酒精使用水平与血清中某些神经肽和蛋白质浓度的关系

IF 0.4 Q4 BIOCHEMISTRY & MOLECULAR BIOLOGY
K. A. Popov, I. M. Bykov, G. A. Ermakova
{"title":"酒精使用水平与血清中某些神经肽和蛋白质浓度的关系","authors":"K. A. Popov,&nbsp;I. M. Bykov,&nbsp;G. A. Ermakova","doi":"10.1134/S1990750825600281","DOIUrl":null,"url":null,"abstract":"<p>The development of novel highly informative approaches to the assessment of chronic alcohol use is still an urgent problem, especially against the background of increase in alcohol dependence detected in 2023 in Russia for the first time over the past two decades. The present study was aimed at evaluating the level of the brain-derived neurotrophic factor (BDNF), glial cell line-derived neurotrophic factor (GDNF), neuropeptide Y (NPY), and pituitary adenylate cyclase-activating peptide (PACAP) in the blood of tested subjects with different levels of alcohol use. For this purpose, the following groups of subjects were formed: healthy persons (group 1, <i>n</i> = 10), persons with periodical alcohol use (group 2, <i>n</i> = 10), persons with the consequences of using alcohol (group 3, <i>n</i> = 10), persons with the alcohol dependence syndrome in the acute phase (group 4, <i>n</i> = 10), and persons undergoing rehabilitation (group 5, <i>n</i> = 10). The studies have shown a relationship between ethanol consumption levels and the serum concentration of BDNF, which was 20%, 2.5 times and 40% lower relative to the control in patients from group 3, group 4 and group 5, respectively. The NPY concentration was 2.3-fold and 4.3-fold higher in the blood serum of patients from groups 2 and 3, respectively. The GDNF and PACAP levels in the blood of subjects from groups 2–5 were not significantly different from the control. The changes in the BDNF level are probably associated with the formation of new neuroadaptations and the unbalance of neuromediators typical of the dependence syndrome. The changes in the level of NPY are most likely a responce to an acute stress, more typical of subjects with the initial forms of alcoholic disorder. Thus, with BDNF and NPY used as markers, it is possible to objectify the strategy of differential diagnostics of mental and behavioral disordes associated with alcohol use. Evaluation of changes in these markers allows differentaition of persons periodically using alcohol without the development of complications and persons with harmful use of alcohol.</p>","PeriodicalId":485,"journal":{"name":"Biochemistry (Moscow), Supplement Series B: Biomedical Chemistry","volume":"19 2","pages":"137 - 144"},"PeriodicalIF":0.4000,"publicationDate":"2025-07-21","publicationTypes":"Journal Article","fieldsOfStudy":null,"isOpenAccess":false,"openAccessPdf":"","citationCount":"0","resultStr":"{\"title\":\"Relationship between the Level of Alcohol Use and the Concentrations of Some Neuropeptides and Proteins in Blood Serum\",\"authors\":\"K. A. Popov,&nbsp;I. M. Bykov,&nbsp;G. A. Ermakova\",\"doi\":\"10.1134/S1990750825600281\",\"DOIUrl\":null,\"url\":null,\"abstract\":\"<p>The development of novel highly informative approaches to the assessment of chronic alcohol use is still an urgent problem, especially against the background of increase in alcohol dependence detected in 2023 in Russia for the first time over the past two decades. The present study was aimed at evaluating the level of the brain-derived neurotrophic factor (BDNF), glial cell line-derived neurotrophic factor (GDNF), neuropeptide Y (NPY), and pituitary adenylate cyclase-activating peptide (PACAP) in the blood of tested subjects with different levels of alcohol use. For this purpose, the following groups of subjects were formed: healthy persons (group 1, <i>n</i> = 10), persons with periodical alcohol use (group 2, <i>n</i> = 10), persons with the consequences of using alcohol (group 3, <i>n</i> = 10), persons with the alcohol dependence syndrome in the acute phase (group 4, <i>n</i> = 10), and persons undergoing rehabilitation (group 5, <i>n</i> = 10). The studies have shown a relationship between ethanol consumption levels and the serum concentration of BDNF, which was 20%, 2.5 times and 40% lower relative to the control in patients from group 3, group 4 and group 5, respectively. The NPY concentration was 2.3-fold and 4.3-fold higher in the blood serum of patients from groups 2 and 3, respectively. The GDNF and PACAP levels in the blood of subjects from groups 2–5 were not significantly different from the control. The changes in the BDNF level are probably associated with the formation of new neuroadaptations and the unbalance of neuromediators typical of the dependence syndrome. The changes in the level of NPY are most likely a responce to an acute stress, more typical of subjects with the initial forms of alcoholic disorder. Thus, with BDNF and NPY used as markers, it is possible to objectify the strategy of differential diagnostics of mental and behavioral disordes associated with alcohol use. Evaluation of changes in these markers allows differentaition of persons periodically using alcohol without the development of complications and persons with harmful use of alcohol.</p>\",\"PeriodicalId\":485,\"journal\":{\"name\":\"Biochemistry (Moscow), Supplement Series B: Biomedical Chemistry\",\"volume\":\"19 2\",\"pages\":\"137 - 144\"},\"PeriodicalIF\":0.4000,\"publicationDate\":\"2025-07-21\",\"publicationTypes\":\"Journal Article\",\"fieldsOfStudy\":null,\"isOpenAccess\":false,\"openAccessPdf\":\"\",\"citationCount\":\"0\",\"resultStr\":null,\"platform\":\"Semanticscholar\",\"paperid\":null,\"PeriodicalName\":\"Biochemistry (Moscow), Supplement Series B: Biomedical Chemistry\",\"FirstCategoryId\":\"2\",\"ListUrlMain\":\"https://link.springer.com/article/10.1134/S1990750825600281\",\"RegionNum\":0,\"RegionCategory\":null,\"ArticlePicture\":[],\"TitleCN\":null,\"AbstractTextCN\":null,\"PMCID\":null,\"EPubDate\":\"\",\"PubModel\":\"\",\"JCR\":\"Q4\",\"JCRName\":\"BIOCHEMISTRY & MOLECULAR BIOLOGY\",\"Score\":null,\"Total\":0}","platform":"Semanticscholar","paperid":null,"PeriodicalName":"Biochemistry (Moscow), Supplement Series B: Biomedical Chemistry","FirstCategoryId":"2","ListUrlMain":"https://link.springer.com/article/10.1134/S1990750825600281","RegionNum":0,"RegionCategory":null,"ArticlePicture":[],"TitleCN":null,"AbstractTextCN":null,"PMCID":null,"EPubDate":"","PubModel":"","JCR":"Q4","JCRName":"BIOCHEMISTRY & MOLECULAR BIOLOGY","Score":null,"Total":0}
引用次数: 0

