1,4-苯二甲醇改性PBAT共聚聚酯的合成及性能研究

IF 2.3 4区 化学 Q3 CHEMISTRY, PHYSICAL
Xiaofeng He, Shuang Zhang, Xiaofeng Liu, Yang Yu, Qi Yue, Tiejun Ge
{"title":"1,4-苯二甲醇改性PBAT共聚聚酯的合成及性能研究","authors":"Xiaofeng He,&nbsp;Shuang Zhang,&nbsp;Xiaofeng Liu,&nbsp;Yang Yu,&nbsp;Qi Yue,&nbsp;Tiejun Ge","doi":"10.1007/s00396-025-05434-3","DOIUrl":null,"url":null,"abstract":"<div><p>In this paper, rigid polybenzenedimethanol ester/terephthalic acid-co-butyl adipate (PBPAT) was prepared introducing rigid 1,4-benzenedimethanol (PXG) monomers into the molecular chain of polybutylene terephthalate (PBAT) via melt polycondensation. The co-polyesters were structurally characterized using Fourier transform infrared spectroscopy (FTIR) and liquid–solid nuclear magnetic resonance (<sup>1</sup>H-NMR). Molecular weight, thermal properties, crystallinity, and hydrophilicity were further analyzed using gel permeation chromatography (GPC), X-ray diffractometer (XRD), differential scanning calorimeter (DSC), integrated thermal analyzer (TGA), and contact angle measurements. The mechanical properties of PBPAT were evaluated using a universal tensile testing machine and a rotational rheometer. The results indicated that the molecular weight of PBPAT reached 3.54 × 10<sup>4</sup> g/mol. The crystallinity increased from 11.57 to 14.07% compared to PBAT. Moreover, the tensile strength enhanced from 17.70 to 25.21 MPa, while the elastic modulus increased from 132.28 to 208.66 MPa compared to PBAT.</p><h3>Graphical Abstract</h3><p>In this paper, a series of novel poly(terephthalic acid-co-caproic acid terephthalate/terephthalic acid-co-caproic acid butylene terephthalate) (PBPAT) with varying PXG contents were prepared via melt polycondensation method using terephthalic acid, adipic acid, 1,4-butanediol, and 1,4-benzenedimethanol as raw materials. The influence of PXG on the mechanical, thermal, and hydrophilic properties of the copolyester was systematically investigated.</p>\n<div><figure><div><div><picture><img></picture></div></div></figure></div></div>","PeriodicalId":520,"journal":{"name":"Colloid and Polymer Science","volume":"303 8","pages":"1637 - 1647"},"PeriodicalIF":2.3000,"publicationDate":"2025-05-29","publicationTypes":"Journal Article","fieldsOfStudy":null,"isOpenAccess":false,"openAccessPdf":"","citationCount":"0","resultStr":"{\"title\":\"Synthesis and properties of 1,4-benzenedimethanol-modified PBAT copolyesters\",\"authors\":\"Xiaofeng He,&nbsp;Shuang Zhang,&nbsp;Xiaofeng Liu,&nbsp;Yang Yu,&nbsp;Qi Yue,&nbsp;Tiejun Ge\",\"doi\":\"10.1007/s00396-025-05434-3\",\"DOIUrl\":null,\"url\":null,\"abstract\":\"<div><p>In this paper, rigid polybenzenedimethanol ester/terephthalic acid-co-butyl adipate (PBPAT) was prepared introducing rigid 1,4-benzenedimethanol (PXG) monomers into the molecular chain of polybutylene terephthalate (PBAT) via melt polycondensation. The co-polyesters were structurally characterized using Fourier transform infrared spectroscopy (FTIR) and liquid–solid nuclear magnetic resonance (<sup>1</sup>H-NMR). Molecular weight, thermal properties, crystallinity, and hydrophilicity were further analyzed using gel permeation chromatography (GPC), X-ray diffractometer (XRD), differential scanning calorimeter (DSC), integrated thermal analyzer (TGA), and contact angle measurements. The mechanical properties of PBPAT were evaluated using a universal tensile testing machine and a rotational rheometer. The results indicated that the molecular weight of PBPAT reached 3.54 × 10<sup>4</sup> g/mol. The crystallinity increased from 11.57 to 14.07% compared to PBAT. Moreover, the tensile strength enhanced from 17.70 to 25.21 MPa, while the elastic modulus increased from 132.28 to 208.66 MPa compared to PBAT.</p><h3>Graphical Abstract</h3><p>In this paper, a series of novel poly(terephthalic acid-co-caproic acid terephthalate/terephthalic acid-co-caproic acid butylene terephthalate) (PBPAT) with varying PXG contents were prepared via melt polycondensation method using terephthalic acid, adipic acid, 1,4-butanediol, and 1,4-benzenedimethanol as raw materials. The influence of PXG on the mechanical, thermal, and hydrophilic properties of the copolyester was systematically investigated.</p>\\n<div><figure><div><div><picture><img></picture></div></div></figure></div></div>\",\"PeriodicalId\":520,\"journal\":{\"name\":\"Colloid and Polymer Science\",\"volume\":\"303 8\",\"pages\":\"1637 - 1647\"},\"PeriodicalIF\":2.3000,\"publicationDate\":\"2025-05-29\",\"publicationTypes\":\"Journal Article\",\"fieldsOfStudy\":null,\"isOpenAccess\":false,\"openAccessPdf\":\"\",\"citationCount\":\"0\",\"resultStr\":null,\"platform\":\"Semanticscholar\",\"paperid\":null,\"PeriodicalName\":\"Colloid and Polymer Science\",\"FirstCategoryId\":\"92\",\"ListUrlMain\":\"https://link.springer.com/article/10.1007/s00396-025-05434-3\",\"RegionNum\":4,\"RegionCategory\":\"化学\",\"ArticlePicture\":[],\"TitleCN\":null,\"AbstractTextCN\":null,\"PMCID\":null,\"EPubDate\":\"\",\"PubModel\":\"\",\"JCR\":\"Q3\",\"JCRName\":\"CHEMISTRY, PHYSICAL\",\"Score\":null,\"Total\":0}","platform":"Semanticscholar","paperid":null,"PeriodicalName":"Colloid and Polymer Science","FirstCategoryId":"92","ListUrlMain":"https://link.springer.com/article/10.1007/s00396-025-05434-3","RegionNum":4,"RegionCategory":"化学","ArticlePicture":[],"TitleCN":null,"AbstractTextCN":null,"PMCID":null,"EPubDate":"","PubModel":"","JCR":"Q3","JCRName":"CHEMISTRY, PHYSICAL","Score":null,"Total":0}
引用次数: 0

