具有锂和钠阳离子电导率的溶液铸造全氟硫化交换膜CTPEM

IF 0.8 4区 工程技术 Q4 ELECTROCHEMISTRY
R. R. Kayumov, A. A. Lochina, A. N. Lapshin, A. V. Bakirov, A. A. Glukhov, L. V. Shmygleva
{"title":"具有锂和钠阳离子电导率的溶液铸造全氟硫化交换膜CTPEM","authors":"R. R. Kayumov,&nbsp;A. A. Lochina,&nbsp;A. N. Lapshin,&nbsp;A. V. Bakirov,&nbsp;A. A. Glukhov,&nbsp;L. V. Shmygleva","doi":"10.1134/S1023193524601566","DOIUrl":null,"url":null,"abstract":"<p>The paper examines the potential of using of commercially available thin perfluorinated sulfocationic CTPEM membranes, produced through solution-casting, as a polymer matrix for the manufacture of the electrolytes with lithium and sodium ion conductivity. The study demonstrates that the membranes under examination share similar molecular and supramolecular structure and thermal stability with the known Nafion™ membrane, exhibiting a comparable dependence of physicochemical properties on the cation nature. The main differences between the membrane brands under study and Nafion are in the thermal decomposition processes of the polymer matrix. In terms of the ionic conductivity for sodium cations, thinner CTPEM membranes plasticised with propylene carbonate (5 × 10<sup>–5</sup> S cm<sup>–1</sup> at 70°C) are comparable to the Nafion membrane obtained by extrusion.</p>","PeriodicalId":760,"journal":{"name":"Russian Journal of Electrochemistry","volume":"61 4","pages":"115 - 127"},"PeriodicalIF":0.8000,"publicationDate":"2025-07-10","publicationTypes":"Journal Article","fieldsOfStudy":null,"isOpenAccess":false,"openAccessPdf":"","citationCount":"0","resultStr":"{\"title\":\"Solution-Cast Perfluorinated Sulfocationic Exchange Membranes CTPEM with Lithium- and Sodium Cations Conductivity\",\"authors\":\"R. R. Kayumov,&nbsp;A. A. Lochina,&nbsp;A. N. Lapshin,&nbsp;A. V. Bakirov,&nbsp;A. A. Glukhov,&nbsp;L. V. Shmygleva\",\"doi\":\"10.1134/S1023193524601566\",\"DOIUrl\":null,\"url\":null,\"abstract\":\"<p>The paper examines the potential of using of commercially available thin perfluorinated sulfocationic CTPEM membranes, produced through solution-casting, as a polymer matrix for the manufacture of the electrolytes with lithium and sodium ion conductivity. The study demonstrates that the membranes under examination share similar molecular and supramolecular structure and thermal stability with the known Nafion™ membrane, exhibiting a comparable dependence of physicochemical properties on the cation nature. The main differences between the membrane brands under study and Nafion are in the thermal decomposition processes of the polymer matrix. In terms of the ionic conductivity for sodium cations, thinner CTPEM membranes plasticised with propylene carbonate (5 × 10<sup>–5</sup> S cm<sup>–1</sup> at 70°C) are comparable to the Nafion membrane obtained by extrusion.</p>\",\"PeriodicalId\":760,\"journal\":{\"name\":\"Russian Journal of Electrochemistry\",\"volume\":\"61 4\",\"pages\":\"115 - 127\"},\"PeriodicalIF\":0.8000,\"publicationDate\":\"2025-07-10\",\"publicationTypes\":\"Journal Article\",\"fieldsOfStudy\":null,\"isOpenAccess\":false,\"openAccessPdf\":\"\",\"citationCount\":\"0\",\"resultStr\":null,\"platform\":\"Semanticscholar\",\"paperid\":null,\"PeriodicalName\":\"Russian Journal of Electrochemistry\",\"FirstCategoryId\":\"5\",\"ListUrlMain\":\"https://link.springer.com/article/10.1134/S1023193524601566\",\"RegionNum\":4,\"RegionCategory\":\"工程技术\",\"ArticlePicture\":[],\"TitleCN\":null,\"AbstractTextCN\":null,\"PMCID\":null,\"EPubDate\":\"\",\"PubModel\":\"\",\"JCR\":\"Q4\",\"JCRName\":\"ELECTROCHEMISTRY\",\"Score\":null,\"Total\":0}","platform":"Semanticscholar","paperid":null,"PeriodicalName":"Russian Journal of Electrochemistry","FirstCategoryId":"5","ListUrlMain":"https://link.springer.com/article/10.1134/S1023193524601566","RegionNum":4,"RegionCategory":"工程技术","ArticlePicture":[],"TitleCN":null,"AbstractTextCN":null,"PMCID":null,"EPubDate":"","PubModel":"","JCR":"Q4","JCRName":"ELECTROCHEMISTRY","Score":null,"Total":0}
引用次数: 0

