模拟帕金森病动物脑代谢可塑性的研究

IF 0.4 Q4 BIOCHEMISTRY & MOLECULAR BIOLOGY
A. K. Berdnikov, N. A. Rozanova, S. V. Novikova, N. A. Kolot’eva
{"title":"模拟帕金森病动物脑代谢可塑性的研究","authors":"A. K. Berdnikov,&nbsp;N. A. Rozanova,&nbsp;S. V. Novikova,&nbsp;N. A. Kolot’eva","doi":"10.1134/S1990750824601140","DOIUrl":null,"url":null,"abstract":"<p>Neuroinflammation plays the key role in progression of Parkinson’s disease (PD), the neurodegenerative disorder characterized by the progressive loss of dopaminergic neurons of the substantia nigra, which results in the motor impairment. The major pathogenetic mechanisms of PD are metabolic dysfunctions, mitochondrial impairments and inflammatory response determined by the activation of microglia. Understanding the molecular pathways underlying these processes is an important stage in the development of target therapeutic strategies. Recent studies have emphasized the significance of lactate metabolism and the related signaling pathways in modulation of both neuroinflammation and energy homeostasis. GPR81, also known as HCAR1, is a lactate receptor involved in the regulation of metabolism and inflammatory processes. In spite of the well-studied role of this receptor in peripheral tissues, its involvement in the pathogenesis of neurodegenerative diseases such as PD yet remains insufficiently studied. In the present study, the expression of GPR81 in the substantia nigra of the rat brain is studied under the conditions of LPS-induced PD model with the accent on its potential role in the regulation of inflammatory and metabolic processes. The analysis of dynamic changes in the expression of GPR81 will reveal its contribution to neuroprotection and metabolic plasticity of the brain, opening up new prospects for slowing down neurodegeneration in PD.</p>","PeriodicalId":485,"journal":{"name":"Biochemistry (Moscow), Supplement Series B: Biomedical Chemistry","volume":"19 1","pages":"60 - 67"},"PeriodicalIF":0.4000,"publicationDate":"2025-06-15","publicationTypes":"Journal Article","fieldsOfStudy":null,"isOpenAccess":false,"openAccessPdf":"","citationCount":"0","resultStr":"{\"title\":\"Study of Metabolic Plasticity of the Brain in Animals with Modeled Parkinson’s Disease\",\"authors\":\"A. K. Berdnikov,&nbsp;N. A. Rozanova,&nbsp;S. V. Novikova,&nbsp;N. A. Kolot’eva\",\"doi\":\"10.1134/S1990750824601140\",\"DOIUrl\":null,\"url\":null,\"abstract\":\"<p>Neuroinflammation plays the key role in progression of Parkinson’s disease (PD), the neurodegenerative disorder characterized by the progressive loss of dopaminergic neurons of the substantia nigra, which results in the motor impairment. The major pathogenetic mechanisms of PD are metabolic dysfunctions, mitochondrial impairments and inflammatory response determined by the activation of microglia. Understanding the molecular pathways underlying these processes is an important stage in the development of target therapeutic strategies. Recent studies have emphasized the significance of lactate metabolism and the related signaling pathways in modulation of both neuroinflammation and energy homeostasis. GPR81, also known as HCAR1, is a lactate receptor involved in the regulation of metabolism and inflammatory processes. In spite of the well-studied role of this receptor in peripheral tissues, its involvement in the pathogenesis of neurodegenerative diseases such as PD yet remains insufficiently studied. In the present study, the expression of GPR81 in the substantia nigra of the rat brain is studied under the conditions of LPS-induced PD model with the accent on its potential role in the regulation of inflammatory and metabolic processes. The analysis of dynamic changes in the expression of GPR81 will reveal its contribution to neuroprotection and metabolic plasticity of the brain, opening up new prospects for slowing down neurodegeneration in PD.</p>\",\"PeriodicalId\":485,\"journal\":{\"name\":\"Biochemistry (Moscow), Supplement Series B: Biomedical Chemistry\",\"volume\":\"19 1\",\"pages\":\"60 - 67\"},\"PeriodicalIF\":0.4000,\"publicationDate\":\"2025-06-15\",\"publicationTypes\":\"Journal Article\",\"fieldsOfStudy\":null,\"isOpenAccess\":false,\"openAccessPdf\":\"\",\"citationCount\":\"0\",\"resultStr\":null,\"platform\":\"Semanticscholar\",\"paperid\":null,\"PeriodicalName\":\"Biochemistry (Moscow), Supplement Series B: Biomedical Chemistry\",\"FirstCategoryId\":\"2\",\"ListUrlMain\":\"https://link.springer.com/article/10.1134/S1990750824601140\",\"RegionNum\":0,\"RegionCategory\":null,\"ArticlePicture\":[],\"TitleCN\":null,\"AbstractTextCN\":null,\"PMCID\":null,\"EPubDate\":\"\",\"PubModel\":\"\",\"JCR\":\"Q4\",\"JCRName\":\"BIOCHEMISTRY & MOLECULAR BIOLOGY\",\"Score\":null,\"Total\":0}","platform":"Semanticscholar","paperid":null,"PeriodicalName":"Biochemistry (Moscow), Supplement Series B: Biomedical Chemistry","FirstCategoryId":"2","ListUrlMain":"https://link.springer.com/article/10.1134/S1990750824601140","RegionNum":0,"RegionCategory":null,"ArticlePicture":[],"TitleCN":null,"AbstractTextCN":null,"PMCID":null,"EPubDate":"","PubModel":"","JCR":"Q4","JCRName":"BIOCHEMISTRY & MOLECULAR BIOLOGY","Score":null,"Total":0}
引用次数: 0