摘要

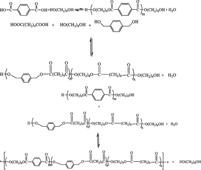
本文通过熔融缩聚,将刚性的1,4-苯二甲醇(PXG)单体引入聚对苯二甲酸丁酯(PBAT)分子链中,制备了刚性的聚苯二甲醇酯/对苯二甲酸-共己二酸丁酯(PBPAT)。利用傅里叶变换红外光谱(FTIR)和液固核磁共振(1H-NMR)对共聚酯进行了结构表征。通过凝胶渗透色谱(GPC)、x射线衍射仪(XRD)、差示扫描量热仪(DSC)、集成热分析仪(TGA)和接触角测量进一步分析了分子量、热性能、结晶度和亲水性。采用万能拉伸试验机和旋转流变仪对PBPAT的力学性能进行了评价。结果表明,PBPAT的分子量达到3.54 × 104 g/mol。结晶度由11.57%提高到14.07%。抗拉强度由17.70 MPa提高到25.21 MPa,弹性模量由132.28 MPa提高到208.66 MPa。摘要本文以对苯二甲酸、己二酸、1,4-丁二醇和1,4-苯二甲醇为原料,采用熔融缩聚法制备了一系列不同PXG含量的新型聚对苯二甲酸-共己酸对苯二甲酸/对苯二甲酸-共己酸丁二酸(PBPAT)。系统地研究了PXG对共聚酯的力学、热、亲水性的影响。
本文章由计算机程序翻译,如有差异,请以英文原文为准。

Synthesis and properties of 1,4-benzenedimethanol-modified PBAT copolyesters

Synthesis and properties of 1,4-benzenedimethanol-modified PBAT copolyesters

In this paper, rigid polybenzenedimethanol ester/terephthalic acid-co-butyl adipate (PBPAT) was prepared introducing rigid 1,4-benzenedimethanol (PXG) monomers into the molecular chain of polybutylene terephthalate (PBAT) via melt polycondensation. The co-polyesters were structurally characterized using Fourier transform infrared spectroscopy (FTIR) and liquid–solid nuclear magnetic resonance (1H-NMR). Molecular weight, thermal properties, crystallinity, and hydrophilicity were further analyzed using gel permeation chromatography (GPC), X-ray diffractometer (XRD), differential scanning calorimeter (DSC), integrated thermal analyzer (TGA), and contact angle measurements. The mechanical properties of PBPAT were evaluated using a universal tensile testing machine and a rotational rheometer. The results indicated that the molecular weight of PBPAT reached 3.54 × 104 g/mol. The crystallinity increased from 11.57 to 14.07% compared to PBAT. Moreover, the tensile strength enhanced from 17.70 to 25.21 MPa, while the elastic modulus increased from 132.28 to 208.66 MPa compared to PBAT.

Graphical Abstract

In this paper, a series of novel poly(terephthalic acid-co-caproic acid terephthalate/terephthalic acid-co-caproic acid butylene terephthalate) (PBPAT) with varying PXG contents were prepared via melt polycondensation method using terephthalic acid, adipic acid, 1,4-butanediol, and 1,4-benzenedimethanol as raw materials. The influence of PXG on the mechanical, thermal, and hydrophilic properties of the copolyester was systematically investigated.

求助全文
通过发布文献求助,成功后即可免费获取论文全文。 去求助
来源期刊
Colloid and Polymer Science
Colloid and Polymer Science 化学-高分子科学
CiteScore
4.60
自引率
4.20%
发文量
111
审稿时长
2.2 months
期刊介绍: Colloid and Polymer Science - a leading international journal of longstanding tradition - is devoted to colloid and polymer science and its interdisciplinary interactions. As such, it responds to a demand which has lost none of its actuality as revealed in the trends of contemporary materials science.
×
引用
GB/T 7714-2015
复制
MLA
复制
APA
复制
导出至
BibTeX EndNote RefMan NoteFirst NoteExpress
×
提示
您的信息不完整,为了账户安全,请先补充。
现在去补充
×
提示
您因"违规操作"
具体请查看互助需知
我知道了
×
提示
确定
请完成安全验证×
copy
已复制链接
快去分享给好友吧!
我知道了
右上角分享
点击右上角分享
0
联系我们:info@booksci.cn Book学术提供免费学术资源搜索服务,方便国内外学者检索中英文文献。致力于提供最便捷和优质的服务体验。 Copyright © 2023 布克学术 All rights reserved.
京ICP备2023020795号-1
ghs 京公网安备 11010802042870号
Book学术文献互助
Book学术文献互助群
群 号:604180095
Book学术官方微信