花管长度与飞蛾口器的关系:夜间飞蛾对花的偏好

IF 1.3 3区 农林科学 Q3 ENTOMOLOGY
Kota Sakagami, Shinji Sugiura
{"title":"花管长度与飞蛾口器的关系:夜间飞蛾对花的偏好","authors":"Kota Sakagami,&nbsp;Shinji Sugiura","doi":"10.1007/s11829-025-10159-9","DOIUrl":null,"url":null,"abstract":"<div><p>Morphological trait matching between flowers and the mouthparts of their visitors is important for the ecology and evolution of plant–pollinator interactions. Although both nocturnal and diurnal floral visitors are important pollinators, nocturnal visitors such as moths (Lepidoptera) remain less well studied. To elucidate the relationship between floral tube length and mouthpart length in nocturnal floral visitors, we examined moths visiting the flowers of 34 plant species (26 families) in Hyogo, Japan. A total of 970 adult moths representing 245 species (14 families) were observed. Hawkmoths (Sphingidae) and settling moths (mainly Crambidae, Noctuidae, and Geometridae) accounted for 4.0% and 96.0% of all individuals, and 3.3% and 96.7% of all species, respectively. Hawkmoths had longer proboscises (mouthparts/tongues) than settling moths. The relative proportions of hawkmoths and settling moths increased and decreased, respectively, with increasing floral tube length. Mean, minimum, and maximum proboscis lengths of all moths (hawkmoths and settling moths combined) were positively correlated with floral tube length. Among hawkmoths, maximum proboscis length was positively correlated with floral tube length, indicating that long-tongued hawkmoths avoid visiting short-tubed or nectar-exposed flowers. Among settling moths, minimum proboscis length was positively correlated with floral tube length, indicating that short-tongued settling moths avoid visiting long-tubed flowers. Consequently, long-tongued moths (hawkmoths) prefer to visit long-tubed flowers, whereas short-tongued moths (settling moths) prefer to visit short-tubed or nectar-exposed flowers.</p></div>","PeriodicalId":8409,"journal":{"name":"Arthropod-Plant Interactions","volume":"19 4","pages":""},"PeriodicalIF":1.3000,"publicationDate":"2025-06-24","publicationTypes":"Journal Article","fieldsOfStudy":null,"isOpenAccess":false,"openAccessPdf":"","citationCount":"0","resultStr":"{\"title\":\"Relationships between the lengths of floral tubes and moth mouthparts: implications for flower preferences of nocturnal moths\",\"authors\":\"Kota Sakagami,&nbsp;Shinji Sugiura\",\"doi\":\"10.1007/s11829-025-10159-9\",\"DOIUrl\":null,\"url\":null,\"abstract\":\"<div><p>Morphological trait matching between flowers and the mouthparts of their visitors is important for the ecology and evolution of plant–pollinator interactions. Although both nocturnal and diurnal floral visitors are important pollinators, nocturnal visitors such as moths (Lepidoptera) remain less well studied. To elucidate the relationship between floral tube length and mouthpart length in nocturnal floral visitors, we examined moths visiting the flowers of 34 plant species (26 families) in Hyogo, Japan. A total of 970 adult moths representing 245 species (14 families) were observed. Hawkmoths (Sphingidae) and settling moths (mainly Crambidae, Noctuidae, and Geometridae) accounted for 4.0% and 96.0% of all individuals, and 3.3% and 96.7% of all species, respectively. Hawkmoths had longer proboscises (mouthparts/tongues) than settling moths. The relative proportions of hawkmoths and settling moths increased and decreased, respectively, with increasing floral tube length. Mean, minimum, and maximum proboscis lengths of all moths (hawkmoths and settling moths combined) were positively correlated with floral tube length. Among hawkmoths, maximum proboscis length was positively correlated with floral tube length, indicating that long-tongued hawkmoths avoid visiting short-tubed or nectar-exposed flowers. Among settling moths, minimum proboscis length was positively correlated with floral tube length, indicating that short-tongued settling moths avoid visiting long-tubed flowers. Consequently, long-tongued moths (hawkmoths) prefer to visit long-tubed flowers, whereas short-tongued moths (settling moths) prefer to visit short-tubed or nectar-exposed flowers.</p></div>\",\"PeriodicalId\":8409,\"journal\":{\"name\":\"Arthropod-Plant Interactions\",\"volume\":\"19 4\",\"pages\":\"\"},\"PeriodicalIF\":1.3000,\"publicationDate\":\"2025-06-24\",\"publicationTypes\":\"Journal Article\",\"fieldsOfStudy\":null,\"isOpenAccess\":false,\"openAccessPdf\":\"\",\"citationCount\":\"0\",\"resultStr\":null,\"platform\":\"Semanticscholar\",\"paperid\":null,\"PeriodicalName\":\"Arthropod-Plant Interactions\",\"FirstCategoryId\":\"97\",\"ListUrlMain\":\"https://link.springer.com/article/10.1007/s11829-025-10159-9\",\"RegionNum\":3,\"RegionCategory\":\"农林科学\",\"ArticlePicture\":[],\"TitleCN\":null,\"AbstractTextCN\":null,\"PMCID\":null,\"EPubDate\":\"\",\"PubModel\":\"\",\"JCR\":\"Q3\",\"JCRName\":\"ENTOMOLOGY\",\"Score\":null,\"Total\":0}","platform":"Semanticscholar","paperid":null,"PeriodicalName":"Arthropod-Plant Interactions","FirstCategoryId":"97","ListUrlMain":"https://link.springer.com/article/10.1007/s11829-025-10159-9","RegionNum":3,"RegionCategory":"农林科学","ArticlePicture":[],"TitleCN":null,"AbstractTextCN":null,"PMCID":null,"EPubDate":"","PubModel":"","JCR":"Q3","JCRName":"ENTOMOLOGY","Score":null,"Total":0}
引用次数: 0