摘要

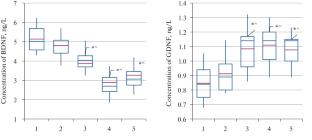
开发新的高信息量的方法来评估慢性酒精使用仍然是一个紧迫的问题,特别是在过去二十年来俄罗斯首次在2023年检测到酒精依赖增加的背景下。本研究旨在评价脑源性神经营养因子(BDNF)、神经胶质细胞系源性神经营养因子(GDNF)、神经肽Y (NPY)和垂体腺苷酸环化酶激活肽(PACAP)在不同饮酒水平受试者血液中的水平。为此,我们将受试者分成以下几组:健康人(第1组,n = 10)、周期性饮酒者(第2组,n = 10)、有饮酒后果的人(第3组,n = 10)、急性期酒精依赖综合征患者(第4组,n = 10)和正在康复的人(第5组,n = 10)。研究表明,乙醇消耗水平与血清BDNF浓度之间存在关系,3组、4组和5组患者的血清BDNF浓度分别比对照组低20%、2.5倍和40%。2组和3组患者血清NPY浓度分别高出2.3倍和4.3倍。2 ~ 5组受试者血液中GDNF和PACAP水平与对照组无显著差异。BDNF水平的变化可能与新的神经适应的形成和依赖综合征典型的神经介质的不平衡有关。NPY水平的变化很可能是对急性压力的反应,更典型的是最初形式的酒精障碍的受试者。因此,使用BDNF和NPY作为标记物,有可能客观化与酒精使用相关的精神和行为障碍的鉴别诊断策略。通过对这些指标变化的评估,可以区分无并发症的周期性饮酒者和有害饮酒者。
本文章由计算机程序翻译,如有差异,请以英文原文为准。