摘要

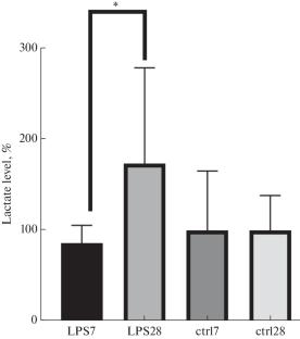
神经炎症在帕金森病(PD)的进展中起关键作用,帕金森病是一种以黑质多巴胺能神经元的进行性丧失为特征的神经退行性疾病,导致运动障碍。PD的主要发病机制是代谢功能障碍、线粒体损伤和由小胶质细胞激活决定的炎症反应。了解这些过程背后的分子途径是目标治疗策略发展的重要阶段。最近的研究强调了乳酸代谢及其相关信号通路在神经炎症和能量稳态调节中的重要性。GPR81,也被称为HCAR1,是一种参与代谢和炎症过程调节的乳酸受体。尽管该受体在外周组织中的作用已被充分研究,但其在PD等神经退行性疾病发病机制中的作用仍未得到充分研究。本研究在lps诱导的PD模型条件下,研究了GPR81在大鼠脑黑质中的表达,重点研究了其在炎症和代谢过程中的潜在调节作用。分析GPR81表达的动态变化将揭示其在神经保护和大脑代谢可塑性方面的作用,为减缓PD神经变性开辟新的前景。
本文章由计算机程序翻译,如有差异,请以英文原文为准。

Study of Metabolic Plasticity of the Brain in Animals with Modeled Parkinson’s Disease

Study of Metabolic Plasticity of the Brain in Animals with Modeled Parkinson’s Disease

Neuroinflammation plays the key role in progression of Parkinson’s disease (PD), the neurodegenerative disorder characterized by the progressive loss of dopaminergic neurons of the substantia nigra, which results in the motor impairment. The major pathogenetic mechanisms of PD are metabolic dysfunctions, mitochondrial impairments and inflammatory response determined by the activation of microglia. Understanding the molecular pathways underlying these processes is an important stage in the development of target therapeutic strategies. Recent studies have emphasized the significance of lactate metabolism and the related signaling pathways in modulation of both neuroinflammation and energy homeostasis. GPR81, also known as HCAR1, is a lactate receptor involved in the regulation of metabolism and inflammatory processes. In spite of the well-studied role of this receptor in peripheral tissues, its involvement in the pathogenesis of neurodegenerative diseases such as PD yet remains insufficiently studied. In the present study, the expression of GPR81 in the substantia nigra of the rat brain is studied under the conditions of LPS-induced PD model with the accent on its potential role in the regulation of inflammatory and metabolic processes. The analysis of dynamic changes in the expression of GPR81 will reveal its contribution to neuroprotection and metabolic plasticity of the brain, opening up new prospects for slowing down neurodegeneration in PD.

求助全文
通过发布文献求助,成功后即可免费获取论文全文。 去求助
来源期刊
CiteScore
1.10
自引率
0.00%
发文量
31
期刊介绍: Biochemistry (Moscow), Supplement Series B: Biomedical Chemistry   covers all major aspects of biomedical chemistry and related areas, including proteomics and molecular biology of (patho)physiological processes, biochemistry, neurochemistry, immunochemistry and clinical chemistry, bioinformatics, gene therapy, drug design and delivery, biochemical pharmacology, introduction and advertisement of new (biochemical) methods into experimental and clinical medicine. The journal also publishes review articles. All issues of the journal usually contain solicited reviews.
×
引用
GB/T 7714-2015
复制
MLA
复制
APA
复制
导出至
BibTeX EndNote RefMan NoteFirst NoteExpress
×
提示
您的信息不完整,为了账户安全,请先补充。
现在去补充
×
提示
您因"违规操作"
具体请查看互助需知
我知道了
×
提示
确定
请完成安全验证×
copy
已复制链接
快去分享给好友吧!
我知道了
右上角分享
点击右上角分享
0
联系我们:info@booksci.cn Book学术提供免费学术资源搜索服务,方便国内外学者检索中英文文献。致力于提供最便捷和优质的服务体验。 Copyright © 2023 布克学术 All rights reserved.
京ICP备2023020795号-1
ghs 京公网安备 11010802042870号
Book学术文献互助
Book学术文献互助群
群 号:604180095
Book学术官方微信