摘要

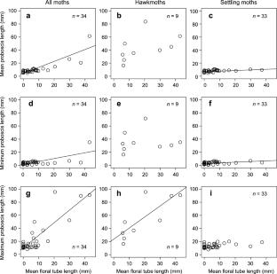
花与访花者口器之间的形态性状匹配对于植物与传粉者相互作用的生态学和进化具有重要意义。尽管夜间和日间访花者都是重要的传粉者,但对夜间访花者如飞蛾(鳞翅目)的研究仍然较少。为了研究夜间访花昆虫的花管长度和口器长度之间的关系,我们对日本兵库县26科34种植物的花进行了调查。共捕获成蛾14科245种970只。飞蛾(鞘科)和定居蛾(以蛾科、夜蛾科和尺蛾科为主)分别占总个体数的4.0%和96.0%,占总种数的3.3%和96.7%。飞蛾的长鼻(口器/舌头)比定居的飞蛾长。随着花管长度的增加,飞蛾和定居蛾的相对比例分别增加和减少。所有飞蛾(包括飞蛾和沉降蛾)的平均、最小和最大喙长与花管长度呈正相关。其中,最大喙长与花筒长度呈正相关,说明长舌蛾对短管花或露蜜花避而远之。在定居飞蛾中,最小吻长与花管长呈正相关,说明短舌定居飞蛾对长管花避之不及。因此,长舌蛾(鹰蛾)更喜欢访问长管花,而短舌蛾(定居蛾)更喜欢访问短管或花蜜暴露的花。
本文章由计算机程序翻译,如有差异,请以英文原文为准。

Relationships between the lengths of floral tubes and moth mouthparts: implications for flower preferences of nocturnal moths

Relationships between the lengths of floral tubes and moth mouthparts: implications for flower preferences of nocturnal moths

Morphological trait matching between flowers and the mouthparts of their visitors is important for the ecology and evolution of plant–pollinator interactions. Although both nocturnal and diurnal floral visitors are important pollinators, nocturnal visitors such as moths (Lepidoptera) remain less well studied. To elucidate the relationship between floral tube length and mouthpart length in nocturnal floral visitors, we examined moths visiting the flowers of 34 plant species (26 families) in Hyogo, Japan. A total of 970 adult moths representing 245 species (14 families) were observed. Hawkmoths (Sphingidae) and settling moths (mainly Crambidae, Noctuidae, and Geometridae) accounted for 4.0% and 96.0% of all individuals, and 3.3% and 96.7% of all species, respectively. Hawkmoths had longer proboscises (mouthparts/tongues) than settling moths. The relative proportions of hawkmoths and settling moths increased and decreased, respectively, with increasing floral tube length. Mean, minimum, and maximum proboscis lengths of all moths (hawkmoths and settling moths combined) were positively correlated with floral tube length. Among hawkmoths, maximum proboscis length was positively correlated with floral tube length, indicating that long-tongued hawkmoths avoid visiting short-tubed or nectar-exposed flowers. Among settling moths, minimum proboscis length was positively correlated with floral tube length, indicating that short-tongued settling moths avoid visiting long-tubed flowers. Consequently, long-tongued moths (hawkmoths) prefer to visit long-tubed flowers, whereas short-tongued moths (settling moths) prefer to visit short-tubed or nectar-exposed flowers.

求助全文
通过发布文献求助,成功后即可免费获取论文全文。 去求助
来源期刊
Arthropod-Plant Interactions
Arthropod-Plant Interactions 生物-昆虫学
CiteScore
3.00
自引率
6.20%
发文量
58
审稿时长
6 months
期刊介绍: Arthropod-Plant Interactions is dedicated to publishing high quality original papers and reviews with a broad fundamental or applied focus on ecological, biological, and evolutionary aspects of the interactions between insects and other arthropods with plants. Coverage extends to all aspects of such interactions including chemical, biochemical, genetic, and molecular analysis, as well reporting on multitrophic studies, ecophysiology, and mutualism. Arthropod-Plant Interactions encourages the submission of forum papers that challenge prevailing hypotheses. The journal encourages a diversity of opinion by presenting both invited and unsolicited review papers.
×
引用
GB/T 7714-2015
复制
MLA
复制
APA
复制
导出至
BibTeX EndNote RefMan NoteFirst NoteExpress
×
提示
您的信息不完整,为了账户安全,请先补充。
现在去补充
×
提示
您因"违规操作"
具体请查看互助需知
我知道了
×
提示
确定
请完成安全验证×
copy
已复制链接
快去分享给好友吧!
我知道了
右上角分享
点击右上角分享
0
联系我们:info@booksci.cn Book学术提供免费学术资源搜索服务,方便国内外学者检索中英文文献。致力于提供最便捷和优质的服务体验。 Copyright © 2023 布克学术 All rights reserved.
京ICP备2023020795号-1
ghs 京公网安备 11010802042870号
Book学术文献互助
Book学术文献互助群
群 号:604180095
Book学术官方微信