Relationship between the Level of Alcohol Use and the Concentrations of Some Neuropeptides and Proteins in Blood Serum

Relationship between the Level of Alcohol Use and the Concentrations of Some Neuropeptides and Proteins in Blood Serum

The development of novel highly informative approaches to the assessment of chronic alcohol use is still an urgent problem, especially against the background of increase in alcohol dependence detected in 2023 in Russia for the first time over the past two decades. The present study was aimed at evaluating the level of the brain-derived neurotrophic factor (BDNF), glial cell line-derived neurotrophic factor (GDNF), neuropeptide Y (NPY), and pituitary adenylate cyclase-activating peptide (PACAP) in the blood of tested subjects with different levels of alcohol use. For this purpose, the following groups of subjects were formed: healthy persons (group 1, n = 10), persons with periodical alcohol use (group 2, n = 10), persons with the consequences of using alcohol (group 3, n = 10), persons with the alcohol dependence syndrome in the acute phase (group 4, n = 10), and persons undergoing rehabilitation (group 5, n = 10). The studies have shown a relationship between ethanol consumption levels and the serum concentration of BDNF, which was 20%, 2.5 times and 40% lower relative to the control in patients from group 3, group 4 and group 5, respectively. The NPY concentration was 2.3-fold and 4.3-fold higher in the blood serum of patients from groups 2 and 3, respectively. The GDNF and PACAP levels in the blood of subjects from groups 2–5 were not significantly different from the control. The changes in the BDNF level are probably associated with the formation of new neuroadaptations and the unbalance of neuromediators typical of the dependence syndrome. The changes in the level of NPY are most likely a responce to an acute stress, more typical of subjects with the initial forms of alcoholic disorder. Thus, with BDNF and NPY used as markers, it is possible to objectify the strategy of differential diagnostics of mental and behavioral disordes associated with alcohol use. Evaluation of changes in these markers allows differentaition of persons periodically using alcohol without the development of complications and persons with harmful use of alcohol.

求助全文
通过发布文献求助,成功后即可免费获取论文全文。 去求助
来源期刊
CiteScore
1.10
自引率
0.00%
发文量
31
期刊介绍: Biochemistry (Moscow), Supplement Series B: Biomedical Chemistry   covers all major aspects of biomedical chemistry and related areas, including proteomics and molecular biology of (patho)physiological processes, biochemistry, neurochemistry, immunochemistry and clinical chemistry, bioinformatics, gene therapy, drug design and delivery, biochemical pharmacology, introduction and advertisement of new (biochemical) methods into experimental and clinical medicine. The journal also publishes review articles. All issues of the journal usually contain solicited reviews.
×
引用
GB/T 7714-2015
复制
MLA
复制
APA
复制
导出至
BibTeX EndNote RefMan NoteFirst NoteExpress
×
提示
您的信息不完整,为了账户安全,请先补充。
现在去补充
×
提示
您因"违规操作"
具体请查看互助需知
我知道了
×
提示
确定
请完成安全验证×
copy
已复制链接
快去分享给好友吧!
我知道了
右上角分享
点击右上角分享
0
联系我们:info@booksci.cn Book学术提供免费学术资源搜索服务,方便国内外学者检索中英文文献。致力于提供最便捷和优质的服务体验。 Copyright © 2023 布克学术 All rights reserved.
京ICP备2023020795号-1
ghs 京公网安备 11010802042870号
Book学术文献互助
Book学术文献互助群
群 号:604180095
Book学术官方微信