内空气中的病毒追踪是否可用于社区环境中的病毒监测。我们还测试了非靶向宏基因组学在识别空气样本中的病毒方面的价值。方法从2022年1月至12月,在比利时鲁汶的一个日托中心,每周使用主动空气采样器采集室内空气样本。使用呼吸和肠道定量(q)PCR面板以及非靶向宏基因组学对样本进行分析,从而实现靶向和不可知的病毒检测。结果42份样本中有40份检测到人相关病毒,其中以多瘤病毒(33份)最为普遍。呼吸道病原体,如鼻病毒和RSV-B,肠道病毒,包括轮状病毒A,星状病毒和腺病毒,在流行病学预期的时间出现。皮肤相关病毒也被观察到,特别是默克尔细胞多瘤病毒和STL多瘤病毒。宏基因组学能够重建多个完整基因组,区分病毒亚型并检测密切相关变异的共现性。此外,还发现了几种动物、昆虫、真菌和植物病毒,反映了室内和室外环境暴露。结论室内空气监测与非靶向宏基因组学相结合,具有支持病毒监测的潜力。这种方法可以监测病毒在社区环境中的传播,包括那些引起无症状或轻度感染的病毒。通过重建完整的病毒基因组,它允许详细的变异跟踪,促进适应的公共卫生反应。
本文章由计算机程序翻译,如有差异,请以英文原文为准。

Shotgun metagenomics on indoor air for surveillance of respiratory, enteric, and skin viruses in a Belgian daycare setting, January to December 2022.

Shotgun metagenomics on indoor air for surveillance of respiratory, enteric, and skin viruses in a Belgian daycare setting, January to December 2022.

Shotgun metagenomics on indoor air for surveillance of respiratory, enteric, and skin viruses in a Belgian daycare setting, January to December 2022.

Shotgun metagenomics on indoor air for surveillance of respiratory, enteric, and skin viruses in a Belgian daycare setting, January to December 2022.

BACKGROUNDHospital-based communicable disease surveillance may be costly during large outbreaks and often misses mild or asymptomatic infections. It can be enhanced by environmental surveillance, which monitors circulating pathogens, even from asymptomatic carriers.AIMWe investigated if tracking viruses in indoor air could be used for their surveillance in a community setting. We also tested the value of untargeted metagenomics to identify viruses in air samples.METHODSWeekly indoor air samples were collected with active air samplers from January until December 2022 from a daycare centre in Leuven, Belgium. Samples were analysed using respiratory and enteric quantitative (q)PCR panels, as well as with untargeted metagenomics, enabling both targeted and agnostic viral detections.RESULTSHuman-associated viruses were detected in 40 of 42 samples across the study period, with MW polyomavirus being most prevalent (33 samples). Respiratory agents such as rhinoviruses and RSV-B and enteric viruses including rotavirus A, astrovirus, and adenovirus appeared at epidemiologically expected times. Skin-associated viruses were also observed, notably Merkel cell polyomavirus and STL polyomavirus. Metagenomics enabled reconstructing multiple complete genomes, distinguishing viral subtypes and detecting copresence of closely related variants. Additionally, several animal, insect, fungal, and plant viruses were found, reflecting both indoor and outdoor environmental exposure.CONCLUSIONIndoor air monitoring, combined with untargeted metagenomics, demonstrates a potential to support virus surveillance. This approach can allow monitoring circulation of viruses in community settings, including those causing asymptomatic or mild infections. By enabling to reconstruct complete viral genomes, it allows detailed variant tracking, facilitating adapted public health responses.

求助全文
通过发布文献求助,成功后即可免费获取论文全文。 去求助
来源期刊
Eurosurveillance
Eurosurveillance INFECTIOUS DISEASES-
CiteScore
32.70
自引率
2.10%
发文量
430
审稿时长
3-8 weeks
期刊介绍: Eurosurveillance is a European peer-reviewed journal focusing on the epidemiology, surveillance, prevention, and control of communicable diseases relevant to Europe.It is a weekly online journal, with 50 issues per year published on Thursdays. The journal includes short rapid communications, in-depth research articles, surveillance reports, reviews, and perspective papers. It excels in timely publication of authoritative papers on ongoing outbreaks or other public health events. Under special circumstances when current events need to be urgently communicated to readers for rapid public health action, e-alerts can be released outside of the regular publishing schedule. Additionally, topical compilations and special issues may be provided in PDF format.
×
引用
GB/T 7714-2015
复制
MLA
复制
APA
复制
导出至
BibTeX EndNote RefMan NoteFirst NoteExpress
×
提示
您的信息不完整,为了账户安全,请先补充。
现在去补充
×
提示
您因"违规操作"
具体请查看互助需知
我知道了
×
提示
确定
请完成安全验证×
copy
已复制链接
快去分享给好友吧!
我知道了
右上角分享
点击右上角分享
0
联系我们:info@booksci.cn Book学术提供免费学术资源搜索服务,方便国内外学者检索中英文文献。致力于提供最便捷和优质的服务体验。 Copyright © 2023 布克学术 All rights reserved.
京ICP备2023020795号-1
ghs 京公网安备 11010802042870号
Book学术文献互助
Book学术文献互助群
群 号:604180095
Book学术官方微信