摘要

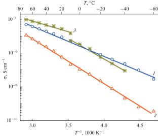
本文探讨了利用市售的全氟磺化CTPEM薄膜作为聚合物基质用于制造具有锂和钠离子电导率的电解质的潜力。研究表明,所研究的膜与已知的Nafion™膜具有相似的分子和超分子结构以及热稳定性,表现出对阳离子性质的类似依赖。所研究的膜品牌与Nafion的主要区别在于聚合物基体的热分解过程。就钠离子的离子电导率而言,用碳酸丙烯酯塑化的更薄的CTPEM膜(在70°C时为5 × 10-5 S cm-1)与通过挤压获得的Nafion膜相当。
本文章由计算机程序翻译,如有差异,请以英文原文为准。

Solution-Cast Perfluorinated Sulfocationic Exchange Membranes CTPEM with Lithium- and Sodium Cations Conductivity

Solution-Cast Perfluorinated Sulfocationic Exchange Membranes CTPEM with Lithium- and Sodium Cations Conductivity

The paper examines the potential of using of commercially available thin perfluorinated sulfocationic CTPEM membranes, produced through solution-casting, as a polymer matrix for the manufacture of the electrolytes with lithium and sodium ion conductivity. The study demonstrates that the membranes under examination share similar molecular and supramolecular structure and thermal stability with the known Nafion™ membrane, exhibiting a comparable dependence of physicochemical properties on the cation nature. The main differences between the membrane brands under study and Nafion are in the thermal decomposition processes of the polymer matrix. In terms of the ionic conductivity for sodium cations, thinner CTPEM membranes plasticised with propylene carbonate (5 × 10–5 S cm–1 at 70°C) are comparable to the Nafion membrane obtained by extrusion.

求助全文
通过发布文献求助,成功后即可免费获取论文全文。 去求助
来源期刊
Russian Journal of Electrochemistry
Russian Journal of Electrochemistry 工程技术-电化学
CiteScore
1.90
自引率
8.30%
发文量
102
审稿时长
6 months
期刊介绍: Russian Journal of Electrochemistry is a journal that covers all aspects of research in modern electrochemistry. The journal welcomes submissions in English or Russian regardless of country and nationality of authors.
×
引用
GB/T 7714-2015
复制
MLA
复制
APA
复制
导出至
BibTeX EndNote RefMan NoteFirst NoteExpress
×
提示
您的信息不完整,为了账户安全,请先补充。
现在去补充
×
提示
您因"违规操作"
具体请查看互助需知
我知道了
×
提示
确定
请完成安全验证×
copy
已复制链接
快去分享给好友吧!
我知道了
右上角分享
点击右上角分享
0
联系我们:info@booksci.cn Book学术提供免费学术资源搜索服务,方便国内外学者检索中英文文献。致力于提供最便捷和优质的服务体验。 Copyright © 2023 布克学术 All rights reserved.
京ICP备2023020795号-1
ghs 京公网安备 11010802042870号
Book学术文献互助
Book学术文献互助群
群 号:604180095
Book学术官方微信